Geschenke
Das Wichtigste in Kürze
- Geschenke gelten als Sachbezug, wenn Sie sie von Ihrem Arbeitgeber, einem Kunden oder einem Geschäftspartner erhalten und müssen unter bestimmten Voraussetzungen versteuert werden. Das gilt auch für Warengutscheine oder Spargutscheine.
- Mitarbeitergeschenke bis zu einem Wert von 50 € pro Monat sind steuerfrei.
- Zu besonderen Anlässen, wie Geburtstagen oder Jubiläen, sind Geschenke bis zu einem Wert von 60 € steuerfrei.
- Geschenke an Geschäftsfreunde und Kunden bis zu 35 € pro Jahr sind abzugsfähig Betriebsausgaben
- Geldbeträge als Geschenk sind immer steuerpflichtig.
Inhaltsverzeichnis
1 Einkommensteuerrechtliche Behandlung
1.1 Grundsätzliches
1.2 Aktuelles
1.3 Ertragsteuerrechtliche Unterscheidung von Zuwendungen
1.4 Vermögenszuwendungen als Geschenke
1.5 Keine Geschenke i.S.d. § 4 Abs. 5 Satz 1 Nr. 1 EStG
1.6 Die 35 €-Grenze (ab VZ 2024 50 €)
1.7 Ermittlung der Anschaffungs- bzw. Herstellungskosten für Geschenke
1.8 Die ertragsteuerliche Behandlung der Geschenke beim Schenker
1.9 Die ertragsteuerliche Behandlung der Geschenke beim Empfänger
1.10 Aufzeichnungspflichten
1.11 Werbungskostenabzug
2 Umsatzsteuerrechtliche Behandlung
2.1 Grundsätzliches
2.2 Das Vorsteuerabzugsverbot des § 15 Abs. 1a UStG
2.3 Änderung der Bemessungsgrundlage i.S.d. § 17 Abs. 2 Nr. 5 UStG
2.4 Die Steuerbefreiung des § 4 Nr. 28 UStG
3 Literaturhinweise
4 Verwandte Lexikonartikel
1. Einkommensteuerrechtliche Behandlung
1.1. Grundsätzliches
Zu den nicht abzugsfähigen Betriebsausgaben zählen nach § 4 Abs. 5 Nr. 1 EStG Aufwendungen für Geschenke an Personen, die nicht Arbeitnehmer des Steuerpflichtigen sind. Dies gilt nicht, wenn die Anschaffungs- oder Herstellungskosten der dem Empfänger im Wirtschaftsjahr zugewendeten Gegenstände insgesamt 35 € nicht übersteigen.
Im Rahmen des Wachstumschancengesetzes vom 27.3.2024 (BGBl I 2024, Nr. 108) erfolgt eine Anpassung des Betrages von 35 € um 15 € auf 50 €. Die Freigrenze i.H.v. 50 € gilt gem. § 52 Abs. 6 Satz 10 EStG erstmals für Wj., die nach dem 31.12.2023 beginnen, d.h. regelmäßig ab dem Jahr 2024, sofern kein abweichendes Wj. vorliegt.
Vor Anwendung dieser Vorschriften ist stets zu prüfen, ob die als Betriebsausgaben geltend gemachten Aufwendungen z.B. für Repräsentation, Bewirtung und Unterhaltung von Geschäftsfreunden, Reisen, Kraftfahrzeughaltung bereits zu den nicht abziehbaren Kosten der Lebensführung i.S.d. § 12 Nr. 1 EStG gehören. Die nach § 4 Abs. 5 und 7 EStG nicht abziehbaren Betriebsausgaben sind keine Entnahmen i.S.d. § 4 Abs. 1 Satz 2 EStG.
Geschenke sind unentgeltliche Zuwendungen, die – aus Sicht beider Beteiligter – nicht als Gegenleistung für eine bestimmte Leistung des Empfängers gedacht sind und nicht in unmittelbarem zeitlichem oder wirtschaftlichem Zusammenhang mit einer solchen Leistung stehen (R 4.10 Abs. 4 EStR, H 4.10 (2–4) [Geschenk] EStH, BFH Urteil vom 23.6.1993, I R 14/93, BStBl II 1993, 806). Die Einordnung nach schenkungsteuerlichen Grundsätzen ist hierbei unerheblich; vgl. hierzu BFH vom 19.10.1997, II R 60/94.
§ 37b EStG ermöglicht eine pauschale Besteuerung bei Sachzuwendungen. Stpfl. können die Einkommensteuer einheitlich für alle innerhalb eines Wj. gewährten betrieblich veranlassten Zuwendungen, die zusätzlich zur ohnehin vereinbarten Leistung oder Gegenleistung erbracht werden, und Geschenke i.S.d. § 4 Abs. 5 Satz 1 Nr. 1 EStG, die nicht in Geld bestehen, mit einem Pauschsteuersatz von 30 % erheben.
Zuwendungen können in unterschiedlichster Form aus unterschiedlichen Gründen an unterschiedliche Empfänger geleistet werden. Geschenke an natürliche und juristische Personen, die nicht ArbN des Stpfl. sind (z.B. an Kunden, Geschäftsfreunde und fremde Arbeitnehmer), gehören zu den nicht abzugsfähigen Betriebsausgaben des § 4 Abs. 5 Satz 1 Nr. 1 EStG, wenn sie im Veranlagungszeitraum je Empfänger insgesamt 35 € (ab VZ 2024 50 €) übersteigen (R 4.10 Abs. 2 bis 4 EStR, H 4.10 Abs. 2 bis 4 EStH). Es handelt sich dabei um eine Freigrenze.
Aufwendungen i.S.d. § 4 Abs. 5 Satz 1 Nr. 1 EStG sind nach § 4 Abs. 7 EStG einzeln und getrennt von den sonstigen Betriebsausgaben aufzuzeichnen. Soweit diese Aufwendungen nicht bereits nach § 4 Abs. 5 Satz 1 Nr. 1 EStG vom Abzug ausgeschlossen sind (Überschreitung der 35 €-Grenze), dürfen sie bei der Gewinnermittlung nur berücksichtigt werden, wenn sie besonders aufgezeichnet sind.
1.2. Aktuelles
Die OFD Frankfurt nimmt im Schreiben vom 27.2.2019 – S 2145 A – 005 – St 210 Stellung zum Betriebsausgabenabzug bei Geschenken i.S.d. § 4 Abs. 5 Nr. 1 EStG.
Lädt ein Kreditinstitut zu Werbezwecken gehobene Privatkunden zu Veranstaltungen (z.B. Schifffahrt mit Menü und Weinprobe; Golfturnier) ein und hängen diese Werbemaßnahmen nach dem Gesamtbild der Umstände nicht mit einer konkreten Kapitalanlage (z.B. Festgeldern und Sparbüchern der Privatkunden bei dem Kreditinstitut) zusammen, sondern sollen sie lediglich die Möglichkeit schaffen, diese Privatkunden persönlich näher kennenzulernen und dadurch später besser in eine Anlageberatung einzutreten und Kapitalanlagen (z.B. Wertpapier- und Aktiendepots, Bauspar- und Versicherungsverträge) vermitteln zu können, so führen die Sachzuwendungen bei den Privatkunden nicht zu stpfl. Kapitalerträgen und unterliegen bei dem Kreditinstitut nicht der Pauschalierung nach § 37b Abs. 1 Satz 1 Nr. 1 EStG und § 37b Abs. 1 Satz 2 EStG; vgl. FG Baden-Württemberg vom 19.4.2021, 10 K 577/21.
1.3. Ertragsteuerrechtliche Unterscheidung von Zuwendungen
Die folgende Übersicht zeigt die ertragsteuerliche Behandlung der Zuwendungen.

Abb.: Einteilung der Zuwendungen
Durch § 4 Abs. 5 Satz 1 Nr. 1 bis 7 i.V.m. Abs. 7 EStG wird der Abzug von betrieblich veranlassten Aufwendungen, die die Lebensführung des Stpfl. oder anderer Personen berühren, eingeschränkt.
Hinsichtlich der Behandlung von Streuwerbeartikeln nimmt die OFD Frankfurt mit Verfügung vom 27.2.2019, S 2145 A – 005 – St 210 unter 3. Stellung: (Streu-)Werbeartikel sind Gegenstände, auf denen der Name oder die Firmenbezeichnung des Schenkers oder ein sonstiger Werbehinweis angebracht ist (z.B. Kugelschreiber, Kalender, Stofftaschen, Einkaufschips usw.). Für die Frage des Betriebsausgabenabzugs beim Zuwendenden ist im Einzelfall – unabhängig von einer Betragsgrenze – zu prüfen, ob es sich bei dem zugewandten Gegenstand um ein Geschenk i.S.d. § 4 Abs. 5 Satz 1 Nr. 1 EStG oder um Werbeaufwand handelt. Aus den bestehenden Aufzeichnungserleichterungen (vgl. R 4.11 Abs. 2 Satz 2 Nr. 2 EStR) kann nicht geschlossen werden, dass es sich bei den vorgenannten Zuwendungen stets um Geschenke handelt.
1.4. Vermögenszuwendungen als Geschenke
Ein Geschenk setzt eine unentgeltliche Zuwendung an einen Dritten voraus. Der Geschenkbegriff des § 4 Abs. 5 Satz 1 Nr. 1 EStG entspricht dem Begriff der bürgerlich-rechtlichen Schenkung. Die Unentgeltlichkeit ist nicht gegeben, wenn die Zuwendung als Entgelt für eine bestimmte Gegenleistung des Empfängers anzusehen ist. Als Gegenleistung kommen alle Handlungen in Betracht, die im betrieblichen Interesse des Stpfl. liegen und hinreichend konkretisierbar sind. Bei Vorliegen einer Gegenleistung handelt es sich bei der Zuwendung um ein Schmiergeld und nicht um ein Geschenk. Sie wird jedoch nicht schon dadurch ausgeschlossen, dass mit der Zuwendung der Zweck verfolgt wird, Geschäftsbeziehungen zu sichern oder zu verbessern oder für ein Erzeugnis zu werben. Ein Geschenk i.S.d. § 4 Abs. 5 Satz 1 Nr. 1 EStG ist danach regelmäßig anzunehmen, wenn ein Stpfl. einem Geschäftsfreund oder dessen Beauftragten ohne rechtliche Verpflichtung und ohne zeitlichen oder sonstigen unmittelbaren Zusammenhang mit einer Leistung des Empfängers eine Bar- oder Sachzuwendung gibt (R 4.10 Abs. 4 EStR). Auf die Qualifikation der Zuwendungen unter schenkungsteuerlichen Grundsätzen kommt es nicht an; siehe hierzu BFH vom 29.10.1997, II R 60/94.
Eine Schenkung ist nach § 516 Abs. 1 BGB eine Zuwendung, durch die jemand aus seinem Vermögen einen anderen bereichert, wenn beide Teile darüber einig sind, dass die Zuwendung unentgeltlich erfolgt. Daher liegt schon dann kein Geschenk vor, wenn eine Seite von der Entgeltlichkeit der Zuwendung ausgeht (BFH Urteil vom 23.6.1993, I R 14/93, BStBl 1993, 806; H 4.10 (2–4) [Geschenk] EStH). Dass eine Zuwendung zur Pflege einer Geschäftsbeziehung erfolgt oder für ein Produkt werben soll, schließt allein für sich betrachtet die Unentgeltlichkeit der Zuwendung noch nicht aus. Der Stpfl. muss also aus seinem Vermögen einen anderen bereichern. Geschenke richten sich an einen konkreten Empfänger. Ist der Empfängerkreis unbestimmt (insbes. bei Streuwerbeartikeln), liegt kein Geschenk i.S.d. Vorschrift vor.
Die Bereicherung kann u.a. erfolgen durch
-
Geldgeschenke;
-
Sachzuwendungen;
-
Gewährung von Dienstleistungen, z.B. wenn ein Unternehmer die Dienstleistung von einem ArbN ausführen lässt, dem er Lohn zahlt;
-
Jubiläumszuwendungen, die hingegeben werden, um die Geschäftsbeziehungen zu sichern oder zu verbessern;
-
unentgeltliche Nutzungsüberlassungen eigener Vermögensgegenstände (strittig, s. BFH Urteil vom 23.6.1993, I R 14/94, BStBl II 1993, 806: im vorliegenden Fall ging es um die Zuwendung einer Auslandsreise als Geschenk);
-
Zuwendungen von Reisen (insbes. → Incentive-Reisen; vgl. hierzu die Ausführungen der OFD Frankfurt vom 22.3.2022, S 2143 A – 46 – St 516)
-
Warengutscheine,
-
Gewährung von Vorteilen im Zusammenhang mit → VIP-Logen;
-
Lotterieveranstaltungen;
-
Schmiergeschenke (nicht aber Schmier- oder Bestechungsgelder), die den Zweck haben, Geschäftsbeziehungen aufzubauen, zu sichern, zu verbessern oder für ein Produkt zu werben (R 4.10 Abs. 4 Satz 3 EStR);
-
die Übernahme der Pauschalsteuer nach § 37b EStG (→ Pauschalierung der Einkommensteuer).
Die Übernahme der Pauschalsteuer ist aus Sicht des zuwendenden Stpfl. ein Geschenk i.S.d. § 4 Abs. 5 Satz 1 Nr. 1 Satz 1 EStG; die Pauschalsteuer ist daher nur dann als Betriebsausgabe abziehbar, wenn der Empfänger der Zuwendung ArbN des Stpfl. ist oder die dem Empfänger im Wj. zugewendeten Geschenke insgesamt 35 € nicht übersteigen.
Das BMF-Schreiben vom 19.5.2015, BStBl I 2015, 468, nimmt zur Pauschalierung der ESt bei Sachzuwendungen wie folgt Stellung: Nach der Intention des Gesetzgebers soll § 37b EStG die Besteuerung von Zuwendungen beim Empfänger ersetzen. Deshalb sind in die Bemessungsgrundlage alle Geschenke einzubeziehen, die beim Empfänger als Betriebseinnahmen zu berücksichtigen sind. Dies sind auch Geschenke, die den Betrag von 35 € (ab VZ 2024 50 €) nicht überschreiten. Sachzuwendungen, deren Anschaffungs- oder Herstellungskosten 10 € nicht übersteigen, sind bei der Anwendung des § 37b EStG als Streuwerbeartikel anzusehen und brauchen daher nicht in den Anwendungsbereich der Vorschrift einbezogen zu werden. Die Aufwendungen für die Zuwendung sind nach allgemeinen steuerlichen Grundsätzen zu beurteilen; sie sind entweder in voller Höhe als Betriebsausgaben abziehbar (Geschenke an eigene ArbN und Zuwendungen, die keine Geschenke sind) oder unter der Maßgabe des § 4 Abs. 5 Satz 1 Nr. 1 EStG beschränkt abziehbar. Die übrigen Abzugsbeschränkungen des § 4 Abs. 5 EStG, insbes. des § 4 Abs. 5 Satz 1 Nr. 4 oder Nr. 10 EStG sind ebenfalls zu beachten. Bei der Prüfung der Freigrenze des § 4 Abs. 5 Satz 1 Nr. 1 Satz 2 EStG ist aus Vereinfachungsgründen allein auf den Betrag der Zuwendung abzustellen. Die übernommene Steuer ist nicht mit einzubeziehen; vgl. BMF vom 19.5.2015, BStBl I 2015, 468, Rz. 24, 25.
Der BFH ist mit dem Urteil vom 30.3.2017, IV R 13/14 wie schon das FG dem BMF gefolgt (BMF vom 19.5.2015) und hat die in weiten Teilen des Schrifttums vertretene Auffassung von der Pauschalsteuer als einer eigenständigen Unternehmensteuer verworfen. Der zuwendende Unternehmer, der die Wertgrenze von 35 € (ab VZ 2024 50 €) einhalten will, wird also künftig darauf achten müssen, dass der Wert des Geschenks und die übernommene pauschale Einkommensteuer diesen Betrag nicht übersteigt. Im Urteilsfall hatte ein Konzertveranstalter in großem Umfang Freikarten an Geschäftspartner verteilt. Soweit diesen dadurch steuerpflichtige Einnahmen zugeflossen sind, hatte er pauschale Einkommensteuer auf die Freikarten an das FA abgeführt. Der BFH entschied, dass diese Steuer als weiteres Geschenk zu beurteilen ist mit der Folge, dass diese das steuerliche Schicksal der Zuwendung – hier der Freikarten – teilt.
Zählt die verschenkte Freikarte zum unangemessenen Repräsentationsaufwand, muss das auch für die übernommene Steuer gelten. Ein Betriebsausgabenabzug kommt danach nicht in Betracht, wenn der Wert des Geschenks und die dafür anfallende Pauschalsteuer insgesamt 35 € übersteigen. Damit ist das Abzugsverbot auch dann anzuwenden, wenn diese Betragsgrenze erst aufgrund der Höhe der Pauschalsteuer überschritten wird.
Bei Aufmerksamkeiten i.S.d. R 19.6 Abs. 1 LStR, die dem Empfänger aus Anlass eines besonderen persönlichen Ereignisses zugewendet werden, handelt es sich um Geschenke, für die die Abzugsbeschränkung nach § 4 Abs. 5 Satz 1 Nr. 1 EStG gilt. Die Abzugsbeschränkung gilt bei Aufmerksamkeiten an andere Personen nicht, wenn der Wert der insgesamt dieser Person im Wj. zugewendeten Gegenstände 35 €/50 € (siehe R 4.10 Abs. 3 i.V.m. R 9 b Abs. 2 Satz 3 EStR) nicht übersteigt. Hinsichtlich der Aufmerksamkeiten an Arbeitnehmer verbleibt es stets bei einem unbegrenzten Betriebsausgabenabzug (§ 4 Abs. 5 Satz 1 Nr. 1 Satz 1 EStG).
Überlässt ein Lohnsteuerhilfeverein zur Motivation und Belohnung erfolgreichen Beratungsstellenleitern, die nicht ArbN sind, angemietete Ferienapartments unentgeltlich zur Nutzung zu Urlaubszwecken, so stellen die Aufwendungen nicht »Geschenke« i.S.d. § 4 Abs. 5 Satz 1 Nr. 1 EStG dar. Auch wenn die Ferienapartments im gleichen Gebäudekomplex wie eine Beratungsstelle und ein – eine Betriebsstätte darstellender – Schulungsraum des Lohnsteuerhilfevereins belegen sind, befinden sie sich »außerhalb des Orts eines Betriebs« i.S.d. § 4 Abs. 5 Satz 1 Nr. 3 EStG; die Aufwendungen für die Ferienapartments stellen deshalb nach dieser Vorschrift nichtabziehbare Betriebsausgaben dar. Für den »Ort eines Betriebs« ist nicht allein darauf abzustellen, dass überhaupt eine Stelle, Betriebstätte oder ein Betrieb in der räumlichen Nähe der Beherbergungseinrichtung vorhanden ist, sondern dass diese auch üblicherweise von den beherbergten Geschäftsfreunden aufgesucht werden muss (im Urteilsfall: Anwesenheit der eingeladenen Beratungsstellenleiter nur zu Urlaubszwecken, keine Teilnahme an Schulungen); vgl. FG Berlin-Brandenburg vom 10.11.2020, 8 K 8008/19.
Beispiel 1:
Geldgeschenke und/oder Sachzuwendungen als laufende Aufmerksamkeiten zu Weihnachten oder zum Geburtstag, um sich für etwaige spätere Aufträge in Erinnerung zu halten, sind Geschenke i.S.d. § 4 Abs. 5 Satz 1 Nr. 1 EStG.
Beispiel 2:
Ein Versicherungsvertreter gibt einem Grundstücksmakler für jeden Vertragsabschluss eines Immobilienkäufers, der ihm genannt wird, eine Flasche Whisky. Hier liegt eine unmittelbare Gegenleistung vor. Damit handelt es sich bei der Zuwendung des Whiskys nicht um ein Geschenk i.S.v. § 4 Abs. 5 Nr. 1 EStG. Die Aufwendungen sind unabhängig von ihrer Höhe voll als Betriebsausgaben anzuerkennen.
Beispiel 3:
Der Unternehmer veranstaltet eine »Informationsreise« nach Rom. An der Reise nehmen auch Vertreter anderer Firmen teil, für die der Stpfl. Aufträge ausführt. Eine ständige Geschäftsbeziehung besteht allerdings nicht (Sachverhalt entspricht dem des BFH-Urteils vom 23.6.1993, I R 14/93, BStBl II 1993, 806).
Lösung 3:
Die ertragsteuerliche Behandlung von → Incentive-Reisen behandelt das BMF-Schreiben vom 14.10.1996 (BStBl I 1996, 1192).
|
Unternehmer gewährt Reise |
|||
|
für Geschäftspartner |
für Arbeitnehmer |
||
|
als Belohnung zusätzlich zum vereinbarten Preis. |
zur Anknüpfung, Sicherung oder Verbesserung der Geschäftsbeziehungen. |
||
|
Behandlung der Aufwendungen beim Unternehmer |
Tatsächliche Fahrtkosten und Unterbringungskosten sind in vollem Umfang Betriebsausgaben. Für Unterbringung im eigenen Gästehaus sind die Betriebsausgaben gem. § 4 Abs. 5 Nr. 3 EStG nicht abzugsfähig. Aufwendungen für die Gewährung von Mahlzeiten sind als Bewirtungsaufwendungen i.H.v. 70 % der angemessenen und nachgewiesenen Kosten abzugsfähig (§ 4 Abs. 5 Nr. 2 EStG). |
Es handelt sich um ein Geschenk i.S.d. § 4 Abs. 5 Nr. 1 EStG (vgl. R 4.10 EStR und BFH Urteil vom 23.6.1993, I R 14/93, BStBl II 1993, 806). Aufwendungen für die Gewährung von Mahlzeiten sind als Bewirtungsaufwendungen i.H.v. 70 % der angemessenen und nachgewiesenen Kosten abzugsfähig (§ 4 Abs. 5 Nr. 2 EStG, vgl. R 4.10 Abs. 6 EStR). |
Die Aufwendungen sind in voller Höhe Betriebsausgaben. S.a. H 19.5 [Privilegierung] LStH. Zu beachten ist die Möglichkeit der Pauschalierung mit 30 % (zzgl. SolZ und KiSt) gem. § 37b EStG. |
|
Behandlung der Aufwendungen beim Empfänger |
Der Wert der Reise ist als Betriebseinnahme zu erfassen. Mit der Teilnahme an der Reise wird eine Entnahme verwirklicht. Bei einer Versteuerung nach § 37b EStG (Pauschalierung) bleiben die Einnahmen außer Ansatz. |
Stpfl. Arbeitslohn (H 19.7 [Incentive-Reisen] LStH). Gem. § 40 Abs. 1 EStG besteht die Möglichkeit der Pauschalierung der LSt (ab 2007 auch § 37b EStG möglich) mit der Folge der Abgeltung, d.h. die Bezüge bleiben außer Ansatz. |
|
|
Die Gewährung der Reise ist steuerlich in ihrer Gesamtheit zu beurteilen. Ihr Wert entspricht nach ihren Leistungsmerkmalen und ihrem Erlebniswert regelmäßig einer am Markt angebotenen Gruppenreise, bei der Reiseziel, Reiseprogramm und Reisedauer festgelegt und der Teilnehmerkreis begrenzt sind; deshalb können einzelne Teile der Durchführung und der Organisation aus der Sicht des Empfängers nur im Zusammenhang gesehen werden. Der Wert der Reise ist mit dem üblichen Endpreis am Abgabeort anzusetzen (§ 8 Abs. 2 EStG). Er entspricht regelmäßig dem Preis der von Reiseveranstaltern am Markt angebotenen Gruppenreisen mit vergleichbaren Leistungsmerkmalen (z. B. Hotelkategorie, Besichtigungsprogramme); eine Wertminderung wegen des vom zuwendenden Unternehmen festgelegten Reiseziels, des Reiseprogramms, der Reisedauer und des fest umgrenzten Teilnehmerkreises kommt nicht in Betracht. Rabatte, die dem die Leistung gewährenden Unternehmen eingeräumt werden, bleiben für die Bewertung beim Empfänger ebenfalls außer Betracht; Gleiches gilt für Preisaufschläge, die das Unternehmen speziell für die Durchführung der Reise aufwenden muss. |
|||
Abb.: Ertragsteuerliche Behandlung der Incentive-Reisen
Der Geschenkbegriff des § 4 Abs. 5 Satz 1 Nr. 1 EStG ist geklärt (vgl. auch BFH Beschluss vom 20.2.2019, XI B 15/18); er entspricht dem Begriff der bürgerlich-rechtlichen Schenkung. Das Abzugsverbot des § 4 Abs. 5 Satz 1 Nr. 1 EStG ist auch dann anzuwenden, wenn ein Dritter dem Schenker die Kosten des Geschenks erstattet. Dass ein Dritter dem Schenker die Kosten des Geschenks erstattet, führt zu keiner anderen Sachbehandlung, weil sonst das gesetzliche Abzugsverbot im Ergebnis unterlaufen werden könnte; könnte sich der Stpfl. nicht abziehbare Aufwendungen von einem Geschäftspartner steuerfrei erstatten lassen, so müsste er diese Aufwendungen im Ergebnis nicht aus versteuertem Einkommen bestreiten, was mit dem Zweck des Abzugsverbots nicht vereinbar wäre; vgl. BFH Beschluss vom 14.7.2020, XI B 1/20.
Zum geldwerten Vorteil und zum Ansatz einer Reise als Betriebseinnahmen s. BFH Urteil vom 26.9.1995 (VIII R 35/93, BStBl II 1996, 273).
Der Beurteilung der Reise als geldwerter Vorteil steht nicht entgegen, dass
-
der Stpfl. eine solche Reise ohne die Einladung des Geschäftspartners nicht unternommen hätte;
-
die Teilnahme an der Tagung (Reise) ggf. im überwiegenden eigenbetrieblichen Interesse des Geschäftspartners lag.
Beispiel 4:
Der Unternehmer U wendet seinem Geschäftspartner G Eintrittskarten für den Besuch des Bundesligaspiels des FC Bayern München zu. Neben der Eintrittsberechtigung erfolgt auch eine Bewirtung des Geschäftsfreundes.
Lösung 4:
S. die ausführlichen Erläuterungen unter → VIP-Logen.
Wendet der Stpfl. seinen Geschäftsfreunden unentgeltlich Eintrittskarten zu, um geschäftliche Kontakte vorzubereiten und zu begünstigen oder um sich geschäftsfördernd präsentieren zu können, kann es sich um Geschenke i.S.v. § 4 Abs. 5 Satz 1 Nr. 1 EStG handeln, die nur abziehbar sind, wenn die Anschaffungskosten der dem Empfänger im Wj. zugewendeten Gegenstände insgesamt 35 € (ab VZ 2024 50 €) nicht übersteigen. Der Geschenkbegriff des § 4 Abs. 5 Satz 1 Nr. 1 EStG entspricht demjenigen der bürgerlich-rechtlichen Schenkung (BMF vom 22.8.2005, BStBl I 2005, 845, Rz. 4).
Erfolgt die Zuwendung dagegen als Gegenleistung für eine bestimmte, in engem sachlichem oder sonstigem unmittelbaren Zusammenhang stehende Leistung des Empfängers, fehlt es an der für ein Geschenk notwendigen unentgeltlichen Zuwendung. Die Aufwendungen sind dann grundsätzlich unbeschränkt als Betriebsausgaben abziehbar (BMF vom 22.8.2005, BStBl I 2005, 845, Rz. 5).
Aufwendungen für die Bewirtung von Geschäftsfreunden aus geschäftlichem Anlass sind gem. § 4 Abs. 5 Satz 1 Nr. 2 EStG unter den dort genannten Voraussetzungen beschränkt abziehbar (BMF vom 22.8.2005, BStBl I 2005, 845, Rz. 6).
Bei den Empfängern der Geschenke ist der geldwerte Vorteil wegen der betrieblichen Veranlassung als Betriebseinnahme zu versteuern, und zwar auch dann, wenn für den Zuwendenden das Abzugsverbot des § 4 Abs. 5 Satz 1 Nr. 1 EStG gilt (BFH vom 26.9.1995, VIII R 35/93, BStBl II 1996, 273). Der Vorteil aus einer Bewirtung i.S.d. § 4 Abs. 5 Satz 1 Nr. 2 EStG ist dagegen aus Vereinfachungsgründen beim bewirteten Stpfl. nicht als Betriebseinnahme zu erfassen.
Beispiel 5:
-
Der Kaufhausunternehmer K führt anlässlich des 50-jährigen Firmenjubiläums eine Tombola durch, indem die Kunden bei jedem Einkauf ein Los erhalten, das zur Teilnahme an der Jubiläumsverlosung berechtigt, bei der Waren des Kaufhauses verlost werden.
-
Der Weinhändler W stiftet anlässlich des Vereinsfestes des FC Edenkoben für die Tombola fünf bzw. zwölf Flaschen Wein zum Einkaufspreis von je 5 €. Beim Einkauf des Weines hatte W die Vorsteuer i.H.v. jeweils 0,95 € (19 % von 5 €) abgezogen.
-
Der Sportartikelhändler S stiftet anlässlich des Vereinsfestes des FC Edenkoben für die Tombola zwei Trainingsanzüge zum Einkaufspreis von je 55 €. Dafür werden beim Vereinsfest die Festbesucher durch Lautsprecherdurchsagen und durch Verteilung von Werbezetteln auf das Sportgeschäft aufmerksam gemacht.
-
Der Großhändler G unterstützt seinen hochwassergeschädigten Geschäftspartner in Bayern.
Lösung 5:
Fall a) Preise anlässlich eines (vom Unternehmer selbst veranstalteten) Preisausschreibens oder einer Auslobung sind keine Geschenke i.S.d. § 4 Abs. 5 Satz 1 Nr. 1 EStG (R 4.10 Abs. 4 Satz 5 Nr. 3 EStR). Die Aufwendungen dafür sind als Werbeaufwendungen in voller Höhe als Betriebsausgaben zu berücksichtigen.
Fall b) und c) Bei Zuwendungen an Vereine ist die steuerliche Behandlung der Zuwendung davon abhängig, ob es sich um Spenden oder um Sponsoringaufwendungen handelt.
Im Fall b) dürfte es sich um Spenden handeln, da Spenden ohne Erwartung einer konkreten Gegenleistung erbracht werden (→ Spendenabzug). Als Spende gilt auch die Zuwendung von WG (§ 10b Abs. 3 Satz 1 EStG). Wenn der betriebliche Anlass komplett fehlt, handelt es sich bei den getätigten Aufwendungen um Kosten der Lebensführung i.S.d. § 12 Nr. 1 EStG. Der Wein ist in diesem Fall als Privatentnahme aus dem Betriebsvermögen zu entnehmen. Unter den Voraussetzungen des § 6 Abs. 1 Nr. 4 Satz 4 EStG kann die Entnahme mit dem Buchwert angesetzt werden. Bei der Ermittlung der Zuwendungshöhe darf der bei der Entnahme angesetzte Wert nicht unterschritten werden (§ 10b Abs. 3 Satz 2 EStG).
Im Fall c) macht der Sponsor öffentlichkeitswirksam auf seine Leistungen aufmerksam. Zur ertragsteuerlichen Behandlung des Sponsorings s. BMF vom 18.2.1998 (BStBl I 1998, 212 sowie → Sponsoring) sowie OFD Frankfurt/M. vom 6.9.2016. Leistungen des Sponsors im Rahmen des Sponsoring-Vertrags, für die als Gegenleistung Werbung für den Sponsor erbracht werden, sind in voller Höhe als Betriebsausgaben abzugsfähig. Das ist insbesondere der Fall, wenn der Empfänger der Leistungen auf Plakaten, Veranstaltungshinweisen, in Ausstellungskatalogen, auf den von ihm benutzten Fahrzeugen oder anderen Gegenständen auf das Unternehmen oder auf die Produkte des Sponsors werbewirksam hinweist. Die Berichterstattung in Zeitungen, Rundfunk oder Fernsehen kann einen wirtschaftlichen Vorteil, den der Sponsor für sich anstrebt, begründen, insbesondere wenn sie in seine Öffentlichkeitsarbeit eingebunden ist oder der Sponsor an Pressekonferenzen oder anderen öffentlichen Veranstaltungen des Empfängers mitwirken und eigene Erklärungen über sein Unternehmen oder seine Produkte abgeben kann. Wirtschaftliche Vorteile für das Unternehmen des Sponsors können auch dadurch erreicht werden, dass der Sponsor durch Verwendung des Namens, von Emblemen oder Logos des Empfängers oder in anderer Weise öffentlichkeitswirksam auf seine Leistungen aufmerksam macht. Für die Berücksichtigung der Aufwendungen als Betriebsausgaben kommt es nicht darauf an, ob die Leistungen notwendig, üblich oder zweckmäßig sind. Es handelt sich dabei nicht um Geschenke i.S.d. § 4 Abs. 5 Satz 1 Nr. 1 EStG (BMF vom 18.2.1998, BStBl I 1998, 212, Rz. 6). Vgl. hierzu auch BFH vom 14.7.2020, VIII R 28/17.
Erhofft sich der Unternehmer mit der Zuwendung lediglich, dass Geschäftsbeziehungen mit dem Verein entstehen oder gesichert werden bzw. dass für seinen Wein durch die Tombola geworben wird (R 4.10 Abs. 4 Satz 3 EStR), ist die Unentgeltlichkeit der Zuwendung gegeben und es handelt sich um ein Geschenk i.S.d. § 4 Abs. 5 Satz 1 Nr. 1 EStG.
Bei der Zuwendung im Fall b) der fünf Flaschen Wein bleibt der Betriebsausgabenabzug erhalten, da der Wert der Zuwendung insgesamt 50 € nicht übersteigt.
Bei dem Sachgeschenk von zwölf Flaschen Wein führen die Aufwendungen nach § 4 Abs. 5 Satz 1 Nr. 1 EStG zu nicht abzugsfähigen Betriebsausgaben, da die Anschaffungskosten der Zuwendungen an den Empfänger 50 € übersteigen. Ertragsteuerrechtlich sind die Betriebsausgaben um 12 × 5,95 € = 71,40 € zu korrigieren. Da ein Veranlassungszusammenhang mit einer Einkunftsart besteht, ist der Spendenabzug auch dann ausgeschlossen, wenn sich bei der Einkünfteermittlung keine steuerliche Auswirkung ergibt. Sonderausgaben können nur Aufwendungen sein, die weder zu den Betriebsausgaben noch zu den Werbungskosten gehören (§ 10 Abs. 1 Satz 1 EStG).
Im Fall d) sind verschiedene BMF-Schreiben zu beachten, die die Behandlung von Zuwendungen in Katastrophenfällen regeln:
-
zuletzt BMF vom 27.2.2023; Steuerliche Maßnahmen zur Unterstützung der Opfer des Erdbebens in der Türkei und in Syrien
Nach den Verwaltungsanweisungen sind die Zuwendungen aus dem Betriebsvermögen wie folgt zu behandeln:
Die Zuwendungen sind als Sponsoring-Maßnahmen zum Betriebsausgabenabzug zuzulassen, wenn die Zuwendungen die Voraussetzungen des Sponsoring-Erlasses (BMF vom 18.2.1998, BStBl I 1998, 212) erfüllen. Der Sponsor erstrebt mit seiner Zuwendung wirtschaftliche Vorteile durch die Berichterstattung in den Medien.
Wendet der Stpfl. seinen von dem Erdbeben/Hochwasser geschädigten Geschäftspartnern zum Zwecke der Aufrechterhaltung der Geschäftsbeziehungen in angemessenem Umfang unentgeltlich Leistungen aus seinem inländischen Betriebsvermögen zu, sind die Aufwendungen in voller Höhe als Betriebsausgaben abziehbar. § 4 Abs. 5 Satz 1 Nr. 1 des Einkommensteuergesetzes ist insoweit aus Billigkeitsgründen nicht anzuwenden. Entsprechendes gilt für Zuwendungen, für die kein Abzug nach § 10b des Einkommensteuergesetzes möglich ist, an öffentlich-rechtliche oder nach § 5 Abs. 1 Nr. 5 des Körperschaftsteuergesetzes steuerbefreite Körperschaften zur Berufsvertretung (z.B. Berufskammern und Innungen) im Rahmen von Spendenaufrufen zugunsten der von dem Erdbeben geschädigten Berufsangehörigen. Erfüllt die Zuwendung des Unternehmers nicht die Voraussetzungen für den Betriebsausgabenabzug, so ist aus allgemeinen Billigkeitserwägungen die Zuwendung von WG oder sonstigen betrieblichen Nutzungen und Leistungen (nicht hingegen Geld) des Unternehmers aus einem inländischen Betriebsvermögen an hochwassergeschädigte Unternehmen als Betriebsausgabe zu behandeln, die ohne Rücksicht auf § 4 Abs. 5 Satz 1 Nr. 1 EStG abgezogen werden darf.
Aufwendungen für die Herstellung eines Kalenders mit Firmenlogo sind nur dann als Betriebsausgaben abzugsfähig, wenn diese einzeln und getrennt von den übrigen Betriebsausgaben im Rahmen des Buchführungswerks aufgezeichnet werden (FG Baden-Württemberg Urteil vom 12.4.2016, 6 K 2005/11). Die Klägerin ließ Kalender mit Firmenlogo und Grußwort der Geschäftsführerin herstellen, die sie Kunden, Geschäftspartnern und sonstigen Personen übergab. Die Kalender wurden im Wesentlichen mit einer Grußkarte in der Weihnachtszeit versandt. Die Herstellungskosten pro Kalender betrugen weniger als 40 €. Die Klägerin machte diese als Betriebsausgaben geltend. Das Finanzamt versagte den Betriebsausgabenabzug. Das FG entschied, dass es sich bei den Kalendern um ein Geschenk handle, da die Zuwendung unentgeltlich erfolgte. Die Geschenke dürfen daher den Gewinn nicht mindern. Der Abzug scheiterte an den mangelnden Aufzeichnungspflichten. Vorliegend hat die Klägerin die Aufwendungen nicht auf einem besonderen Konto oder mehreren besonderen Konten innerhalb der kaufmännischen Buchführung verbucht. Sie hat die Aufwendungen auf einem Konto gebucht, das nicht lediglich Aufwendungen für Geschenke umfasst. Zweck der getrennten Aufzeichnung ist es, dem Finanzamt die Feststellung zu erleichtern, ob und in welchem Umfang Aufwendungen vorliegen, für die das Abzugsverbot gilt. Dies kann nur durch eine getrennte Erfassung innerhalb der Buchführung geschehen. Im Übrigen sind Geschenke regelmäßig privat mitveranlasst. Zur Vereinfachung der Besteuerung hat daher der Gesetzgeber die Abzugsfähigkeit von Aufwendungen für Geschenke sowie die Voraussetzungen hierfür, einschließlich der Aufzeichnungspflichten, gesetzlich geregelt; vgl. hierzu auch OFD Frankfurt Verfügung vom 27.2.2019, S 2145 A – 005 – St 210.
1.5. Keine Geschenke i.S.d. § 4 Abs. 5 Satz 1 Nr. 1 EStG
Unter die Abzugsbeschränkung des § 4 Abs. 5 Satz 1 Nr. 1 EStG fallen betrieblich veranlasste Aufwendungen, die die Lebensführung des Stpfl. oder anderer Personen berühren (R 4.10 Abs. 1 EStR). Deshalb greift das Abzugsverbot nicht, wenn die zugewendeten WG beim Empfänger ausschließlich betrieblich genutzt werden können (R 4.10 Abs. 2 Satz 4 EStR). In diesem Sinne greift das Abzugsverbot nach Auffassung der Finanzverwaltung gem. R 4.10 EStR nicht, wenn die zugewendeten WG beim Empfänger ausschließlich betrieblich genutzt werden können. So können etwa die Hersteller pharmazeutischer Erzeugnisse Aufwendungen für Arztpraxisgegenstände wie z.B. Blutdruckmessgeräte oder Notfallkoffer, die sie Krankenhäusern oder Ärzten unentgeltlich überlassen, in voller Höhe als BA abziehen (vgl. OFD Münster vom 14.4. 1989, NWB EN-Nr. 738/89).
Keine Geschenke i.S.d. § 4 Nr. 5 Satz 1 Nr. 1 EStG sind:
-
Trinkgelder; diese werden mit Rücksicht auf den Erwerb der Leistung gewährt. Das gilt auch für Rabatte, Boni und Provisionen.
-
Betriebsveranstaltungen i.S.d. § 19 Abs. 1a Nr. 1.
-
Zugaben i.S.d. der ZugabeVO; es handelt sich dabei um Gegenstände, die den Kunden zusammen mit der eingekauften Ware ausgehändigt werden (BFH Beschluss vom 28.11.1986, III B 54/85, BStBl II 1987, 296). Man versteht unter solchen Zugaben Waren oder Leistungen, die neben einer Hauptware (Hauptleistung) zwar ohne besonderes Entgelt, aber mit Rücksicht auf den Erwerb der Hauptware (Hauptleistung) angeboten, angekündigt oder gewährt werden. Wesentlich ist demnach die Verknüpfung der Zugabe mit dem Absatz der Hauptware. Gerade wegen dieses akzessorischen Moments kann die zusätzlich hingegebene Ware (Leistung) für sich allein auch nicht als Geschenk angesehen werden. Sie wird nicht isoliert und ohne zeitlichen oder sonstigen unmittelbaren Zusammenhang mit einer Leistung des Empfängers weggegeben, sondern steht vielmehr gewollt in einer solchen Verknüpfung. Entsprechende Aufwendungen sind in voller Höhe – auch ohne Beachtung des § 4 Abs. 7 EStG – als Betriebsausgaben abzugsfähig. Mit Urteil vom 21.9.1993 (III R 76/88, BStBl II 1994, 170) bestätigt der BFH seine bisherige Rspr. und hat darüber hinaus entschieden, dass für die Annahme einer Zugabe i.S.d. ZugabeVO es nicht erforderlich ist, dass der Kaufentschluss des einzelnen Kunden durch die subjektive Erwartung eine Dreingabe zu erhalten, ausgelöst wird. Das Anbieten, Ankündigen oder Gewähren der Nebenware oder -leistung muss lediglich objektiv geeignet sein, Kunden in ihrer Entscheidung zu beeinflussen.
-
Schmier- bzw. Bestechungsgelder (→ Bestechungs- und Schmiergelder); mit deren Hingabe strebt der Geber die Herbeiführung eines bestimmten Geschäftsabschlusses oder eine andere konkrete Gegenleistung an. Zur Unterscheidung der Schmiergeschenke von den Schmiergeldzahlungen s. BFH Urteil vom 18.2.1982 (IV R 46/78, BStBl II 1982, 394).
-
Unentgeltlich abgegebene Verkaufskataloge, Versandhauskataloge, Reisekataloge, Werbeprospekte und -handzettel, Veranstaltungsprogramme und -kalender usw. dienen der Werbung, insbesondere der Anbahnung eines späteren Umsatzes. Eine (private) Bereicherung des Empfängers ist damit regelmäßig nicht verbunden.
-
Gläserausstattung mit Werbeaufdruck, die eine Brauerei einem Gastwirt schenkt.
-
Warenmuster und Probepackungen; die Abgabe eines Warenmusters soll dem Empfänger nicht den Kauf ersparen, sondern ihn gerade zum Kauf anregen (s.a. 3.3 Abs. 13 UStAE).
-
Werbeprämien; diese werden für die Vermittlung neuer Kunden gewährt und stellen somit Provisionen dar.
-
Kränze und Blumen bei Beerdigungen (R 4.10 Abs. 4 Satz 5 Nr. 1 EStR).
-
Spargutscheine der Kreditinstitute und darauf beruhende Gutschriften auf dem Sparkonto anlässlich der Eröffnung des Sparkontos oder weiterer Einzahlungen (R 4.10 Abs. 4 Satz 5 Nr. 2 EStR).
-
Die Beurteilung der Abzugsfähigkeit von Aufwendungen für Gewinne aus Verlosungen, Preisausschreiben und sonstigen Gewinnspielen ist nach den allgemeinen Grundsätzen vorzunehmen (R 4.10 Abs. 2 und 4 EStR). Danach gelten Preise anlässlich eines Preisausschreibens oder einer Auslobung nicht als Geschenke (vgl. R 4.10 Abs. 4 Satz 5 Nr. 3 EStR). Prämien aus (Neu-)Kundenwerbungsprogrammen und Vertragsneuabschlüssen können Geschenke i.S.d. § 4 Abs. 5 Satz 1 Nr. 1 EStG, aber auch Bestandteil einer Gegenleistung und damit Betriebsausgabe i.S.d. § 4 Abs. 4 EStG sein.
-
Bewirtungen von Personen aus geschäftlichem Anlass (R 4.10 Abs. 4 Satz 6 EStR; → Bewirtungsaufwendungen). S. aber § 4 Abs. 5 Satz 1 Nr. 2 EStG.
-
Parteispenden sind keine Betriebsausgaben und somit auch keine Geschenke i.S.d. § 4 Abs. 5 Satz 1 Nr. 1 EStG. Zu beachten ist jedoch, dass Parteispenden einer eigenen Abzugsbeschränkung nach § 4 Abs. 6 EStG unterliegen.
-
(Streu-)Werbeartikel sind Gegenstände, auf denen der Name oder die Firmenbezeichnung des Schenkers oder ein sonstiger Werbehinweis angebracht ist (z.B. Kugelschreiber, Kalender, Stofftaschen, Einkaufschips usw.). Für die Frage des Betriebsausgabenabzugs beim Zuwendenden ist im Einzelfall – unabhängig von einer Betragsgrenze – zu prüfen, ob es sich bei dem zugewandten Gegenstand um ein Geschenk i.S.d. § 4 Abs. 5 Satz 1 Nr. 1 EStG oder um Werbeaufwand handelt. Aus den bestehenden Aufzeichnungserleichterungen (vgl. R 4.11 Abs. 2 Satz 2 Nr. 2 EStR) kann nicht geschlossen werden, dass es sich bei den vorgenannten Zuwendungen stets um Geschenke handelt. Soweit die Zuwendung individualisiert und/oder an einen bestimmten Empfängerkreis verteilt wird, handelt es sich um Geschenke i.S.d. § 4 Abs. 5 Satz 1 Nr. 1 EStG, die der Abzugsbeschränkung unterliegen (vgl. auch Rn. 50 im Urteil des FG Baden-Württemberg vom 12.4.2016, 6 K 2005/11, EFG, 1197); vgl. hierzu Tz. 3 OFD Frankfurt Verfügung vom 27.2.2019, S 2145 A – 005 – St 210.
1.6. Die 35 €-Grenze (ab VZ 2024 50 €)
Im Rahmen des Wachstumschancengesetzes vom 27.3.2024 (BGBl I 2024, Nr. 108) erfolgt eine Anpassung des Betrages von 35 € um 15 € auf 50 €. Die Freigrenze i.H.v. 50 € gilt gem. § 52 Abs. 6 Satz 10 EStG erstmals für Wj., die nach dem 31.12.2023 beginnen, d.h. regelmäßig ab dem Jahr 2024, sofern kein abweichendes Wj. vorliegt.
Bei der Grenze von 35 €/50 € handelt es sich um eine Freigrenze. Betragen die Anschaffungskosten für das Geschenk z.B. 36 € bzw. 51 €, dürfen die Aufwendungen insgesamt nicht abgezogen werden (R 4.10 Abs. 3 Satz 2 EStR).
Die 35 €-Grenze ist eine Summenbetrachtung. Das Abzugsverbot gilt, wenn die Anschaffungs- oder Herstellungskosten aller dem Empfänger im Wj. zugewendeten Gegenstände insgesamt 35 € übersteigen. In die Freigrenze des § 4 Abs. 5 Satz 1 Nr. 1 EStG sind neben Geschenkaufwendungen für den Geschäftsfreund auch Geschenkaufwendungen an dem Geschäftsfreund persönlich nahestehende Personen mit einzubeziehen, die mit Rücksicht auf die Geschäftsbeziehungen zu dem Geschäftspartner an diese Personen gegeben worden sind. Dem Geschäftsfreund persönlich nahestehende Personen sind hinsichtlich der Einhaltung der Freigrenze jedenfalls dann getrennt zu berücksichtigen, d.h. eine Zusammenrechnung erfolgt nicht, wenn auch sie Geschäftspartner des Gebers oder im Unternehmen des Geschäftspartners angestellt sind (FG Nürnberg Urteil vom 18.1.1994, II 238/91, EFG 1994, 815, LEXinform 0109630, rkr.).
Werden einem nicht eingetragenen Verein oder einer Kapitalgesellschaft Werbegeschenke gegeben, so ist Empfänger i.S.d. § 4 Abs. 5 Satz 1 Nr. 1 EStG der Verein und nicht jedes einzelne Mitglied; die Freigrenze von 35 € ist nicht mit der Zahl der Vereinsmitglieder zu multiplizieren (FG Köln Urteil vom 11.2.1982, II 79/81, EFG 1983, 60, LEXinform 0029645).
Personen, die zu dem Stpfl. aufgrund eines Werkvertrages oder eines Handelsvertretervertrages in ständiger Geschäftsbeziehung stehen, sind den ArbN des Stpfl. nicht gleichgestellt; vgl. R 4.10 Abs. 2 Satz 2 EStR.
Nach einem Urteil des FG Köln vom 26.9.2013, 13 K 3908/09, sind AK für fünf Kraftfahrzeuge, die anlässlich einer Jubiläumsfeier an Kunden verlost werden, als Aufwendungen für Geschenke i.S.v. § 4 Abs. 5 Satz 1 Nr. 1 EStG nicht als BA abziehbar, wenn der Wert der in jedem aktivierten Los verkörperten Gewinnchance 35 € übersteigt. Der Wert der Loschance ergibt sich aus dem Gesamtgewinn, geteilt durch die aktivierten Lose.
Der BFH nimmt in seinem Urteil vom 30.3.2017, IV R 13/14, Stellung zur Ermittlung der 35 €-Grenze und vertritt die Auffassung, dass der zuwendende Unternehmer, der die Wertgrenze von 35 € (ab VZ 2024 50 €) einhalten will, künftig darauf achten muss, dass der Wert des Geschenks und die übernommene pauschale Einkommensteuer den Betrag von 35 € (ab VZ 2024 50 €) nicht übersteigen. Im Urteilsfall hatte ein Konzertveranstalter in großem Umfang Freikarten an Geschäftspartner verteilt. Soweit diesen dadurch steuerpflichtige Einnahmen zugeflossen sind, hatte er pauschale Einkommensteuer auf die Freikarten an das FA abgeführt. Der BFH entschied, dass diese Steuer als weiteres Geschenk zu beurteilen ist mit der Folge, dass diese das steuerliche Schicksal der Zuwendung – hier der Freikarten – teilt.
Zählt die verschenkte Freikarte zum unangemessenen Repräsentationsaufwand, muss das auch für die übernommene Steuer gelten. Ein Betriebsausgabenabzug kommt danach nicht in Betracht, wenn der Wert des Geschenks und die dafür anfallende Pauschalsteuer insgesamt 35 € übersteigen. Damit ist das Abzugsverbot auch dann anzuwenden, wenn diese Betragsgrenze erst aufgrund der Höhe der Pauschalsteuer überschritten wird.
Die Wertgrenze ist für jeden selbstständigen Betrieb eines Unternehmers zu beachten, jedoch nicht für mehrere Betriebsstätten ein und desselben Betriebs.
1.7. Ermittlung der Anschaffungs- bzw. Herstellungskosten für Geschenke
Für die Ermittlung der Anschaffungskosten für Geschenke (R 4.10 Abs. 3 Satz 1 und R 9b Abs. 3 EStR, H 9b [Freigrenze für Geschenke nach § 4 Abs. 5 Satz 1 Nr. 1 EStG] EStH) sind folgende Unterscheidungen zu treffen:
-
Unternehmer tätigt ausschließlich Abzugsumsätze: Die Vorsteuer ist abziehbar und abzugsfähig. Die Freigrenze von 35 € bzw. 50 € ist ein Nettobetrag.
-
Unternehmer tätigt ausschließlich Ausschlussumsätze: Die Vorsteuer ist gem. § 15 Abs. 2 Nr. 1 UStG nicht abzugsfähig. Die nicht abzugsfähige Vorsteuer gehört nach § 9b Abs. 1 EStG zu den Anschaffungskosten. Die Freigrenze von 35 € bzw. 50 € ist ein Bruttobetrag.
-
Unternehmer tätigt sowohl Abzugs- als auch Ausschlussumsätze: Die anteilige nach § 15 Abs. 2 Nr. 1 i.V.m. Abs. 4 UStG nicht abzugsfähige Vorsteuer gehört nach § 9b Abs. 1 EStG zu den Anschaffungskosten. Die Freigrenze von 35 € bzw. 50 € ist der Nettobetrag zzgl. der individuell ermittelten nicht abzugsfähigen Vorsteuer.
Verpackungs- und Versandkosten gehören nicht zu den Anschaffungs- oder Herstellungskosten eines Geschenks (R 4.10 Abs. 3 Satz 1 Halbsatz 2 EStR). Berücksichtigt werden allerdings Kosten für die Kennzeichnung (Werbeaufdruck).
Übersteigen die Anschaffungs- oder Herstellungskosten eines Geschenks an einen Empfänger oder, wenn an einen Empfänger im Wj. mehrere Geschenke gegeben werden, die Anschaffungs- oder Herstellungskosten aller Geschenke an diesen Empfänger die Freigrenze gem. § 4 Abs. 5 Satz 1 Nr. 1 EStG, entfällt der Abzug in vollem Umfang.
Beispiel 6:
Ein Unternehmer erwirbt im Kj. 2023 ein Geschenk, dessen Bruttokaufpreis 40,46 € beträgt (darin enthaltene Vorsteuer 19 % = 6,46 €).
Lösung 6:
-
Bei Unternehmern mit Umsätzen, die zum Vorsteuerabzug berechtigen, ist für die Bemessung der Freigrenze auf den Nettowarenwert i.H.v. 34 € abzustellen. Die Freigrenze von 35 € wird nicht überschritten.
-
Bei Unternehmern mit Umsätzen, die nicht zum Vorsteuerabzug berechtigen, ist für die Bemessung der Freigrenze auf den Bruttowarenwert abzustellen. Die Freigrenze von 35 € wird überschritten. S.a. H 9b [Freigrenze für Geschenke nach § 4 Abs. 5 Satz 1 Nr. 1 EStG] EStH.
1.8. Die ertragsteuerliche Behandlung der Geschenke beim Schenker
Die nach § 4 Abs. 5 und 7 EStG nicht abziehbaren Betriebsausgaben sind keine Entnahmen i.S.d. § 4 Abs. 1 Satz 2 EStG (R 4.10 Abs. 1 EStR). Die nicht abzugsfähigen Betriebsausgaben, die als Aufwand verbucht bzw. als Betriebsausgaben abgesetzt worden sind, sind bei der Gewinnermittlung durch Bestandsvergleich dem Gewinn außerhalb der Bilanz und bei Gewinnermittlung durch Einnahmen-Überschussrechnung den Betriebseinnahmen hinzuzurechnen. Erfolgt die Anschaffung im vorherigen Wj. jedoch die Schenkung im darauf folgenden Wj., ist im Wj. der Hingabe der Zuwendung der Gewinn zu erhöhen (R 4.10 Abs. 2 Satz 3 EStR).
Hat das Geschenk private Motive, darf es den stpfl. Gewinn auch dann nicht mindern, wenn es einem ArbN zugewendet wird.
Bei der Veräußerung von in § 4 Abs. 5 EStG genannten WG ist zur Berechnung des Veräußerungsgewinns als Buchwert der Wert anzusetzen, der sich unter Berücksichtigung der – den Gewinn bisher nicht beeinflussenden – AfA ergibt (BFH Urteil vom 12.12.1973, VIII R 40/69, BStBl II 1974, 207; H 4.10 (1) [Veräußerung von Wirtschaftsgütern i.S.d. § 4 Abs. 5 EStG] EStH). Geschenke i.S.d. § 4 Abs. 5 Nr. 1 EStG rechnen nach R 6.1 Abs. 2 EStR in der Regel zum → Umlaufvermögen. WG des § 4 Abs. 5 EStG gehören zum BV und sind auch wie WG des BV zu behandeln. So sind für WG des Anlagevermögens Abschreibungen vorzunehmen, auch wenn diese Abschreibungen wegen des Abzugsverbots nach § 4 Abs. 5 EStG den Gewinn nicht mindern dürfen. Nach Auffassung des BFH will § 4 Abs. 5 EStG nach seinem Sinn und Zweck nur verhindern, dass Zwecken der betrieblichen Repräsentation dienender Aufwand den Gewinn beeinflusst, die Vorschrift will aber im Übrigen die Regeln der Bewertung und Abschreibung dieser WG nicht außer Kraft setzen. Die Gewinnbeeinflussung wird durch § 4 Abs. 5 EStG dadurch ausgeschlossen, dass die Aufwendungen (AfA) außerhalb der Bilanz dem Gewinn wieder hinzugerechnet oder durch einen steuerlichen Korrekturposten (fiktive Betriebseinnahmen) neutralisiert werden.
So stellt die Veräußerung eines solchen WG einen Geschäftsvorfall dar und der Bucherlös ist eine gewerbliche Einnahme. Als Veräußerungsgewinn ist der Unterschiedsbetrag zwischen dem Buchwert und dem Veräußerungspreis nach Abzug der Veräußerungskosten anzusetzen. Es ist dabei von einem Buchwert auszugehen, bei dem sich die Abschreibungen nach § 7 EStG ausgewirkt haben. Nach diesen Grundsätzen ist bei Umlaufvermögen von einem Buchwert i.H.v. 0 € auszugehen. Von diesem geminderten Buchwert ist auch dann auszugehen, wenn die Abschreibungen (Betriebsausgaben) in den früheren Jahren den Gewinn wegen des Verbots der Abzugsfähigkeit nicht gemindert hatten. Eine andere Behandlung würde zu einem dem Gesetzeszweck nicht entsprechenden Ergebnis führen. Würde man nämlich bei der Berechnung des Veräußerungsgewinns von einem nicht um die Abschreibungen geminderten Wert ausgehen, so käme dies – wirtschaftlich betrachtet – einer Nachholung der AfA (BA) im Zeitpunkt der Veräußerung gleich.
Beim Schenker stellen sich insbes. die drei nachfolgenden praxisrelevanten Fragen:
-
Existiert ein Ausschluss vom Betriebsausgabenabzug?
-
Ist die Vorsteuer abziehbar und abzugsfähig?
-
Ist das Geschenk als Zuwendung der USt zu unterwerfen?
1.9. Die ertragsteuerliche Behandlung der Geschenke beim Empfänger
Die Bewertung von einzelnen WG, die unentgeltlich in das Betriebsvermögen eines anderen Stpfl. übertragen werden, erfolgt nach § 6 Abs. 4 EStG. Davon betroffen sind nur Übertragungen, die beim erwerbenden Stpfl. keine Einlagen darstellen, bei ihm folglich betrieblich, nicht aber privat veranlasst sind. Auf Seiten des Übertragenden kann der Vorgang betrieblich oder privat veranlasst sein. Rechtsfolge des § 6 Abs. 4 EStG ist die Bewertung unentgeltlich erworbener WG im aufnehmenden Betriebsvermögen mit fiktiven Anschaffungskosten in Höhe des gemeinen Werts. Wegen des Fehlens eigener Aufwendungen ergibt sich für den Erwerber in gleicher Höhe eine Betriebseinnahme. Die Anschaffungskosten wirken sich nach § 7 EStG über die Nutzungsdauer als Betriebsausgaben aus. Beim unentgeltlichen Erwerb von Umlaufvermögen steht den Betriebseinnahmen in gleicher Höhe (gemeiner Wert des geschenkten WG) eine Betriebsausgabe gegenüber.
Die Vorschrift des § 6 Abs. 4 EStG erfasst nur den Fall des unentgeltlichen Erwerbs einzelner WG. Der Übertragung des WG darf daher keine konkrete, von dem Erwerber erbrachte oder noch zu erbringende Entschädigung oder Gegenleistung gegenüberstehen. Verspricht sich der Übertragende z.B. lediglich Vorteile, die sich in günstigeren Geschäftsbeziehungen erschöpfen, liegt keine konkrete Gegenleistung des Erwerbers vor. Dies ist regelmäßig der Fall bei Werbe- oder Gefälligkeitsgeschenken, Warenmustern u.Ä.
Bei betrieblicher Veranlassung muss der geldwerte Vorteil beim Empfänger auch dann als Betriebseinnahme erfasst werden, wenn für den Geber das Abzugsverbot aus § 4 Abs. 5 Satz 1 Nr. 1 EStG greift; vgl. auch BFH vom 26.9.1995, VIII R 35/93.
Ein entgeltlicher Erwerb liegt u.a. vor, wenn im Rahmen von Lieferbeziehungen Waren teilweise ohne Berechnung geliefert werden. Derartige Preisnachlässe in Form von Zugaben, Naturalrabatten oder -boni mindern die Anschaffungskosten aller bezogenen Waren und führen infolgedessen nicht zu einer Betriebsvermögensmehrung.
Beim Empfänger des Geschenkes stellen sich insbes. die drei nachfolgenden praxisrelevanten Fragen:
-
Erhalte ich das Geschenk als ArbN/Geschäftspartner/Kunde?
-
Unterliegt das Geschenk der Besteuerung?
-
Ist eine Pauschalierung durch den Schenker möglich?
Die nachfolgende Darstellung behandelt die voll unentgeltliche Übertragung (Schenkung) von einzelnen WG und deren grundsätzliche Auswirkungen auf den Gewinn. Dabei wird unterstellt, dass die einzelnen WG zum Betriebsvermögen des schenkenden Stpfl. gehörten.
|
Schenkung durch den Steuerpflichtigen |
Schenkung an den Steuerpflichtigen |
|
|
Bargeld |
|
|
|
Abnutzbares Anlagevermögen |
|
|
|
GWG |
|
|
|
Nicht abnutzbares Anlagevermögen |
|
|
|
Umlaufvermögen |
|
|
Abb.: Behandlung von Schenkungen
Beispiel 7:
Ein Möbelhändler M schenkt seinem Steuerberater S zu dessen Geschäftsjubiläum einen Büroschrank. Über die Geschäftsbeziehungen hinaus bestehen zwischen M und S keine Verbindungen. S nutzt den erhaltenen Schrank zu eigenbetrieblichen Zwecken. Die Anschaffungskosten betrugen bei M 1 000 € zzgl. 190 € USt. Der gemeine Wert beträgt 1 740 €. Der Teilwert beträgt 1 500 €.
Lösung 7:
Aufwendungen für Geschenke an Personen, die nicht ArbN des Stpfl. sind, dürfen den Gewinn des M nur mindern, wenn die Anschaffung- oder Herstellungskosten der dem Empfänger im Wj. zugewendeten Gegenstände insgesamt 35 € nicht übersteigen (§ 4 Abs. 5 Satz 1 Nr. 1 EStG). Die bei Anschaffung und Zahlung des Büroschranks (Umlaufvermögen) getätigten Betriebsausgaben sind im Zeitpunkt der Schenkung rückgängig zu machen.
Umsatzsteuerrechtlich sind nach § 15 Abs. 1a UStG 190 € Vorsteuerbeträge nicht abziehbar. Nach § 17 Abs. 2 Nr. 5 UStG tritt eine Änderung der Bemessungsgrundlage ein, da jetzt Aufwendungen i.S.d. § 15 Abs. 1a UStG getätigt worden sind. Die erforderliche Berichtigung ist für den Besteuerungszeitraum vorzunehmen, in dem die Änderung der Bemessungsgrundlage eingetreten ist, somit in dem Voranmeldungszeitraum, in dem dem Geschäftsfreund das Geschenk übergeben wurde. Die nichtabzugsfähigen Betriebsausgaben betragen bei M insgesamt 1 190 €. Nach § 12 Nr. 3 EStG darf die Vorsteuer für Aufwendungen i.S.d. § 4 Abs. 5 Satz 1 Nr. 1 EStG den Gewinn nicht mindern.
S muss den unentgeltlich erworbenen Schrank nach § 6 Abs. 4 EStG mit dem gemeinen Wert i.H.v. 1 740 € ansetzen und als abnutzbares bewegliches Anlagevermögen behandeln. Die Anschaffungskosten i.H.v. 1 740 € stellen bei S Betriebseinnahmen dar. Die Anschaffungskosten des Schranks sind gem. § 4 Abs. 3 Satz 3 i.V.m. § 7 Abs. 1 oder 2 EStG über die AfA als Betriebsausgaben zu behandeln.
Abwandlung:
Die Schenkung erfolgt sowohl bei M als auch bei S aus privatem Anlass. S nutzt den Schrank zu betrieblichen Zwecken.
Lösung:
M tätigt eine Entnahme gem. § 4 Abs. 1 Satz 2 EStG, die mit dem Teilwert i.H.v. 1 500 € zu bewerten ist (§ 6 Abs. 1 Nr. 4 Satz 1 EStG). Umsatzsteuerrechtlich handelt es sich um eine steuerbare und stpfl. unentgeltliche Lieferung i.S.d. § 3 Abs. 1b Satz 1 Nr. 1 UStG, die nach § 10 Abs. 4 Nr. 1 UStG mit dem Einkaufspreis zum Zeitpunkt des Umsatzes zu versteuern ist. Der Einkaufspreis entspricht dem Teilwert i.H.v. 1 500 €. Die USt beträgt 285 €. In Höhe des Teilwerts und der USt (1 785 €) hat M eine (fiktive Betriebseinnahme zu erfassen). Die Anschaffungskosten des Schranks haben sich bei Zahlung als Betriebsausgaben ausgewirkt.
Für S liegt zunächst ein privater unentgeltlicher Erwerb vor. Da S den Schrank aber sofort betrieblich nutzt, liegt eine Einlage vor, die mit dem bei ihm in Betracht kommenden Teilwert – hier ebenfalls 1 500 € – nach § 6 Abs. 1 Nr. 5 Satz 1 EStG zu bewerten ist. Da es sich bei dem Schrank um ein bewegliches abnutzbares Wirtschaftsgut des Anlagevermögens handelt, wirkt sich die Einlage nur über die AfA als Betriebsausgabe aus.
Die Pauschalierung der Einkommensteuer nach § 37b Abs. 1 Satz 1 Nr. 1 EStG erfasst nur Zuwendungen, die bei den Zuwendungsempfängern zu einkommensteuerpflichtigen Einkünften führen. Weiter setzt § 37b Abs. 1 Satz 1 Nr. 1 EStG die betriebliche Veranlassung der Zuwendungen voraus und fordert darüber hinaus, dass diese Zuwendungen zusätzlich zur ohnehin vereinbarten Leistung oder Gegenleistung des Stpfl. erbracht werden. Für das Zusätzlichkeitserfordernis in § 37b EStG reicht es deshalb nicht aus, dass die Zuwendung des Stpfl. zu einer Leistung eines Dritten an den Zuwendungsempfänger hinzutritt; vgl. BFH vom 21.2.2018, VI R 25/16.
1.10. Aufzeichnungspflichten
Durch die Verpflichtung der einzelnen und gesonderten Aufzeichnung soll die Prüfung der Abziehbarkeit von Aufwendungen i.S.d. § 4 Abs. 5 EStG leicht und sicher möglich sein. Nach § 4 Abs. 7 Satz 2 EStG besteht die Abzugsfähigkeit der Aufwendungen i.S.d. § 4 Abs. 5 EStG dann nicht, wenn die Aufzeichnungen nicht entsprechend § 4 Abs. 7 Satz 1 EStG vorgenommen wurden.
Aufzeichnen bedeutet, dass die Aufwendungen schriftlich festgehalten und auf einem besonderen Konto gebucht werden. Geschenke an Geschäftspartner und Kunden sind fortlaufend, zeitnah, einzeln und getrennt von den übrigen Betriebsausgaben aufzuzeichnen; vgl. BFH vom 25.3.1998, IX B 106/97.
1.11. Werbungskostenabzug
Die Vorschrift des § 4 Abs. 5 Satz 1 Nr. 1 EStG gilt nach § 9 Abs. 5 EStG auch für den Werbungskostenabzug. ArbN unterliegen jedoch nicht der besonderen Aufzeichnungspflicht des § 4 Abs. 7 EStG.
2. Umsatzsteuerrechtliche Behandlung
2.1. Grundsätzliches
Für die umsatzsteuerliche Behandlung von Geschenken eines Unternehmers ist zu prüfen, ob der Unternehmer für die Anschaffung oder Herstellung der Geschenke den Vorsteuerabzug erhält und weiterhin ist zu prüfen, ob die Schenkung selbst einen steuerbaren und auch stpfl. Umsatz auslöst und somit zur Entstehung von Umsatzsteuer führt. Es ist zu prüfen, ob unentgeltliche Wertabgaben nach §§ 3 Abs. 1b bzw. Abs. 9a UStG vorliegen.
Die folgende Übersicht zeigt die Behandlung der Anschaffung oder Herstellung eines WG für den Vorsteuerabzug.

Abb.: Vorsteuerabzug für Geschenke
Nach einem Urteil des FG Rheinland-Pfalz vom 15.9.2015, 6 K 1844/13, stellt die Lieferung von Prämien einer Brauerei an Bierkunden gegen Einsendung von Treuepunkten, die die Kunden nach Maßgabe der im Einzelhandel gekauften Biermenge im Rahmen einer Verkaufsförderaktion erhalten haben. Die Prüfung, ob ein »Geschenk« i.S.d. § 3 Abs. 1b Satz 1 Nr. 3 UStG vorliegt, hat ungeachtet der zivilrechtlichen Ausgangslage auch im Lichte des umsatzsteuerlichen Gesetzeszwecks zu erfolgen. Das Sammeln, Einkleben und Versenden der Treuepunkte (bloße Alltagshandlungen) steht der Annahme eines Geschenks nicht entgegen. Der BFH hat in der anschließenden Revision, V R 34/15 folgende Rechtsfrage zu klären haben: Stellt die Lieferung von Sachprämien einer Brauerei an Bierkunden gegen Einsendung von gesammelten Treuepunkten, die diese nach Maßgabe der im Einzelhandel gekauften Biermenge im Rahmen einer Verkaufsförderaktion erhalten haben, eine unentgeltliche Zuwendung dar? Ist ungeachtet der zivilrechtlichen Ausgangslage auch im Lichte des umsatzsteuerlichen Gesetzeszwecks zu prüfen, ob ein Geschenk i.S.d. § 3 Abs. 1b Satz 1 Nr. 3 UStG vorliegt?
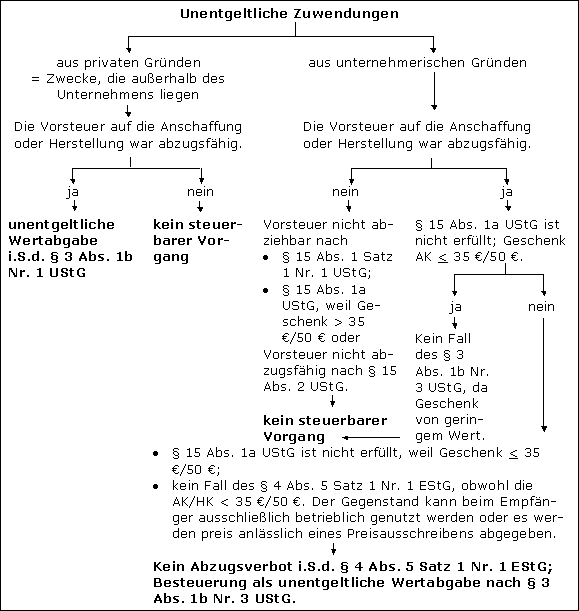
Die folgende Übersicht zeigt die Behandlung der unentgeltlichen Zuwendung (→ Unentgeltliche Wertabgabe).

Abb.: Die umsatzsteuerliche Behandlung der unentgeltlichen Zuwendungen
Laut Rspr. und Finanzverwaltung setzt dabei der Begriff »unentgeltliche Zuwendung« nicht lediglich die Unentgeltlichkeit einer Lieferung voraus, sondern verlangt darüber hinaus, dass der Zuwendende dem Empfänger zielgerichtet einen Vermögensvorteil verschafft; vgl. BFH vom 16.10.2013, XI R 39/12. Streitpunkt war, ob die Klägerin mit der kostenlosen bzw. verbilligten Überlassung von Geräten stpfl. unentgeltliche Wertabgaben i.S.d. § 3 Abs. 1b Satz 1 Nr. 3 UStG an die Kunden erbrachte. Der BFH folgte den tatsächlichen Feststellungen des FG, denen zufolge die Klägerin entgeltliche Gerätelieferungen an die Kunden erbrachte. Der Gerätebonus des Mobilfunkanbieters war nach diesem Verständnis das von dritter Seite dafür gezahlte Entgelt. In diesem Fall liegt keine umsatzsteuerbare unentgeltliche Wertabgabe i.S.d. § 3 Abs. 1b Satz 1 Nr. 3 UStG des Vermittlers von Mobilfunkverträgen an den Kunden vor.
2.2. Das Vorsteuerabzugsverbot des § 15 Abs. 1a UStG
Bei der Anschaffung und Vermietung von Gegenständen i.S.d. § 4 Abs. 5 EStG sind die Voraussetzungen des in § 4 Abs. 5 EStG enthaltenen Abzugsverbots im Rahmen der jeweiligen Umsatzsteuerfestsetzung eigenständig zu prüfen; eine Bindung an die ertragsteuerrechtliche Behandlung besteht nicht. Entscheidend ist für das Vorsteuerabzugsverbot, dass der Unternehmer Aufwendungen tätigt, die ihrer Art nach unter § 4 Abs. 5 Satz 1 Nr. 1 bis 4 oder 7 EStG fallen. Solche Aufwendungen können auch dann zu einem Vorsteuerabzugsverbot führen, wenn § 4 Abs. 5 EStG bei dem Unternehmer ertragsteuerrechtlich keine Bedeutung hat (s. dazu das BFH Urteil vom 2.7.2008, XI R 60/06, BStBl II 2009, 167).
Dem Vorsteuerabzugsverbot des § 15 Abs. 1a UStG steht deshalb nicht entgegen, dass der Unternehmer wegen fehlender Gewinn-/Überschusserzielungsabsicht keine ertragsteuerrechtlich relevanten Einkünfte erzielt und somit ein Abzugsverbot weder für Gewinneinkünfte nach § 4 Abs. 5 EStG noch für Überschusseinkünfte nach § 9 Abs. 5 i.V.m. § 4 Abs. 5 EStG greift. Ebenso unerheblich ist die Qualifizierung der Aufwendungen als Betriebsausgaben oder als Werbungskosten.
Bei Unternehmern, für die § 4 Abs. 5 EStG ertragsteuerlich keine Bedeutung hat, weil sie keinen Gewinn zu ermitteln haben (z.B. gemeinnützige Einrichtungen, die gem. § 5 Abs. 1 Nr. 9 KStG von der KSt befreit sind), ist für Umsatzsteuerzwecke darauf abzustellen, ob die Aufwendungen ihrer Art nach unter das Abzugsverbot des § 4 Abs. 5 Satz 1 Nr. 1 bis 4 und Nr. 7 EStG fallen. Dabei ist grds. der gleiche Nachweis zu verlangen, der einkommensteuerrechtlich zu führen wäre (z.B. bei Bewirtungsaufwendungen). S.a. das BMF-Schreiben vom 5.11.1999 (BStBl I 1999, 964); nur noch anzuwenden für Tatbestände vor 1.1.2005, da nicht in Positivliste von BMF 29.3.2007, BStBl I 2007, 369).
Liegt eine Überschusserzielungsabsicht bzgl. einer Yachtvercharterung nicht vor, ist der Vorsteuerabzug aus den laufenden und den Anschaffungskosten für die Yacht nach § 15 Abs. 1a Satz 1 UStG i.V.m. § 4 Abs. 5 Satz 1 Nr. 4, Satz 2 EStG ausgeschlossen, unabhängig davon, ob § 4 Abs. 5 EStG ertragsteuerlich zur Anwendung kommt oder nicht; vgl. FG Hamburg vom 25.6.2015, 6 K 222/14.
Beschenkt der Unternehmer einen seiner eigenen ArbN und stellt das Geschenk bei diesem eine nicht zum Arbeitslohn gehörende Aufmerksamkeit dar, ist der Vorsteuerabzug in voller Höhe zulässig. Aufmerksamkeiten sind
-
Sachzuwendungen an ArbN oder deren Angehörige,
-
die nach ihrer Art und ihrem Wert üblichen Gelegenheitsgeschenken entsprechen und
-
zu keiner ins Gewicht fallenden Bereicherung führen (vgl. BFH vom 22.3.1985, VI R 26/82).
2.3. Änderung der Bemessungsgrundlage i.S.d. § 17 Abs. 2 Nr. 5 UStG
Die Anwendung des § 3 Abs. 1b Nr. 3 UStG und die Vorsteuerkorrektur des § 17 Abs. 2 Nr. 5 UStG wird in der Literatur kontrovers diskutiert. Es zeigt sich dabei, dass es hier eine nicht abgestimmte Konkurrenz zwischen § 3 Abs. 1b Nr. 3 UStG, § 15 Abs. 1a UStG und § 17 Abs. 2 Nr. 5 UStG in derartigen Fällen.
Nach § 17 Abs. 2 Nr. 5 UStG ist der Vorsteuerabzug rückgängig zu machen, wenn ein Unternehmer Aufwendungen i.S.v. § 15 Abs. 1a UStG tätigt. Die Anwendung des § 17 Abs. 2 Nr. 5 UStG setzt deshalb voraus, dass
-
die Vorsteuer in einem Voranmeldungszeitraum abziehbar (kein § 15 Abs. 1a UStG) und abzugsfähig ist und
-
in einem anderen Voranmeldungszeitraum die Vorsteuer nicht abziehbar wird (§ 15 Abs. 1a UStG ist gegen).
Im umgekehrten Fall, dass
-
die Vorsteuer in einem Voranmeldungszeitraum nicht abziehbar ist (§ 15 Abs. 1a UStG ist gegeben) und
-
in einem anderen Voranmeldungszeitraum die Vorsteuer abziehbar und abzugsfähig wird
ist § 17 Abs. 2 Nr. 5 UStG nicht anwendbar. Erläuterungen dazu s.u.
Hauptanwendungsfall dürften die Geschenke an Personen sein, die nicht ArbN des Unternehmers sind (§ 4 Abs. 5 Satz 1 Nr. 1 EStG).
Maßgeblich für den Vorsteuerabzug ist die tatsächliche Verwendung bzw. die Verwendungsabsicht bei Leistungsbezug (Abschn. 15.12 Abs. 1 UStAE; → Vorsteuerabzug). Absichtsänderungen wirken nicht zurück und führen deshalb z.B. nicht dazu, dass Steuerbeträge nachträglich als Vorsteuer abziehbar sind (Abschn. 15.12 Abs. 1 Satz 16 UStAE; vgl. auch BFH vom 25.11.2004, V R 38/03). Die Anwendung des § 17 UStG führt allerdings dazu, dass ein Ereignis eintritt, das in die Vergangenheit wirkt, und damit zu einer Änderung der Bemessungsgrundlage u.a. für den Vorsteuerabzug führt.
Hinsichtlich der Anwendung der §§ 15 Abs. 1a, 3 Abs. 1b Satz 1 Nr. 3 und 17 Abs. 2 Nr. 5 UStG ist im Voranmeldungszeitraum der Anschaffung/Herstellung des WG folgende Prüfung vorzunehmen (siehe hierzu auch Abschn. 3.3 Abs. 10 bis 12 UStAE:
|
Handelt es sich bei dem angeschafften/hergestellten Wirtschaftsgut um ein Geschenk i.S.d. § 4 Abs. 5 Satz 1 Nr. 1 EStG? |
|||
|
ja, da als Geschenk vorgesehen, § 4 Abs. 5 Satz 1 Nr. 1 EStG erfüllt |
nein, z.B. Wirtschaftsgut des Anlagevermögens oder Ware |
||
|
geringer Wert bis max. 35 €/50 € |
kein geringer Wert (Wert über 35 €/50 €) |
Im Zeitpunkt der Anschaffung/Herstellung des WG kann § 4 Abs. 5 Satz 1 Nr. 5 EStG und § 15 Abs. 1a UStG nicht zur Anwendung kommen. |
|
|
Kein Abzugsverbot i.S.d. § 4 Abs. 5 Satz 1 Nr. 1 EStG |
Gegenstand kann beim Empfänger ausschließlich betrieblich genutzt werden (R 4.10 Abs. 2 Satz 4 EStR) |
||
|
ja |
nein |
||
|
Kein Abzugsverbot i.S.d. § 4 Abs. 5 Satz 1 Nr. 1 EStG |
Abzugsverbot i.S.d. § 4 Abs. 5 Satz 1 Nr. 1 EStG |
||
|
Ertragsteuerrechtlich stellt der Aufwand in voller Höhe Betriebsausgaben dar. |
Ertragsteuerrechtlich stellt der Aufwand in voller Höhe Betriebsausgaben dar. |
Ertragsteuerrechtlich ist der Betriebsausgabeabzug rückgängig zu machen. |
Ertragsteuerrechtlich stellt der Aufwand entweder in voller Höhe Betriebsausgaben dar oder es ist AfA vorzunehmen. |
|
Die Vorsteuer auf die Anschaffungskosten ist abziehbar und abzugsfähig (§ 15 UStG erfüllt). |
Die Vorsteuer auf die Anschaffungskosten ist abziehbar und abzugsfähig (§ 15 UStG erfüllt). |
Die Vorsteuer auf die Anschaffungskosten ist nicht abziehbar. |
Die Vorsteuer auf die Anschaffungskosten ist unter den weiteren Voraussetzungen des § 15 UStG abziehbar und abzugsfähig. |
|
§ 15 Abs. 1a UStG ist nicht anwendbar. |
§ 15 Abs. 1a UStG ist nicht anwendbar. |
§ 15 Abs. 1a UStG ist anwendbar. |
§ 15 Abs. 1a UStG ist nicht anwendbar. |
|
Umsatzsteuerliche Behandlung der Schenkung |
|||
|
Für die Schenkung ist § 3 Abs. 1b Satz 1 Nr. 3 UStG nicht anwendbar, da Geschenk von geringem Wert. |
Es handelt sich um eine unentgeltliche Wertabgabe i.S.d. § 3 Abs. 1b Satz 1 Nr. 3 UStG (Abschn. 3.3 Abs. 12 Satz 6 UStAE). |
Kein Fall des § 3 Abs. 1b Satz 1 Nr. 3 UStG. Nach Satz 2 ist Voraussetzung, dass der Vorsteuerabzug möglich war. |
Es handelt sich um eine unentgeltliche Wertabgabe i.S.d. § 3 Abs. 1b Satz 1 Nr. 3 UStG (Abschn. 3.3 Abs. 12 Satz 6 UStAE). |
|
Der Vorsteuerabzug bleibt erhalten. |
Der Vorsteuerabzug bleibt erhalten. |
§ 3 Abs. 1b Satz 1 Nr. 3 UStG geht der Anwendung des § 17 Abs. 2 Nr. 5 UStG vor. Nur wenn § 3 Abs. 1b Satz 1 Nr. 3 UStG nicht zur Anwendung kommt, findet § 17 Abs. 2 Nr. 5 UStG Anwendung. |
|

Abb.: Konkurrenz zwischen den §§ 15 Abs. 1a, 17 Abs. 2 Nr. 5 und 3 Abs. 1b Nr. 3 UStG
Beispiel 8:
Unternehmer U erwirbt im Voranmeldungszeitraum Januar 2022 Gegenstände, die als Geschenke an Geschäftsfreunde vorgesehen sind. Der Wert der einzelnen Gegenstände beträgt 50 € zzgl. 9,50 € USt. Einen Teil der Gegenstände verschenkt U noch im Monat Januar, die übrigen Geschenke werden in den folgenden Voranmeldungszeiträumen verschenkt. Im Voranmeldungszeitraum November 2022 verwendet U einen Gegenstand tatsächlich vorsteuerunschädlich in seinem Unternehmen (z.B. Einsatz als Büroartikel im Büro).
Lösung 8:
Im Zeitpunkt der Anschaffung der Geschenke im Voranmeldungszeitraum Januar tätigt U Aufwendungen, die unter das Abzugsverbot des § 4 Abs. 5 Satz 1 Nr. 1 EStG fallen. Die Vorsteuer ist im Zeitpunkt der Anschaffung nach § 15 Abs. 1a UStG nicht abziehbar. Auch für die noch nicht verschenkten Gegenstände ist die Vorsteuer im Januar nicht abziehbar, da hierfür die vorsteuerschädliche Verwendung vorgesehen ist.
Da U im November einen Gegenstand entgegen der ursprünglichen Absicht tatsächlich vorsteuerunschädlich verwendet, stellt sich die Frage, ob U nachträglich den Vorsteuerabzug dafür beanspruchen kann.
Lang in Weimann/Lang, Umsatzsteuer – national und international, USt-Kommentar, 2. A., § 17 S. 990, 991, ist der Auffassung, dass § 17 Abs. 2 Nr. 5 UStG analog angewendet werden kann. Meiner Auffassung nach ist § 17 Abs. 2 Nr. 5 UStG allerdings nur dann anwendbar, wenn ein Vorsteuerabzug rückgängig gemacht wird, weil Aufwendungen i.S.d. § 15 Abs. 1a UStG getätigt werden. Ein Vorsteuerabzug ist allerdings nicht zu korrigieren, wenn bisherige Aufwendungen i.S.d. § 15 Abs. 1a UStG in vorsteuerabziehbare Aufwendungen umqualifiziert werden.
M.E. ist § 17 Abs. 2 Nr. 5 UStG nicht analog anzuwenden, da der Unternehmer beim Leistungsbezug sich für eine Verwendung des Gegenstandes im Rahmen des § 4 Abs. 5 Satz 1 Nr. 1 EStG entschieden hatte. Diese Verwendungsabsicht wirkt »wie eine private Verwendung«, da keine Betriebsausgaben abgezogen werden dürfen. Wie der BFH mit Urteil vom 25.11.2004 (V R 38/03, BStBl II 2005, 414) entschieden hat, ist für die Entstehung und den Umfang des Rechts auf Vorsteuerabzug aus Rechnungen über Eingangsleistungen bei richtlinienkonformer Anwendung von § 15 Abs. 1 und 2 UStG maßgebend, ob der Stpfl. die durch objektive Anhaltspunkte belegte Absicht hatte, mit den Investitionsausgaben Umsätze auszuführen, für die der Vorsteuerabzug zugelassen ist (vgl. EuGH Urteil vom 8.6.2000, C-400/98, Breitsohl, BStBl II 2003, 452).
Da das Recht auf Vorsteuerabzug nach Art. 167 MwStSystRL entsteht, wenn der Anspruch auf die abziehbare Steuer entsteht, d.h. mit der Lieferung eines Gegenstands oder der Ausführung einer Dienstleistung an den vorsteuerabzugsberechtigten Stpfl. muss nach der vorbezeichneten Rspr. die Absicht, die Eingangsleistungen zur Ausführung stpfl. Umsätze zu verwenden, im Zeitpunkt des Bezugs der Leistungen vorliegen. Im Ausgangsfall fehlt es an Anhaltspunkten, dass U bei Bezug der Leistung beabsichtigt hatte, die als Geschenke erworbenen Gegenstände zur Ausführung stpfl. Umsätze zu verwenden.
Der Entschluss des U, die Gegenstände nachträglich für stpfl. Ausgangsumsätze zu verwenden, stellt eine Absichtsänderung dar. Absichtsänderungen wirken nicht zurück. Deshalb führen sie nicht dazu, dass die für die im Voranmeldungszeitraum Januar empfangenen Eingangsleistungen berechneten Steuerbeträge nachträglich als Vorsteuer abziehbar sind (vgl. auch BFH Urteil vom 16.5.2002, V R 56/00, BFH/NV 2002, 1265).
M.E ist der Fall analog einer Nutzungsänderung von der Privatnutzung hin zur unternehmerischen Nutzung zu lösen. Wird nämlich ein Gegenstand später unternehmerisch genutzt (die Vorsteuer wird danach abziehbar nach § 15 Abs. 1 UStG), ist eine Vorsteuerberichtigung zugunsten des Unternehmers nach § 15a UStG nicht zulässig (Abschn. 15.2 Abs. 21 Nr. 2 Satz 11 Buchst. b Satz 6 UStAE). Eine Vorsteuerberichtigung ist nur möglich, wenn und soweit die bezogenen Leistungen im Zeitpunkt des Leistungsbezugs dem Unternehmen zugeordnet wurden (Abschn. 15a.1 Abs. 6 UStAE).
Die Vorsteuerberichtigung des § 15a UStG korrigiert die abzugsfähige bzw. nicht abzugsfähige Vorsteuer i.S.d. § 15 Abs. 2 und 3 UStG. Sie berücksichtigt nicht die nicht abziehbare Vorsteuer i.S.d. § 15 Abs. 1 UStG (Abschn. 15a.1 Abs. 5 UStAE). Durch eine Nutzungsänderung (ertragsteuerrechtliche Einlage) tritt keine Vorsteuerkorrektur i.S.d. § 15a UStG ein (Abschn. 15a.1 Abs. 6 UStAE).
Der Ausgangsfall ist mit folgendem Fall vergleichbar:
U erwirbt einen Pkw für 50 000 € zzgl. 9 500 € USt. Er ordnet den Pkw seinem Privatvermögen zu. Die Vorsteuer i.H.v. 9 500 € ist gem. § 15 Abs. 1 UStG nicht abziehbar. Wird der Pkw später für unternehmerische Zwecke verwendet, ist § 15a UStG nicht anwendbar (Abschn. 15a.1 Abs. 6 Satz 2 Nr. 2 UStAE). Die Vorsteuer im Zusammenhang mit den Pkw-Kosten ab der Einlage ist unter den weiteren Voraussetzungen des § 15 UStG abzugsfähig.
Hätte der Unternehmer U, statt den Pkw einzulegen, einen neuen Pkw für unternehmerische Zwecke erworben, stünde ihm der Vorsteuerabzug auf die Anschaffungskosten zu.
Übertragen auf den Ausgangsfall bedeutet diese, dass der Vorsteuerabzug für den im Büro eingesetzten Gegenstand dann gewährt werden kann, wenn U einen neuen Gegenstand erwirbt, den er für unternehmerische Zwecke entsprechend einzusetzen beabsichtigt.
Die Vorsteuer im Ausgangsfall kann m.E. nur unter den in Abschn. 15.12 Abs. 5 UStAE genannten Voraussetzungen nach abgabenrechtlichen Vorschriften korrigiert werden. Dabei muss aber später festgestellt werden, dass objektive Anhaltspunkte für die Verwendungsabsicht im Zeitpunkt des Leistungsbezugs nicht vorlagen.
Beispiel 9:
Unternehmer U erwirbt im Voranmeldungszeitraum Januar 2022 Gegenstände in der Absicht, sie in seinem Unternehmen zur Ausführung von Abzugsumsätzen einzusetzen. Der Wert der einzelnen Gegenstände beträgt 50 € zzgl. 9,50 € USt. Im Voranmeldungszeitraum November 2022 verschenkt U einen Gegenstand an einen Geschäftsfreund.
Lösung 9:
Im Zeitpunkt der Anschaffung des Gegenstandes finden § 4 Abs. 5 Satz 1 Nr. 1 EStG und somit auch § 15 Abs. 1a UStG keine Anwendung. Im Besteuerungszeitraum des erstmaligen Vorsteuerabzugs entscheidet sich der Vorsteuerabzug nach der geplanten Verwendung (Zuordnungsentscheidung, Abschn. 15.2c Abs. 2 UStAE). Da U zu diesem Zeitpunkt eine Verwendung im eigenen Unternehmen plant (und auch tatsächlich durchführt), kann er die Vorsteuer nach § 15 Abs. 1 UStG geltend machen. Die Vorsteuer ist abziehbar und abzugsfähig. Die spätere tatsächlich anderweitige Nutzung führt aber nicht nachträglich zur Anwendung des § 15 Abs. 1a UStG; die Vorsteuer bleibt abziehbar.
Es handelt sich um eine unentgeltliche Wertabgabe i.S.d. § 3 Abs. 1b Satz 1 Nr. 3 UStG (Abschn. 3.3 Abs. 11 Satz 6 UStAE). Eine Vorsteuerkorrektur nach § 17 Abs. 2 Nr. 5 UStG ist in diesem Fall nicht durchzuführen
Beispiel 10:
Uhrenhändler U schenkt seinem Geschäftskunden B im April 2022 eine Uhr aus seinem Warenbestand. Die Uhr hatte U im Dezember 2021 für 25 € zzgl. 4,75 € USt eingekauft. Im Dezember 2022 erhält B von U aus Anlass des Weihnachtsfestes ein Weinpräsent, das U im Dezember 2022 für 35 € zzgl. 6,65 € USt gekauft hatte.
Lösung 10:
S.a. Beispiel in Abschn. 15.6 Abs. 5 UStAE.
Steht im Zeitpunkt des Erwerbs oder der Herstellung eines Gegenstands seine Verwendung als Geschenk noch nicht fest, kann der Vorsteuerabzug zunächst unter den allgemeinen Voraussetzungen des § 15 UStG beansprucht werden. Im Zeitpunkt der Hingabe des Geschenks ist eine Vorsteuerkorrektur nach § 17 Abs. 2 Nr. 5 UStG vorzunehmen, wenn die Freigrenze von 35 € überschritten wird.
Im Zeitpunkt der Anschaffung des Gegenstandes finden § 4 Abs. 5 Satz 1 Nr. 1 EStG und somit auch § 15 Abs. 1a UStG keine Anwendung. Im Besteuerungszeitraum des erstmaligen Vorsteuerabzugs entscheidet sich der Vorsteuerabzug nach der geplanten Verwendung. Da U zu diesem Zeitpunkt eine Verwendung im eigenen Unternehmen plant (und auch tatsächlich durchführt), kann er die Vorsteuer nach § 15 Abs. 1 UStG geltend machen. Die Vorsteuer ist abziehbar und abzugsfähig. Die spätere tatsächlich anderweitige Nutzung führt aber nicht nachträglich zur Anwendung des § 15 Abs. 1a UStG; die Vorsteuer bleibt abziehbar.
Im Normalfall würde es sich um eine unentgeltliche Wertabgabe i.S.d. § 3 Abs. 1b Satz 1 Nr. 3 UStG (Abschn. 3.3 Abs. 11 Satz 6 UStAE) handeln. Da aber wegen der Geringfügigkeitsgrenze von 35 € § 3 Abs. 1b Satz 1 Nr. 3 UStG nicht zur Anwendung kommt, bleibt der Vorsteuerabzug bei der Schenkung im April weiterhin bestehen.
Durch das zweite Geschenk im Dezember i.H.v. 35 € wird auch das erste Geschenk im April i.H.v. 25 € zu einem Geschenk i.S.d. § 4 Abs. 5 Satz 1 Nr. 1 EStG mit einem Gesamtwert an einen Erwerber von über 35 €. Da für das erste Geschenk der Vorsteuerabzug noch nicht durch die unentgeltliche Wertabgabe nach § 3 Abs. 1b Satz 1 Nr. 3 UStG korrigiert wurde, ist in diesem Fall im Dezember 2022 eine Änderung gem. § 17 Abs. 2 Nr. 5 UStG vorzunehmen.
Im Voranmeldungszeitraum Dezember 2022 stellen die Anschaffungskosten für das zweite Geschenk Aufwendungen dar, die unter § 4 Abs. 5 Satz 1 Nr. 1 EStG fallen, da die Geschenke an einen Geschäftsfreund insgesamt 35 € übersteigen. Da im Zeitpunkt der Anschaffung die Aufwendungen nicht als Betriebsausgaben berücksichtigt werden können, ist auch in diesem Voranmeldungszeitraum die Vorsteuer nach § 15 Abs. 1a UStG nicht abziehbar. Eine unentgeltliche Wertabgabe i.S.d. § 3 Abs. 1b UStG liegt nach Satz 2 nicht vor, da der Gegenstand nicht zum Vorsteuerabzug berechtigt hat.
Beispiel 11:
Automobilhändler A verlost unter allen Kunden im Rahmen einer Werbeaktion im Kj. 2022
-
einen Laptop und
-
eine Konzertkarte, mit einem Einkaufspreis von jeweils 300 €, die er beide zu diesem Zweck vorher gekauft hat.
Lösung 11:
Zu a) Die Abgabe des Laptops erfolgt aus unternehmerischen Gründen und fällt der Art nach unter § 3 Abs. 1b Satz 1 Nr. 3 UStG; es handelt sich nicht um ein Geschenk von geringem Wert (vgl. Abschnitt 3.3 Abs. 11 und 12). Da A bereits bei Leistungsbezug beabsichtigt, den Laptop für die Verlosung, also die Erbringung einer unentgeltlichen Wertabgabe, zu verwenden, berechtigten die Aufwendungen für den Laptop bereits nach § 15 Abs. 1 UStG nicht zum Vorsteuerabzug (Abschnitt 15.2b Abs. 2 Satz 5). Dementsprechend unterbleibt eine anschließende Wertabgabenbesteuerung (§ 3 Abs. 1b Satz 2 UStG).
Zu b) Die Abgabe der Konzertkarte erfolgt aus unternehmerischen Gründen und ist daher ein der Art nach nicht steuerbarer Vorgang, da § 3 Abs. 9a UStG Wertabgaben aus unternehmerischen Gründen nicht erfasst. Ein Geschenk i.S.d. § 4 Abs. 5 Satz 1 Nr. 1 EStG und damit ein Fall des § 15 Abs. 1a UStG liegt nicht vor, da die Abgabe im Rahmen einer Verlosung erfolgt (vgl. R 4.10 Abs. 4 Satz 5 Nr. 3 EStR). Da es an einem steuerbaren Ausgangsumsatz fehlt, dem der Leistungsbezug direkt und unmittelbar zugeordnet werden kann, ist für den Vorsteuerabzug die Gesamttätigkeit des A maßgeblich.
Beispiel 12:
Uhrenhändler U schenkt seinem Geschäftskunden B im April 2022 eine Uhr aus seinem Warenbestand. Die Uhr hatte U im Dezember 2021 für 50 € zzgl. 9,50 € USt eingekauft. Im Dezember 2022 erhält B von U aus Anlass des Weihnachtsfestes ein Weinpräsent, das U im Dezember 2022 für 35 € zzgl. 6,65 € USt gekauft hatte.
Lösung 12:
Im Zeitpunkt der Anschaffung des Gegenstandes finden § 4 Abs. 5 Satz 1 Nr. 1 EStG und somit auch § 15 Abs. 1a UStG keine Anwendung. Im Besteuerungszeitraum des erstmaligen Vorsteuerabzugs entscheidet sich der Vorsteuerabzug nach der geplanten Verwendung (Zuordnungsentscheidung, Abschn. 15.2 Abs. 21 und Abschn. 15.12 Abs. 3 Satz 7 UStAE). Da U zu diesem Zeitpunkt eine Verwendung im eigenen Unternehmen plant (und auch tatsächlich durchführt), kann er die Vorsteuer nach § 15 Abs. 1 UStG geltend machen. Die Vorsteuer ist abziehbar und abzugsfähig. Die spätere tatsächlich anderweitige Nutzung führt aber nicht nachträglich zur Anwendung des § 15 Abs. 1a UStG; die Vorsteuer bleibt abziehbar.
Bei der Schenkung im April handelt es sich um eine unentgeltliche Wertabgabe i.S.d. § 3 Abs. 1b Satz 1 Nr. 3 UStG (Abschn. 3.3 Abs. 11 Satz 6 UStAE). § 17 Abs. 2 Nr. 5 UStG kommt in diesem Fall nicht zur Anwendung.
Im Voranmeldungszeitraum Dezember 2022 stellen die Anschaffungskosten für das zweite Geschenk Aufwendungen dar, die unter § 4 Abs. 5 Satz 1 Nr. 1 EStG fallen, da die Geschenke an einen Geschäftsfreund insgesamt 35 € übersteigen. Da im Zeitpunkt der Anschaffung die Aufwendungen nicht als Betriebsausgaben berücksichtigt werden können, ist auch in diesem Voranmeldungszeitraum die Vorsteuer nach § 15 Abs. 1a UStG nicht abziehbar. Eine unentgeltliche Wertabgabe i.S.d. § 3 Abs. 1b UStG liegt nach Satz 2 nicht vor, da der Gegenstand nicht zum Vorsteuerabzug berechtigt hat.
2.4. Die Steuerbefreiung des § 4 Nr. 28 UStG
Steuerfrei sind die Lieferungen von Gegenständen, für die der Vorsteuerabzug nach § 15 Abs. 1a Nr. 1 UStG ausgeschlossen ist oder wenn der Unternehmer die gelieferten Gegenstände ausschließlich für eine nach den Nrn. 8 bis 27 steuerfreie Tätigkeit verwendet.
Liefert der Unternehmer Gegenstände, für die er den Vorsteuerabzug nach § 15 Abs. 1a UStG nicht in Anspruch nehmen konnte, sind diese Lieferungen in die Bemessung des Gesamtumsatzes nach § 19 Abs. 3 Nr. 1 i.V.m. § 4 Nr. 28 UStG nicht einzubeziehen. Dies gilt auch, wenn das Unternehmen erst durch die Veräußerungstätigkeit entsteht; vgl BFH vom 26.9.2019, V R 1/17.
Beispiel 13:
Der Unternehmer schafft 100 Geschenke zu je 50 € zzgl. 9,50 € USt an. Da die Freigrenze von 35 € für das einzelne Geschenk überschritten ist, ist die Vorsteuer i.H.v. von 9,50 € × 100 = 950 € nach § 15 Abs. 1a Nr. 1 UStG nicht abziehbar. Ertragsteuerrechtlich sind die BA um 5 950 € zu korrigieren. Nach § 12 Nr. 3 EStG dürfen Vorsteuerbeträge auf Aufwendungen, für die das Abzugsverbot des § 4 Abs. 5 Satz 1 Nr. 1 bis 5, 7 oder Abs. 7 EStG gilt, den Gewinn nicht mindern.
Die Hingabe der Geschenke an Geschäftsfreunde wird nicht von § 3 Abs. 1b Nr. 3 UStG (Lieferung) erfasst, da die Anschaffung der Gegenstände nicht zum Vorsteuerabzug berechtigt hat.
Umsatzsteuerrechtlich sind nach § 15 Abs. 1a Nr. 1 UStG die gesamten Vorsteuerbeträge nicht abziehbar. Werden nun einige dieser »Geschenke« gegen Entgelt an Kunden veräußert, so handelt es sich um eine steuerbare Lieferung i.S.d. § 1 Abs. 1 Nr. 1 i.V.m. § 3 Abs. 1 UStG. Da für die Anschaffung dieser Gegenstände der Vorsteuerabzug ausgeschlossen war, sind diese Lieferungen nach § 4 Nr. 28 UStG von der USt befreit.
3. Literaturhinweise
Gummels, Geschenke an Arbeitnehmer und Geschäftspartner, NWB 24/2024, 1645.
4. Verwandte Lexikonartikel
→ Betriebsveranstaltungen ab VZ 2015
Redaktioneller Hinweis:
Steuerspar-Tipps, wichtige Fristen und Termine – alles im Blick.
Zum Newsletter anmelden