Vorsteuerberichtigung
Das Wichtigste in Kürze
- In Fällen, in denen ein Berichtigungszeitraum besteht, ist die Berichtigung für das einzelne Folgejahr im Grundsatz erst bei der Jahresveranlagung des betreffenden Folgejahrs vorzunehmen.
- Insbesondere in der Immobilienwirtschaft ist die Vorsteuerberichtigung bei zum Teil umsatzsteuerpflichtig und nicht umsatzsteuerpflichtig vermieteten Immobilien (sog. Gemischt genutzte Immobilien) von Bedeutung.
- Es handelt sich dabei um einen Sonderfall, dass es hier bei einer Änderung der Vermietungsverhältnisse im Besteuerungszeitraum zu nicht unerheblichen steuerlichen Auswirkungen kommen kann.
Inhaltsverzeichnis
1 Rechtsrahmen bezüglich der Berichtigung des Vorsteuerabzugs
1.1 EU-Recht
1.2 Nationales Recht
2 Keine Anwendung des § 15a UStG
2.1 Nationale Rechtslage
2.2 Auswirkung der EuGH-Entscheidung vom 25.7.2018 (C-140/17)
2.2.1 Grundsätzliches zur Anwendung
2.2.2 Anwendungsfälle und Entscheidungsgründe im Vergleich zur nationalen Regelung
2.2.3 EuGH-Rechtsprechung vom 25.7.2018:
2.2.4 Fazit
3 Die Vorsteuerberichtigung des § 15a UStG im Überblick
3.1 Berichtigungsgründe und Berichtigungsobjekte i.S.d. § 15a UStG
3.2 Anwendungsgrundsätze
3.3 Teilunternehmerische Verwendung für nichtwirtschaftliche Tätigkeiten i.e.S.
3.4 Verwendung i.S.d. § 15a UStG
3.5 Allgemeines zur Änderung der Verhältnisse
3.6 Übersicht über die Änderung der Verhältnisse und den Berichtigungszeitraum
3.7 Berichtigung nach verfahrensrechtlichen Vorschriften
3.8 Berechnung des Vorsteuerberichtigungsbetrags
3.9 Keine Änderung der Verhältnisse bei einer Geschäftsveräußerung
3.10 Änderung der Verhältnisse bei Einräumung eines Miteigentumsanteils an einem Grundstück
3.11 Nachträgliche Berufung auf Steuerfreiheit nach EU-Recht
3.12 Zusammenfassende Übersicht
4 Berichtigung nach § 15a Abs. 1 UStG
4.1 Betroffene Wirtschaftsgüter
4.2 Beginn und Dauer des Berichtigungszeitraums
4.2.1 Berichtigungszeitraum von fünf bzw. zehn Jahren
4.2.2 Kürzerer Berichtigungszeitraum
4.2.3 Beginn des Berichtigungszeitraums ab Verwendung des Wirtschaftsguts
4.2.3.1 Verwendung zur Erzielung von Umsätzen
4.2.3.2 Unentgeltliche Überlassung
4.2.4 Ende des Berichtigungszeitraums
4.2.4.1 Ende des Berichtigungszeitraums während eines Kalenderjahres
4.2.4.2 Ende des Berichtigungszeitraums innerhalb eines Kalendermonats (§ 45 UStDV)
4.2.4.3 Vorzeitiges Ende des Berichtigungszeitraums
4.3 Eigener Berichtigungszeitraum für nachträgliche Anschaffungs- oder Herstellungskosten
4.4 Ermittlung des Berichtigungsrahmens
4.5 Vorsteuerberichtigung bei erst späterer Vorsteuerabzugsberechtigung
4.6 Besonderheiten bei Grundstücken
4.7 Zusammenfassung
5 Berichtigung bei Wirtschaftsgütern, die nur einmalig zur Ausführung eines Umsatzes verwendet werden
5.1 Allgemeiner Überblick
5.2 Berichtigungsobjekt
5.3 Einmalige Verwendung der Gegenstände
5.4 Übersicht über die Änderung der Verhältnisse und den Berichtigungszeitraum
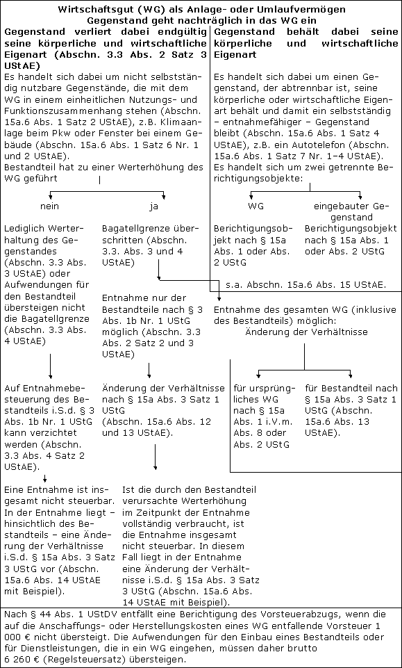
6 Berichtigung bei Gegenständen und sonstigen Leistungen, die nachträglich in ein Wirtschaftsgut eingehen
6.1 Allgemeine Anwendung des § 15a Abs. 3 UStG
6.2 Entnahme eines Wirtschaftsguts aus dem Unternehmen
6.3 Nutzungsänderungen und Veräußerungen
6.4 Vorsteuerberichtigung für sonstige Leistungen an einem Wirtschaftsgut
6.5 Zusammenfassung zu einem Berichtigungsobjekt
6.6 Änderung der Verhältnisse i.S.d. § 15a Abs. 3 Satz 3 UStG
7 Vorsteuerberichtigung gem. § 15a Abs. 4 UStG
7.1 Allgemeiner Überblick
7.2 Vorsteuerberichtigung nach § 15a Abs. 4 i.V.m. Abs. 1 UStG
7.3 Vorsteuerberichtigung nach § 15a Abs. 4 i.V.m. Abs. 2 UStG
7.4 Abgrenzung zwischen der Vorsteuerberichtigung nach Abs. 1 und Abs. 2
8 Vorsteuerberichtigung nach § 15a Abs. 6 UStG für nachträgliche Anschaffungs- oder Herstellungskosten
8.1 Allgemeiner Überblick
8.2 Nachträgliche Anschaffungs- und Herstellungskosten bei Gebäuden
9 Änderung der Verwendung i.S.d § 15 Abs. 1b UStG (§ 15a Abs. 6a UStG)
10 Änderung der Verhältnisse beim Wechsel der Besteuerungsform (§ 15a Abs. 7 UStG)
11 Nutzungsänderung durch Veräußerung oder unentgeltliche Wertabgabe (§ 15a Abs. 8 und 9 UStG)
11.1 Allgemeine Grundsätze
11.2 Besonderheiten bei Anwendung des § 24 UStG
12 Geschäftsveräußerung und andere Formen der Rechtsnachfolge (§ 15a Abs. 10 UStG)
13 Vereinfachungen bei der Berichtigung des Vorsteuerabzugs (§ 44 UStDV)
13.1 Vorsteuern von mehr als 1 000 €
13.2 Gewichtige Nutzungsänderung i.S.d. § 44 Abs. 2 UStDV
13.3 Zeitpunkt der Vorsteuerberichtigung
14 Aufzeichnungspflichten
15 Auswirkungen der Vorsteuerberichtigung auf das Ertragsteuerrecht
16 Vorsteuerberichtigung im Insolvenzfall
17 Überwachen und Erkennen von Fällen mit möglicher Vorsteuerberichtigung nach § 15a UStG
18 Literaturhinweise
19 Verwandte Lexikonartikel
1. Rechtsrahmen bezüglich der Berichtigung des Vorsteuerabzugs
1.1. EU-Recht
Die Berichtigung des Vorsteuerabzugs regeln die Art. 184 bis 192 der MwStSystRL.
Der ursprüngliche Vorsteuerabzug wird nach Art. 184 MwStSystRL berichtigt, wenn der Vorsteuerabzug höher oder niedriger ist als der, zu dessen Vornahme der Stpfl. berechtigt war. Die Berichtigung erfolgt nach Art. 185 Abs. 1 MwStSystRL insbes. dann, wenn sich die Faktoren, die bei der Bestimmung des Vorsteuerabzugsbetrags berücksichtigt werden, nach Abgabe der Mehrwertsteuererklärung geändert haben, z.B. bei rückgängig gemachten Käufen oder erlangten Rabatten.
Die Art. 187 bis 192 MwStSystRL schreiben für Investitionsgüter eine Berichtigung pro rata temporis über einen fünfjährigen Zeitraum vor (Art. 187 Abs. 1 MwStSystRL). Bei Grundstücken, die als Investitionsgut erworben wurden, kann der Zeitraum für die Berichtigung bis auf 20 Jahre verlängert werden (Art. 187 Abs. 1 Unterabs. 3 MwStSystRL). Die Berichtigung erfolgt entsprechend den Änderungen des Rechts auf Vorsteuerabzug, die in den folgenden Jahren gegenüber dem Recht für das Jahr eingetreten sind, in dem die Güter erworben, hergestellt oder gegebenenfalls erstmalig verwendet wurden.
1.2. Nationales Recht
Durch das EU-Richtlinien-Umsetzungsgesetz vom 9.12.2004 (BGBl I 2004, 3310) ist § 15a UStG neu gefasst worden. § 15a UStG setzt Art. 184 ff. MwStSystRL um. Die Vorschrift wurde neben der vollständigen Umsetzung des maßgeblichen EU-Rechts neu gegliedert. Die Neufassung gilt ab 1.1.2005 (§ 27 Abs. 11 UStG) und soll auf alle Vorsteuerbeträge angewendet werden, denen Umsätze zugrunde liegen, die nach dem 31.12.2004 ausgeführt werden. Das gilt auch für den Vorsteuerabzug aus Anzahlungen, soweit er vor dem 1.1.2005 in Anspruch genommen und die Leistung nach dem 31.12.2004 bezogen wird (Abschn. 27.1 Abs. 1 bis 3 UStAE).
Nach § 27 Abs. 12 UStG sind die Regelungen des § 15a Abs. 3 und 4 UStG auf alle dort bezeichneten Leistungen anzuwenden, die nach dem 31.12.2006 bezogen wurden oder in denen der Unternehmer vor dem 1.1.2007 eine Voraus- oder Anzahlung für eine nach dem 31.12.2006 bezogene Leistung geleistet hat.
Zur Berichtigung des Vorsteuerabzugs gem. § 15a UStG beachte auch das BMF-Schreiben vom 6.12.2005 (BStBl I 2005, 1068).
2. Keine Anwendung des § 15a UStG
2.1. Nationale Rechtslage
Eine Berichtigung des Vorsteuerabzugs ist nur möglich, wenn und soweit die bezogenen Leistungen im Zeitpunkt des Leistungsbezugs dem Unternehmen zugeordnet wurden (→ Unternehmensvermögen; Abschn. 15.2c UStAE). § 15a UStG ist daher insbesondere nicht anzuwenden, wenn (Abschn. 15a.1 Abs. 6 Satz 2 Nr. 1–5 UStAE)
-
ein Nichtunternehmer Leistungen bezieht und diese später unternehmerisch verwendet,
-
der Unternehmer ein WG oder eine sonstige Leistung im Zeitpunkt des Leistungsbezugs seinem nichtunternehmerischen Bereich zuordnet (Abschn. 15.2c UStAE) und das WG oder die sonstige Leistung später für unternehmerische Zwecke verwendet (→ Vorsteuerabzug),
-
an einem WG, das nicht dem Unternehmen zugeordnet wurde, eine Leistung i.S.d. § 15a Abs. 3 UStG ausgeführt wird, die ebenfalls nicht für das Unternehmen bezogen wird, und das WG später unternehmerisch verwendet wird,
-
nichtunternehmerisch genutzte Gebäudeteile als separater Gegenstand beim Leistungsbezug dem nichtunternehmerischen Bereich zugeordnet (→ Grundstücksumsätze, Umsatzsteuer) und später unternehmerisch genutzt werden (z.B. bei Umwandlung bisheriger Wohnräume in Büroräume),
-
der Unternehmer einen bezogenen Gegenstand zunächst zu weniger als 10 % für sein Unternehmen nutzt und die Leistung deshalb gem. § 15 Abs. 1 Satz 2 UStG als nicht für sein Unternehmen ausgeführt gilt und diese Grenze später überschritten wird (→ Vorsteuerabzug, → Unternehmensvermögen; Abschn. 15.2c Abs. 5 bis 7 UStAE).
Beispiel 1:
Unternehmer A (Regelbesteuerung) erwirbt am 10.5.07 einen Pkw für 50 000 € zzgl. 9 500 € USt. Er benutzt das Fahrzeug nachweislich in der Zeit vom 10.5.07 bis 31.12.07 nur zu 6 % für unternehmerische Zwecke. Im darauf folgenden Jahr nutzt er das Fahrzeug zu 20 % für unternehmerische Zwecke.
Lösung 1:
Die 9 500 € Vorsteuer sind gem. § 15 Abs. 1 Nr. 1 UStG nicht abziehbar. Da das Fahrzeug im Kj. der Anschaffung bzw. der erstmaligen Verwendung zu weniger als 10 % unternehmerisch genutzt worden ist, gehört es zum nicht unternehmerischen Bereich. Die Voraussetzung »Lieferung an das Unternehmen« liegt nicht vor (§ 15 Abs. 1 Satz 2 UStG). Bezüglich dieses Fahrzeuges kann weder ein Vorsteuerabzug noch in den Folgejahren eine Vorsteuerberichtigung geltend gemacht werden (Abschn. 15a.1 Abs. 6 Satz 2 Nr. 5 UStAE).
-
der Unternehmer sonstige Leistungen bezieht, die nicht an einem WG ausgeführt werden und daher nicht unter § 15a Abs. 3 Satz 1 UStG fallen (s.a. Abschn. 15a.7 Abs. 1 Satz 2 Nr. 1 bis 7 UStAE) und für die in der Steuerbilanz kein Aktivierungsgebot bestünde (§ 15a Abs. 4 Satz 2 UStG und Abschn. 15a.7 Abs. 3 UStAE). S.u. den Gliederungspunkt »Vorsteuerberichtigung gem. § 15a Abs. 4 UStG«.
Mit Urteil vom 2.6.2005 (C-378/02, UR 2005, 437) hat der EuGH entschieden, dass eine Einrichtung des öffentlichen Rechts, die im Rahmen der öffentlichen Gewalt und infolgedessen als Nichtsteuerpflichtiger Investitionsgüter erwirbt und diese später als Stpfl. veräußert, im Rahmen dieses Verkaufs kein Recht auf Berichtigung nach Art. 184 ff. MwStSystRL hat, um die beim Erwerb dieser Güter entrichtete Mehrwertsteuer in Abzug zu bringen (s. Abschn. 15a.1 Abs. 6 Satz 2 Nr. 1 UStAE).
2.2. Auswirkung der EuGH-Entscheidung vom 25.7.2018 (C-140/17)
2.2.1. Grundsätzliches zur Anwendung
Die Entscheidung des EuGH vom 25.7.2018 (C-140/17, UR 2018, 687, LEXinform 0651568) ist zwar zur Vorsteuerberichtigung i.S.d. Art. 184 MwStSystRL einer jPdöR ergangen, ist aber für andere Unternehmer oder auch Vereine anzuwenden (s.a. Widmann, UR 17/2018, 666 sowie Anmerkung 1 zum EuGH-Urteil C-140/17 von Küffner u.a., UR 17/2018, 692 sowie Anmerkung 2 von Sterzinger, UR 17/2018, 694; s.u. den Gliederungspunkt »Unternehmensvermögen nach einer Einlage«).
Entscheidungsgründe:
Eine Gemeinde ist gem. der Art. 167, 168, 184, 185 und 187 Abs. 2 Unterabs. 2 MwStSystRL sowie des Neutralitätsgrundsatzes zum Abzug der Vorsteuer im Wege einer Vorsteuerkorrektur auf ihre Investitionsausgaben berechtigt, wenn sie damit steuerpflichtige Umsätze ausführt. Dies gilt auch dann, wenn das hergestellte oder erworbene Investitionsgut anfangs für Zwecke genutzt wurde, die nicht der Besteuerung unterliegen, aber sich die Art der Nutzung des Investitionsguts innerhalb des Zeitraumes von Art. 187 MwStSystRL geändert hat und die Gemeinde es nunmehr auch für stpfl. Umsätze nutzt.
Dabei ist es nicht von Bedeutung, ob bereits im Zeitpunkt der Herstellung oder des Erwerbs eine Absicht zum Ausdruck gebracht wurde, diese künftig für stpfl. Umsätze nutzen zu wollen (s.a. Schlussantrag des Generalanwalts vom 19.4.2018, C-140/17, LEXinform 5215717).
2.2.2. Anwendungsfälle und Entscheidungsgründe im Vergleich zur nationalen Regelung
Fall 1:
Privatier P erwirbt am 1.7.08 einen Pkw für 40 000 € zzgl. 7 600 € USt ausschließlich für private Zwecke. Ab 1.7.10 wird der Pkw ausschließlich im neu gegründeten Unternehmen des P verwendet.
Fall 2:
Unternehmer P erwirbt am 1.7.11 ein Fahrrad für 4 000 € zzgl. 760 € USt, das zunächst ausschließlich privat verwendet wird. Ab 1.7.13 wird das Fahrrad ausschließlich dem ArbN A zusätzlich zum ohnehin geschuldeten Arbeitslohn zur Verfügung gestellt.
Fall 3:
Unternehmer P erwirbt am 1.7.12 einen Pkw für 50 000 € zzgl. 9 500 € USt, den er ausschließlich für unternehmerische Zwecke verwendet. Bei Anschaffung macht P zu Recht die in Rechnung gestellte USt i.H.v. 9 500 € als Vorsteuer geltend. Ab 1.7.14 wird der Pkw ausschließlich privat genutzt.
Stellungnahme zur nationalen Regelung:
Im Fall 1 und 2 ist nach der nationalen Regelung in Abschn. 15a.1 Abs. 6 Satz 2 Nr. 1 und 2 UStAE eine Vorsteuerberichtigung nicht möglich. Nach der Verwaltungsregelung besteht dann ein Verbot der »Einlagenentsteuerung«, wenn die bezogene Leistung im Zeitpunkt des Leistungsbezugs nicht dem Unternehmen zugeordnet wurde.
Im Fall 3 stellt die ausschließlich private Nutzung ab dem 1.7.14 eine unentgeltliche Wertabgabe i.S.d. § 3 Abs. 1b Satz 1 Nr. 1 UStG dar. Danach wird der ursprüngliche Vorsteuerabzug durch die Besteuerung einer unentgeltlichen Wertabgabe ausgeglichen.
Zwischenfazit:
Während bei einer erstmals nichtunternehmerischen Verwendung die folgende unternehmerische Verwendung (Einlage) nicht zu einer Vorsteuerberichtigung führt, führt im umgekehrten Fall bei einer erstmals unternehmerischen Verwendung die folgende nichtunternehmerische Verwendung zu einer Vorsteuerkorrektur.
2.2.3. EuGH-Rechtsprechung vom 25.7.2018:
Handelt der Erwerber zum Zeitpunkt des Erwerbs des Investitionsguts nicht als Steuerpflichtiger (Unternehmer), so hat er grundsätzlich kein Recht auf Berichtigung des Vorsteuerabzugs im Zusammenhang mit diesem Gegenstand, auch wenn dieser später einer besteuerten Tätigkeit zugeordnet wird (Rz. 37 des EuGH-Urteils vom 25.7.2018, C-140/17, UR 2018, 687 i.V.m. EuGH vom 2.6.2005, C-378/02, UR 2005, 437, Rz. 44; Abschn. 15a.1 Abs. 6 Satz 2 Nr. 1 UStAE).
Nach der EuGH-Rechtsprechung C-140/17 in Rz. 43 und 50 ist bei der Anschaffung des Investitionsguts zu prüfen, ob der Erwerber im Zeitpunkt des Erwerbs als Privatperson gehandelt hat (Fall 1) oder ob der Erwerber zum Zeitpunkt des Erwerbs bereits aus anderen Gründen für umsatzsteuerliche Zwecke registriert gewesen ist (Fall 2).
Hat der Erwerber beim Erwerb des Gegenstands als Steuerpflichtiger (Unternehmer) gehandelt, schließt allein eine in diesem Moment fehlende Zuordnung zum Unternehmen die erforderliche Verwendungsabsicht für wirtschaftliche Zwecke nicht aus (EuGH C-140/17, Rz. 47). Es ist ohne Bedeutung, dass der betreffende Gegenstand nicht unmittelbar für besteuerte Umsätze verwendet worden ist, da die Verwendung des Gegenstands nur den Umfang des Vorsteuerabzugs oder der etwaigen späteren Berichtigung bestimmt, jedoch nicht die Entstehung des Abzugsanspruchs berührt (EuGH vom 30.3.2006, C-184/04, UR 2006, 530, LEXinform 5210048, Rz. 39).
Die erstmalige Verwendung des Investitionsguts für außerunternehmerische Zwecke ist zunächst ein Indiz dafür, dass der Erwerber beim Erwerb des Gegenstands nicht als Stpfl. (Unternehmer) gehandelt hat (EuGH C-140/17, Rz. 52).
Dieses Indiz kann der Erwerber aber dadurch entkräften, dass der Gegenstand innerhalb des Vorsteuerberichtigungszeitraums für wirtschaftliche Zwecke verwendet wird und der Erwerber im Zeitpunkt des Erwerbs bereits aus anderen Gründen für umsatzsteuerliche Zwecke registriert ist (EuGH C-140/17, Rz. 53; s.a. Wäger in Birkenfeld/Wäger, Umsatzsteuer-Handbuch, Aktuell III/2018, VIII. Vorsteuerberichtigung, Rz. 52 ff., November 2018; Sterzinger, UStB 10/2018, 295).

2.2.4. Fazit
Nach dem EuGH-Urteil vom 25.7.2018 (C-140/17, UR 2018, 687, LEXinform 0651568) ist abzuwarten, ob und wie der nationale Gesetzgeber reagiert. Bestärkt durch die EuGH-Rechtsprechung ist es nicht nachvollziehbar, warum bei einer späteren Einlage innerhalb des Berichtigungszeitraums i.S.d. § 15a Abs. 1 UStG der anteilige Vorsteuerabzug ausgeschlossen sein soll, während bei einer späteren Entnahme der Vorsteuerabzug nach § 3 Abs. 1b Satz 1 Nr. 1 UStG korrigiert wird.
M.E. sollte das EuGH-Urteil C-140/17 zum Anlass genommen werden, Regelungen dahingehend zu schaffen, dass die Vorsteuerberichtigung auch dann vorgenommen werden kann, wenn ein Unternehmen das zunächst privat verwendete Investitionsgut später in sein Unternehmen einlegt (s.o. Fall 2).
Auch im Fall der unternehmerischen Mindestnutzung i.S.d. § 15 Abs. 1 Satz 2 UStG sollte eine spätere Vorsteuerberichtigung möglich sein (jetzt Abschn. 15a.1 Abs. 6 Satz 2 Nr. 5 UStAE).
Zu beachten gilt allerdings, dass eine Einlage aus dem Privatvermögen in das Unternehmensvermögen bisher nicht die Bedingungen für einen Vorsteuerabzug erfüllt, weil es an der Lieferung eines anderen Steuerpflichtigen fehlt (EuGH vom 11.7.1991, C-97/90, LEXinform 0120212). Die Berichtigung des Vorsteuerabzugs nach Art. 184 MwStSystRL kann kein Recht auf Vorsteuerabzug entstehen lassen, sondern ist allein darauf beschränkt, das Verfahren für die Berechnung der Berichtigung des Vorsteuerabzugs festzulegen.
3. Die Vorsteuerberichtigung des § 15a UStG im Überblick
3.1. Berichtigungsgründe und Berichtigungsobjekte i.S.d. § 15a UStG
Die nachfolgende Übersicht gibt einen Überblick über die Vorschrift des § 15a UStG (s.a. Abschn. 15a.2 Abs. 2 Nr. 1 bis 8 und Abschn. 15a.1 Abs. 2 Nr. 1 bis 6 UStAE).
|
Berichtigungsobjekte |
Vorschrift |
|
|
1. |
Wirtschaftsgüter, die nicht nur einmalig zur Ausführung von Umsätzen verwendet werden (Abschn. 15a.1 Abs. 2 Nr. 1 UStAE) |
§ 15a Abs. 1 und 5 UStG |
|
2. |
Wirtschaftsgüter, die nur einmalig zur Ausführung von Umsätzen verwendet werden (Abschn. 15a.1 Abs. 2 Nr. 2 UStAE) |
§ 15a Abs. 2 UStG |
|
3. |
Bestandteile, die in einen Gegenstand eingehen (Abschn. 15a.1 Abs. 2 Nr. 3 UStAE) |
§ 15a Abs. 3 UStG |
|
4. |
Sonstige Leistungen, die an einem Wirtschaftsgut ausgeführt werden und die im Zeitpunkt des Leistungsbezugs nicht wirtschaftlich verbraucht sind (Abschn. 15a.1 Abs. 2 Nr. 4 UStAE) |
§ 15a Abs. 3 UStG |
|
5. |
Sonstige Leistungen, die nicht an einem Wirtschaftsgut ausgeführt werden und für die in der Steuerbilanz ein Aktivposten gebildet werden muss (Abschn. 15a.1 Abs. 2 Nr. 5 UStAE) |
§ 15a Abs. 4 UStG |
|
6. |
Nachträgliche Anschaffungs- oder Herstellungskosten (Abschn. 15a.1 Abs. 2 Nr. 6 UStAE) |
§ 15a Abs. 6 UStG |
|
Änderung der Verhältnisse |
||
|
7. |
Änderung der Verwendung bei Grundstücken i.S.d. § 15 Abs. 1b UStG (Abschn. 15a.2 Abs. 2 Satz 3 Nr. 7 UStAE) |
§ 15a Abs. 6a UStG |
|
8. |
→ Wechsel der Besteuerungsform (Abschn. 15a.2 Abs. 2 Satz 3 Nr. 3 und 4 UStAE) |
§ 15a Abs. 7 UStG |
|
9. |
Veräußerung oder Entnahme eines Wirtschaftsguts (Abschn. 15a.2 Abs. 2 Satz 3 Nr. 2 UStAE) |
§ 15a Abs. 8 und 9 UStG |
|
10. |
Rechtsänderung nach dem Leistungsbezug mit Auswirkung auf die Beurteilung des Vorsteuerabzugs (EuGH vom 9.6.2016, C-332/14, DStR 2016, 1370, LEXinform 0589505; Nachfolgeentscheidung des BFH vom 10.8.2016, XI R 31/09, BStBl II 2022, 736) oder bei gesetzlichen Neuregelungen zur Vorsteueraufteilung nach § 15 Abs. 4 UStG |
Abschn. 15a.2 Abs. 2 Satz 3 Nr. 5 UStAE i.d.F. des BMF-Schreibens vom 20.10.2022, BStBl I 2022, 1497 |
|
11. |
Rechtlich unzutreffende Beurteilung des ursprünglichen Vorsteuerabzugs und die Steuerfestsetzung für das Jahr des Leistungsbezugs ist bestandskräftig und unabänderbar (s.a. OFD Karlsruhe vom 29.2.2016, S 7316 – Karte 3, UR 2016, 534, LEXinform 5236011) |
Abschn. 15a.2 Abs. 2 Satz 3 Nr. 6 UStAE |
|
12. |
Der Übergang von der allgemeinen Besteuerung zur Differenzbesteuerung oder umgekehrt aufgrund einer Erklärung nach § 25a Abs. 2 Satz 1 UStG (Abschn. 25a.1 Abs. 7 Satz 7 ff. UStAE) |
Abschn. 15a.2 Abs. 2 Satz 3 Nr. 8 UStAE |
|
Keine Änderung der Verhältnisse |
||
|
13. |
→ Geschäftsveräußerung i.S.d. § 1 Abs. 1a UStG (Abschn. 15a.2 Abs. 3 UStAE) |
§ 15a Abs. 10 UStG |
|
14. |
Einräumung des Miteigentumsanteils, wenn die bisherige eigenunternehmerische Nutzung den quotalen Miteigentumsanteil nicht übersteigt |
Abschn. 15a.2 Abs. 4 UStAE |
|
15. |
Die Eröffnung eines Insolvenzverfahrens bewirkt allein weder tatsächlich noch rechtlich eine Änderung in der Verwendung eines Berichtigungsobjekts (BFH Urteil vom 8.3.2012, V R 24/11, BStBl II 2012, 466). |
Abschn. 15a.2 Abs. 1 Satz 5 UStAE |
Abb.: Überblick über die Anwendung des § 15a UStG
3.2. Anwendungsgrundsätze
Voraussetzung für die Anwendung des § 15a UStG ist die Abziehbarkeit der Vorsteuer nach § 15 Abs. 1 Satz 1, Abs. 1a und Abs. 1b UStG; die Eingangsleistung muss dem unternehmerischen Teil zugeordnet werden – Stufe 1 des Vorsteuerabzugs – (s.a. Abschn. 15.2c und Abschn. 15a.1 Abs. 6 Satz 1 UStAE; → Unternehmensvermögen, → Vorsteuerabzug). Die Vorsteuerberichtigung setzt einen ursprünglichen Vorsteuerabzug voraus. Ein Vorsteuerabzug kann sich auch aus einer in der Steuererklärung nicht ausdrücklich angegebenen Saldierung der USt mit einem korrespondierenden Vorsteuerabzug nach § 15 Abs. 1 Satz 1 Nr. 3 oder 4 UStG ergeben (BFH vom 1.2.2022, V R 33/18, BStBl II 2022, 785; Abschn. 15a.1 Abs. 4 Satz 1 und 2 UStAE i.d.F. des BMF-Schreibens vom 22.11.2022, BStBl I 2022, 1595).
Ändert sich in den Folgejahren die unternehmerische Nutzung der Höhe nach und führt dies z.B. ertragsteuerrechtlich zu einer Einlage, ist eine Vorsteuerberichtigung zugunsten des Unternehmers nach § 15a UStG nicht zulässig (Abschn. 15.2c Abs. 4 Satz 4 i.V.m. Abschn. 15a.1 Abs. 6 UStAE; s.a. Beispiel 1).
Hinweis:
Zur »Einlagenentsteuerung« s.o. die Erläuterungen unter dem Gliederungspunkt »Auswirkung der EuGH-Entscheidung vom 25.7.2018 (C-140/17)«. Der EuGH hat mit Urteil vom 25.7.2018 (C-140/17, UR 2018, 687, LEXinform 0651568) zur Vorsteuerberichtigung für ein Investitionsgut, das zunächst nur für nichtbesteuerte Tätigkeiten genutzt wird (Vorsteuerberichtung nach einer Einlage) Stellung genommen.
Nach dem Wortlaut des § 15a Abs. 1 Satz 1 UStG und Abschn. 15a.1 Abs. 1 Satz 2 UStAE ist der Vorsteuerabzug zu berichtigen, wenn sich bei den Berichtigungsobjekten (s.u.) die für den ursprünglichen Vorsteuerabzug maßgebenden Verhältnisse ändern. Die Verhältnisse müssen sich auf der Stufe 2 des Vorsteuerabzugs ändern (→ Vorsteuerabzug). Eine Änderung der Verhältnisse i.S.d. § 15a UstG liegt z.B. vor, wenn sich auf Grund der tatsächlichen Verwendung nach § 15 Abs. 2 und 3 UstG ein höherer oder niedrigerer Vorsteuerabzug im Vergleich zum ursprünglichen Vorsteuerabzug ergibt (Abschn. 15a.2 Abs. 2 Satz 3 Nr. 1 UStAE). Eine Ausnahme von diesem Grundsatz stellt § 15a Abs. 6a UStG dar. Danach liegt eine Änderung der Verhältnisse vor, wenn sich die Verwendung eines Grundstücks i.S.d. § 15 Abs. 1b UStG ändert (s.u. und → Grundstücksumsätze, Umsatzsteuer).
Hinweis:
In Stufe 2 des Vorsteuerabzugs ist die abziehbare Vorsteuer in einen abzugsfähigen bzw. nichtabzugsfähigen Teil aufzuteilen (§ 15 Abs. 2 und 3 UStG; → Vorsteuerabzug unter dem Gliederungspunkt »Zusammenfassende Übersicht«).
Zu den Voraussetzungen der Vorsteuerberichtigung bei geänderter unternehmerischer Nutzung der Höhe nach für ein noch zu erstellendes gemischt genutztes Gebäude hat der BFH mit Beschluss vom 10.2.2021 (XI B 24/20, BFH/NV 2021, 549, LEXinform 4226570) die Verwaltungsregelung in Abschn. 15.2c Abs. 4 Satz 4 UStAE bestätigt, wonach eine Vorsteuerberichtigung i.S.d. § 15a UstG nicht anzuwenden ist, wenn der Unternehmer für ein WG die Nutzung für unternehmerische Zwecke erhöht (ertragsteuerrechtliche Einlage; Abschn. 15a.1 Abs. 6 Satz 2 Nr. 2 UStAE).
Entscheidungssachverhalt und Entscheidungsgründe:
Im Urteilsfall XI B 24/20 hat der Kläger im Zeitpunkt des jeweiligen Leistungsbezugs Kj. 07 bis 11 das noch zu erstellende Gebäude im Umfang von 67,72 % seinem nichtunternehmerischen Bereich (Privatvermögen) und im Umfang von 32,28 % seinem Unternehmen zugeordnet und für die Erzielung stpfl. Umsätze vorgesehen. Von der Möglichkeit, das Gebäude insgesamt dem Unternehmensvermögen zuzuordnen, hat er danach keinen Gebrauch gemacht. Die Zuordnung wurde in der Umsatzsteuerjahreserklärung für das Kj. 07 gegenüber dem FA eindeutig dokumentiert und von diesem bei Erlass des Umsatzsteuerbescheids entsprechend berücksichtigt. An dieser Zuordnung hat der Kläger auch in den jeweiligen Zeitpunkten des Bezugs von Lieferungen und Leistungen bis einschließlich des Kj. 11 festgehalten und dies gleichfalls in den betreffenden Steuererklärungen eindeutig dokumentiert.
Die vom Kläger erstmals im Kj. 12 gefasste und dokumentierte Absicht, weitere Räumlichkeiten des weiterhin noch zu erstellenden Gebäudes – nunmehr insgesamt 49 % der Gesamtfläche – unternehmerisch zu nutzen, betrifft das in den Kj. 07 bis 11 im jeweiligen Zeitpunkt des Leistungsbezugs im Umfang der vom Kläger getroffenen und dokumentierten Zuordnungsentscheidung entstandene Recht, Vorsteuer abzuziehen, nicht.
Aus dem vom Kläger in Bezug genommenen EuGH-Urteil vom 25.7.2018 (C-140/17, UR 2018, 687, LEXinform 0651568; s.o.) ergibt sich nichts anderes. Denn dort hatte die betreffende Gemeinde – anders als der Kläger im Streitfall nach Maßgabe seiner in den Kj. 07 bis 11 getroffenen Zuordnungsentscheidung – nicht ausdrücklich die Absicht bekundet, das Gebäude zu einem bestimmten Prozentsatz für eine besteuerte Tätigkeit nutzen zu wollen, aber auch nicht ausgeschlossen, dass dieser Gegenstand zu einem solchen Zweck genutzt werde. Gleiches gilt für die die Dokumentation der Ausübung des Zuordnungswahlrechts betreffenden EuGH-Vorlagen des BFH (vgl. BFH Beschlüsse vom 18.9.2019, XI R 3/19, BStBl II 2021, 112 und XI R 7/19, BStBl II 2021, 118; → Unternehmensvermögen unter dem Gliederungspunkt »Die Zuordnungsentscheidung«; s.a. die EuGH-Entscheidung dazu vom 14.10.2021, C-45/20, LEXinform 0651701). Auch dort hatten die Unternehmer nicht erklärt, den Gegenstand zu einem bestimmten Prozentsatz dem Unternehmensvermögen zuzuordnen.
In Rz. 13 seines Beschlusses XI B 24/20 bestätigt der BFH die bisherige Rspr. (BFH vom 16.5.2002, V R 56/00, BStBl II 2006, 725 und vom 25.11.2004, V R 38/03, BStBl II 2005, 414), dass die nachträgliche Erhöhung des Vorsteuerabzugsrechts aufgrund der Erhöhung der umsatzsteuerpflichtig vermieteten Flächen eines Gebäudes verfahrensrechtlich kein ein rückwirkendes Ereignis i.S.d. § 175 Abs. 1 Satz 1 Nr. 2 AO darstellt. Absichtsänderungen wirken nicht zurück und führen deshalb nicht dazu, dass Steuerbeträge nachträglich als Vorsteuer abziehbar sind.
3.3. Teilunternehmerische Verwendung für nichtwirtschaftliche Tätigkeiten i.e.S.
Nach Abschn. 15.2b Abs. 2 und Abschn. 15.2c Abs. 2 Nr. 2 UStAE können einheitliche Gegenstände wie folgt genutzt werden (→ Unternehmensvermögen):
-
unternehmerische Nutzung (wirtschaftliche Tätigkeiten),
-
unternehmensfremde Nutzung (Privatnutzung) und
-
nichtwirtschaftliche Nutzung i.e.S. (Abschn. 2.3 Abs. 1 und 1a UStAE).
Für den Vorsteuerabzug sind die Eingangsumsätze den jeweiligen Tätigkeitsbereichen zuzuordnen (Abschn. 15.2b Abs. 2 UStAE).
Vorsteuerbeträge für Eingangsumsätze, die für nichtwirtschaftliche Tätigkeiten im engeren Sinne verwendet werden, sind nach § 15 Abs. 1 UStG nicht abziehbar (Abschn. 15.2b Abs. 2 Satz 8 UStAE, BFH Urteil vom 6.5.2010, V R 29/09, BStBl II 2010, 885). Ein einheitlicher Gegenstand, der sowohl unternehmerisch als auch nichtwirtschaftlich im engeren Sinne verwendet wird, berechtigt zum Vorsteuerabzug,
-
wenn die unternehmerische Nutzung mindestens 10 % beträgt (§ 15 Abs. 1 Satz 2 UStG) und
-
soweit dieser Gegenstand für unternehmerische Tätigkeiten verwendet wird, die den Vorsteuerabzug nicht ausschließen (→ Verein).
Beachte:
Die Regelung des § 15 Abs. 1 Satz 2 UStG gilt für die Verwendung für »unternehmensfremde Zwecke« von mehr als 90 %. Nach dem EuGH-Urteil vom 15.9.2016 (C-400/15, DStR 2016, 2219, LEXinform 0589538) fallen nicht hierunter jedoch nicht wirtschaftliche, d.h. nicht in den Anwendungsbereich der Mehrwertsteuer fallende Tätigkeiten i.e.S. (s.a. Anmerkungen vom 15.9.2016, LEXinform 0401938 und vom 11.10.2016, LEXinform 0948164). Die Entscheidung bedeutet, dass der Vorsteuerausschluss nach § 15 Abs. 1 Satz 2 UStG nicht greift, wenn ein Gegenstand sowohl für wirtschaftliche und nicht wirtschaftliche Tätigkeiten genutzt wird. Betroffen sind daher die öffentliche Hand und Vereine. Mit dem Urteil kann im Umfang der unternehmerischen Nutzung der Vorsteuerabzug beansprucht werden. Auf § 15 Abs. 1 Satz 2 UStG kommt es dann nicht an.
M.E. dürften die Auswirkungen des EuGH-Urteils vom 15.9.2016 nur für Zeiträume vor dem 1.1.2016 Anwendung finden, da die EU-Ratsermächtigung vom 10.12.2015 bereits die neue EU-Rechtsprechung berücksichtigt (→ Unternehmensvermögen).
Führt die Änderung der Verhältnisse zu
-
einer Erhöhung der Nutzung für nichtwirtschaftliche Tätigkeiten im engeren Sinne, ist eine Nutzungsentnahme (unentgeltliche Wertabgabe nach § 3 Abs. 9a Nr. 1 UStG) zu versteuern (Abschn. 3.4 Abs. 2 Satz 4 UStAE);
-
zu einer Erhöhung der Nutzung für unternehmerische Tätigkeiten, kann eine Vorsteuerberichtigung zu Gunsten des Unternehmers nach § 15a UStG aus Billigkeitsgründen vorgenommen werden, sofern die Bagatellgrenzen des § 44 UStDV überschritten sind (Abschn. 3.4 Abs. 2 Satz 5 i.V.m. Abschn. 15a.1 Abs. 7 UStAE). In dem Fall der sowohl unternehmerischen als auch unternehmensfremden Verwendung unterbleibt eine Berichtigung nach § 15a UStG im vorgenannten Sinne, da der Unternehmer eine Möglichkeit auf vollständige Zuordnung zum Unternehmen hatte. § 15a Abs. 6a UStG bleibt unberührt.
Zum Vorsteuerabzug hinsichtlich teilunternehmerisch verwendeter Fahrzeuge nimmt das BMF mit Schreiben vom 5.6.2014 (BStBl I 2014, 896 unter I.6.) u.a. auch zur Nutzungsänderung bei nichtwirtschaftlicher Verwendung i.e.S. Stellung (s.a. Abschn. 15.23 Abs. 6 UStAE).
Nutzungsänderungen sind wie folgt zu berücksichtigen (s.a. das Schaubild nach Abschn. 15.2b Abs. 2 Satz 8 UStAE):



Beispiel 2:
Der Sportverein SV Wade X-Stadt e.V. (S) unterhält einen unternehmerischen und einen ideellen Bereich (z.B. Jugendarbeit). S erwirbt zum 1.1.01 einen Pkw für 30 000 € zzgl. 5 700 € USt. Der Pkw soll zu 60 % für unternehmerische Zwecke (wirtschaftlicher Geschäftsbetrieb) verwendet werden.
-
Im Jahr 02 verwendet der Verein den Pkw zu 70 % für die unternehmerische Tätigkeit.
-
Im Jahr 03 verwendet der Verein den Pkw zu 65 % für die unternehmerische Tätigkeit.
-
Im Jahr 04 verwendet der Verein den Pkw zu 50 % für die unternehmerische Tätigkeit.
-
Im Jahr 05 verwendet der Verein den Pkw zu 80 % für die unternehmerische Tätigkeit.
-
Im Jahr 06 verwendet der Verein den Pkw zu 40 % für die unternehmerische Tätigkeit. Am 1.7.06 veräußert der Verein den Pkw für 10 000 € zzgl. 1 900 € in der Rechnung gesondert ausgewiesener USt.
Abwandlung:
Im Jahr 06 verwendet der Verein den Pkw zu 75 % für unternehmerische Zwecke. Am 1.7.06 veräußert der Verein den Pkw für 10 000 € zzgl. 1 900 € in der Rechnung gesondert ausgewiesener USt.
Lösung 2:
S.a. Beispiel 1 zu Abschn. 15.23 Abs. 6 UStAE.
Für die Frage, ob eine Änderung der Verhältnisse vorliegt, sind die Verhältnisse im Zeitpunkt der tatsächlichen Verwendung (Jahre 02 ff.) im Vergleich zum ursprünglichen Vorsteuerabzug (1.1.01) entscheidend (Abschn. 15a.2 Abs. 2 Satz 1 UStAE). Für den ursprünglichen Vorsteuerabzug ist die Verwendungsabsicht im Zeitpunkt des Leistungsbezugs entscheidend (Abschn. 15a.2 Abs. 2 Satz 2 UStAE).
Der Verein S hat als Unternehmer einen Unternehmensbereich und einen nichtwirtschaftlichen Bereich im engeren Sinne (s.a. Abschn. 2.3 Abs. 1a UStAE). Unter den Voraussetzungen des § 15 Abs. 1 Nr. 1 UStG ist lediglich die Vorsteuer für die Eingangsleistungen abziehbar, die auf den unternehmerischen Bereich entfallen (Abschn. 15.2c Abs. 2 Nr. 2 Buchst. a i.V.m. Abschn. 2.10 Abs. 3 und 5 UStAE und BFH Urteil vom 3.3.2011, V R 23/10, BStBl II 2012, 74, Abschn. 15.2b Abs. 2 UStAE. Beachte das Schaubild nach Abschn. 15.2b Abs. 2 Satz 8 UStAE). Hinsichtlich des Vorsteuerabzugs besteht grundsätzlich ein Aufteilungsgebot (s.a. → Unternehmensvermögen).
Der Verein S kann somit im Zeitpunkt des Leistungsbezugs am 1.1.01 von der gesamten Vorsteuer 60 % (von 5 700 €) = 3 420 € abziehen (§ 15 Abs. 1 Nr. 1 UStG, kein Vorsteuerausschluss nach § 15 Abs. 2 UStG). Der für ideelle Tätigkeiten des Vereins verwendete Anteil des Fahrzeugs kann hingegen nicht dem Unternehmen zugeordnet werden (Aufteilungsgebot) und berechtigt nicht zum Vorsteuerabzug; dieser Anteil ist für Umsatzsteuerzwecke als separater Gegenstand anzusehen.
Jahr 02:
Im Zeitpunkt der tatsächlichen Verwendung (Jahre 02) – unternehmerische Nutzung 70 % – ändern sich die Verhältnisse im Vergleich zum ursprünglichen Vorsteuerabzug (1.1.01) – unternehmerische Nutzung 60 % – um 10 Prozentpunkte (Abschn. 15a.2 Abs. 2 Satz 1 UStAE). Da sich die unternehmerische Nutzung erhöht und auch die Bagatellgrenzen des § 44 UStDV überschritten sind (s.u. den Gliederungspunkt »Vereinfachungen bei der Berichtigung des Vorsteuerabzugs«), kann der Verein aus Billigkeitsgründen eine Vorsteuerberichtigung nach den Grundsätzen des § 15a UStG zu seinen Gunsten vornehmen (Abschn. 15a.1 Abs. 7 Satz 1 UStAE).
|
Insgesamt in Rechnung gestellte USt |
5 700 € |
|
Ursprünglicher Vorsteuerabzug (60 % von 5 700 €) |
3 420 € |
|
Zeitpunkt der erstmaligen Verendung |
1. 1.01 |
|
Dauer des Berichtigungszeitraums |
1.1.01 bis 31.12.05 |
|
Aus Billigkeitsgründen zum Vorsteuerabzug berechtigte Verwendung |
70 % |
|
Vorsteuerberichtigung 10 Prozentpunkte (70 % statt 60 %) |
|
|
Berichtigungsbetrag: (5 700 € : 60 Monate × 12 Monate) × 10 % = |
114 € |
Auf Grund der Vorsteuerberichtigung nach § 15a UStG aus Billigkeitsgründen gilt das Fahrzeug entsprechend der unternehmerischen Verwendung für das Jahr 02 als zu 70 % (60 % + 10 %) dem Unternehmen zugeordnet (Abschn. 15a.1 Abs. 7 Satz 2 UStAE).
Jahr 03:
Im Zeitpunkt der tatsächlichen Verwendung (Jahre 03) – unternehmerische Nutzung 65 % – ändern sich die Verhältnisse im Vergleich zum ursprünglichen Vorsteuerabzug (1.1.01) – unternehmerische Nutzung 60 % – um 5 Prozentpunkte (Abschn. 15a.2 Abs. 2 Satz 1 UStAE). Da sich zwar die unternehmerische Nutzung erhöht, die Bagatellgrenzen des § 44 Abs. 2 UStDV aber nicht überschritten sind, kommt eine Vorsteuerberichtigung aus Billigkeitsgründen nicht in Betracht (s. Abschn. 15a.1 Abs. 7 Satz 1 UStAE). Im Jahr 03 ist das Fahrzeug zu 60 % dem Unternehmen zuzuordnen.
Im Vergleich zum Vorjahr 02 verringert sich die Nutzung für nichtwirtschaftliche Tätigkeiten im engeren Sinne von 70 % auf 65 % um 5 Prozentpunkte. Eine Entnahmebesteuerung i.S.d. § 3 Abs. 9a Nr. 1 UStG wegen des im Verhältnis zum Vorjahr gesunkenen unternehmerischen Nutzungsumfangs kommt während des Berichtigungszeitraums nach § 15a UStG im Rahmen der Billigkeit nicht in Betracht, weil die in Abschn. 15a.1 Abs. 7 Satz 2 angeordnete Zuordnung entsprechend dem Berichtigungsbetrag nach § 15a UStG nur eine zeitraumbezogene Korrekturgröße darstellt (Abschn. 15.23 Abs. 6 Beispiel 1 Satz 15 UStAE).
Jahr 04:
Im Zeitpunkt der tatsächlichen Verwendung (Jahre 04) – unternehmerische Nutzung 50 % – ändern sich die Verhältnisse im Vergleich zum ursprünglichen Vorsteuerabzug (1.1.01) – unternehmerische Nutzung 60 % – um 10 Prozentpunkte (Abschn. 15a.2 Abs. 2 Satz 1 UStAE). Da sich die unternehmerische Nutzung vermindert, kommt eine Vorsteuerberichtigung aus Billigkeitsgründen nicht in Betracht (Abschn. 15a.1 Abs. 7 Satz 1 UStAE) und es bleibt bei der ursprünglichen Zuordnung des Fahrzeugs zum Unternehmen i.H.v. 60 %. Die auf den zugeordneten Fahrzeugteil entfallende Nutzung für nichtwirtschaftliche Tätigkeiten i.e.S. (= 10 % der Gesamtnutzung) ist als unentgeltliche Wertabgabe nach § 3 Abs. 9a Nr. 1 UStG zu versteuern (vgl. Abschn. 3.4 Abs. 2 Satz 4 UStAE).
Bei Anwendung der Listenpreismethode (1 % des Bruttolistenpreises) wirkt sich die zusätzliche Erhöhung der Privatnutzung nicht aus.
Bei Anwendung der Fahrtenbuchmethode sind für die Bemessungsgrundlage die Anschaffungskosten des Fahrzeugs maßgebend, die auf 5 Jahre zu verteilen sind (§ 10 Abs. 4 Satz 1 Nr. 2 Satz 2 UStG). Die Bemessungsgrundlage der unentgeltlichen Wertabgabe beträgt demnach 600 € (1/5 von 30 000 € × 10 %) und die USt 114 € (600 € × 19 %).
Jahr 05:
Im Zeitpunkt der tatsächlichen Verwendung (Jahre 05) – unternehmerische Nutzung 80 % – ändern sich die Verhältnisse im Vergleich zum ursprünglichen Vorsteuerabzug (1.1.01) – unternehmerische Nutzung 60 % – um 20 Prozentpunkte (Abschn. 15a.2 Abs. 2 Satz 1 UStAE). Da sich die unternehmerische Nutzung erhöht und auch die Bagatellgrenzen des § 44 UStDV überschritten sind (s.u. den Gliederungspunkt »Vereinfachungen bei der Berichtigung des Vorsteuerabzugs«), kann der Verein aus Billigkeitsgründen eine Vorsteuerberichtigung nach den Grundsätzen des § 15a UStG zu seinen Gunsten vornehmen (Abschn. 15a.1 Abs. 7 Satz 1 UStAE).
|
Insgesamt in Rechnung gestellte USt |
5 700 € |
|
Ursprünglicher Vorsteuerabzug (60 % von 5 700 €) |
3 420 € |
|
Zeitpunkt der erstmaligen Verendung |
01.01.01 |
|
Dauer des Berichtigungszeitraums |
01.01.01 bis 31.12.05 |
|
Aus Billigkeitsgründen zum Vorsteuerabzug berechtigte Verwendung |
80 % |
|
Vorsteuerberichtigung 20 Prozentpunkte (80 % statt 60 %) |
|
|
Berichtigungsbetrag: (5 700 € : 60 Monate × 12 Monate) × 20 % = |
228 € |
Auf Grund der Vorsteuerberichtigung nach § 15a UStG aus Billigkeitsgründen gilt das Fahrzeug entsprechend der unternehmerischen Verwendung für das Jahr 05 als zu 80 % (60 % + 20 %) dem Unternehmen zugeordnet (Abschn. 15a .1 Abs. 7 Satz 2 UStAE).
Jahr 06:
Der Umfang der unternehmerischen Nutzung hat sich gegenüber dem Erstjahr vermindert (40 % statt 60 %). Grds. unterliegt die Erhöhung der Verwendung für nichtwirtschaftliche Tätigkeiten i.e.S. der unentgeltlichen Wertabgabenbesteuerung nach § 3 Abs. 9a Nr. 1 UStG. Da der Berichtigungszeitraum nach § 15a UStG am 31.12.05 jedoch abgelaufen ist und die Anschaffungskosten des Fahrzeugs damit verbraucht sind, beträgt die Bemessungsgrundlage 0 € (§ 10 Abs. 4 Satz 1 Nr. 2 Satz 2 UStG). Die Veräußerung des Fahrzeugs am 1.7.06 ist i.H.v. 60 % steuerbar. Zwar nutzt V im Besteuerungszeitraum der Veräußerung das Fahrzeug nur zu 40 % für seine unternehmerischen Tätigkeiten. Der Umfang der Zuordnung des Fahrzeugs bei dessen Anschaffung darf jedoch nicht unterschritten werden (Abschn. 15.23 Abs. 6 Satz 10 UStAE). Die USt aus der Fahrzeugveräußerung beträgt 1 140 € (60 % von 10 000 € x 19 %). Da der Verein in der Rechnung über den Gesamtverkaufspreis USt gesondert ausweist (1 900 €), schuldet er den anteiligen Umsatzsteuerbetrag, der auf den nichtwirtschaftlich i.e.S. genutzten Fahrzeugteil entfällt (40 % von 1 900 € = 760 €), nach § 14c Abs. 2 UStG (s.a. Beispiel 2 zu Abschn. 15.23 Abs. 6 UStAE).
Abwandlung:
Der Berichtigungszeitraum nach § 15a UStG ist am 31.12.05 abgelaufen; eine Vorsteuerberichtigung aus Billigkeitsgründen kommt daher für das Jahr 06 nicht mehr in Betracht. Der Umfang der unternehmerischen Nutzung beträgt im Besteuerungszeitraum der Veräußerung (1.1. bis 30.6.06) 75 %. Die Veräußerung des Fahrzeugs ist daher i.H.v. 75 % steuerbar und stpfl. Der Gesamtverkaufspreis ist entsprechend aufzuteilen. Eine Entnahmebesteuerung wegen des im Verhältnis zum Vorjahr gesunkenen unternehmerischen Nutzungsumfangs kommt im Anschluss an den Berichtigungszeitraum nach § 15a UStG im Rahmen der Billigkeit nicht in Betracht, weil die in Abschn. 15a.1 Abs. 7 Satz 2 angeordnete Zuordnung entsprechend dem Berichtigungsbetrag nach § 15a UStG nur eine zeitraumbezogene Korrekturgröße darstellt. Auszugehen ist damit vom tatsächlichen unternehmerischen Nutzungsumfang. Die USt aus der Fahrzeugveräußerung beträgt 1 425 € (75 % von 10 000 € × 19 %). Da der Verein in der Rechnung über den Gesamtverkaufspreis USt gesondert ausweist (1 900 €), schuldet er den anteiligen Umsatzsteuerbetrag, der auf den nichtwirtschaftlich i.e.S. genutzten Fahrzeugteil entfällt (25 % von 1 900 € = 475 €), nach § 14c Abs. 2 UStG (s.a. Beispiel 1 zu Abschn. 15.23 Abs. 6 UStAE).
3.4. Verwendung i.S.d. § 15a UStG
Verwendung i.S.d. § 15a UStG ist die tatsächliche Nutzung des Berichtigungsobjekts zur Erzielung von Umsätzen. Als Verwendung sind auch die Veräußerung und die unentgeltliche Wertabgabe nach § 3 Abs. 1b und Abs. 9a UStG und die teilunternehmerische Nutzung eines Grundstücks i.S.d. § 15 Abs. 1b UStG (→ Vorsteuerabzug; → Grundstücksumsätze, Umsatzsteuer) anzusehen. Unter Veräußerung ist sowohl die Lieferung i.S.d. § 3 Abs. 1 UStG – z.B. auch die Verwertung in der Zwangsvollstreckung – als auch die Übertragung immaterieller WG zu verstehen. Voraussetzung ist in allen Fällen, dass das Berichtigungsobjekt im Zeitpunkt dieser Umsätze objektiv noch verwendungsfähig ist (Abschn. 15a.2 Abs. 1 UStAE).
Hinweis:
Kann ein WG vor Ablauf des Berichtigungszeitraums wegen Unbrauchbarkeit vom Unternehmer nicht mehr zur Ausführung von Umsätzen verwendet werden, endet damit der Berichtigungszeitraum. Eine Veräußerung des nicht mehr verwendungsfähigen WG bleibt für die Berichtigung des Vorsteuerabzuges unberücksichtigt (Abschn. 15a.3 Abs. 7 UStAE). Der Berichtigungszeitraum verkürzt sich dabei auf den Zeitraum zwischen erstmaliger Verwendung und Unbrauchbarkeit. Daraus kann sich für die bereits abgelaufenen Zeiträume des Berichtigungszeitraums eine Neuberechnung des Berichtigungsbetrags ergeben, der aus Vereinfachungsgründen bei der Steuerfestsetzung des letzten Kalenderjahres des verkürzten Berichtigungszeitraums berücksichtigt werden kann (Abschn. 15a.11 Abs. 5 UStAE; s.a. OFD Karlsruhe vom 29.2.2016, S 7316 – Karte 4, UR 1/2017, 35, LEXinform 5236012, Tz. 2 Abs. 4).
3.5. Allgemeines zur Änderung der Verhältnisse
Für die Frage, ob eine Änderung der Verhältnisse vorliegt, sind die Verhältnisse im Zeitpunkt der tatsächlichen Verwendung im Vergleich zum ursprünglichen Vorsteuerabzug entscheidend. Für den ursprünglichen Vorsteuerabzug ist die Verwendungsabsicht im Zeitpunkt des Leistungsbezugs entscheidend, im Fall der Anzahlung oder Vorauszahlung die im Zeitpunkt der Anzahlung oder Vorauszahlung gegebene Verwendungsabsicht (Abschn. 15a.2 Abs. 2 und Abschn. 15.12 Abs. 1 UStAE).

Abb.: Änderung der Verhältnisse I

Abb.: Änderung der Verhältnisse II

Abb.: Änderung der Verhältnisse III
3.6. Übersicht über die Änderung der Verhältnisse und den Berichtigungszeitraum
Die Berichtigung nach § 15a Abs. 2 UStG unterliegt keinem Berichtigungszeitraum. Eine Vorsteuerberichtigung erfolgt im Zeitpunkt der erstmaligen Verwendung, wenn eine Änderung der Verhältnisse eintritt. Zu diesem Zeitpunkt wird der gesamte Vorsteuerabzug berichtigt. Ein anteiliger »Vorsteuerverbrauch« findet nicht statt (Abschn. 15a.5 Abs. 1 und 2 mit Beispielen 1 und 2 UStAE).
Eine Berichtigung des Vorsteuerabzugs erfolgt bei WG i.S.d. § 15a Abs. 1 UStG nur, wenn sich die Verhältnisse im maßgeblichen Berichtigungszeitraum ändern. Dasselbe gilt für Berichtigungsobjekte des § 15a Abs. 3, 4 und 6 UStG, für die § 15a Abs. 1 UStG entsprechend anzuwenden ist.
Merke:
Eine Änderung der Verhältnisse i.S.d.§ 15a UStG liegt z.B. vor, wenn sich aufgrund der tatsächlichen Verwendung nach § 15 Abs. 2 und 3 UStG ein höherer oder niedrigerer Vorsteuerabzug im Vergleich zum ursprünglichen Vorsteuerabzug ergibt (Abschn. 15a.2 Abs. 2 Satz 3 Nr. 1 UStAE).

Abb.: Änderung der Verhältnisse und Berichtigungszeitraum
Die Auswirkungen der Verwendungsänderungen auf den Vorsteuerabzug sind abhängig vom jeweiligen Eintritt der Änderungen. So können die Änderungen eintreten
-
vor dem Zeitpunkt der erstmaligen Verwendung,
-
nach dem Zeitpunkt der erstmaligen Verwendung, aber vor dem Ende des maßgeblichen Berichtigungszeitraums und
-
nach Ablauf des maßgeblichen Berichtigungszeitraums.

Abb.: Auswirkungen der Änderungen der Verhältnisse auf den Vorsteuerabzug
3.7. Berichtigung nach verfahrensrechtlichen Vorschriften
Nach Abschn. 15a.2 Abs. 2 Satz 3 Nr. 6 UStAE tritt eine Änderung der nach § 15a Abs. 1 UStG maßgebenden Verhältnisse auch dadurch ein, dass sich bei tatsächlich gleichbleibenden Verwendungsumsätzen die rechtliche Beurteilung der Umsätze als unzutreffend erweist. Voraussetzung hierfür ist jedoch, dass die Steuerfestsetzung für das Abzugsjahr bestandskräftig und unabänderbar ist (BFH vom 19.2.1997, XI R 51/93, BStBl II 1997, 370 und vom 12.6.1997, V R 36/95, BStBl II 1997, 589).
Mit Urteil vom 23.10.2014 (V R 11/12, BStBl II 2015, 973) bildet der BFH zwei Fallgruppen anhand derer die Frage zu entscheiden ist, ob die Vorsteuer ausschließlich nach abgabenrechtlichen Grundsätzen oder auch nach § 15a UStG zu korrigieren ist.
Fallgruppe 1:
Eine Änderung der für den Vorsteuerabzug maßgeblichen Verhältnisse liegt nicht nur vor, wenn sich diese in tatsächlicher Hinsicht geändert haben, sondern auch dann, wenn sich bei tatsächlich gleichbleibenden Verwendungsumsätzen die rechtliche Beurteilung der Verwendungsumsätze, die der Gewährung des Vorsteuerabzugs im Abzugsjahr zugrunde lag, in einem der Folgejahre als unzutreffend erweist, sofern die Steuerfestsetzung für das Abzugsjahr bestandskräftig und unabänderbar ist.
Beispielsfall:
U errichtet im Jahr 01 ein Gebäude, das zu 60 % stpfl. und zu 40 % steuerfrei vermietet wird. In der USt-Jahreserklärung 01, die U am 31.3.02 abgegeben hat, zieht er zu Unrecht 100 % der Vorsteuer aus den Herstellungskosten ab. Im Rahmen einer Umsatzsteuer-Prüfung im Jahr 07 wird der überhöhte Vorsteuerabzug festgestellt. Der Vorsteuerabzug wurde weder vorsätzlich noch fahrlässig in der unzutreffenden Höhe beantragt.
Lösung:
Der Vorsteuerabzug im Jahr 01 wurde fehlerhaft beurteilt, da nach den Verwendungsverhältnissen lediglich ein Abzug von 60 % zulässig ist. Für die Umsatzsteuer 01 tritt mit Ablauf des 31.12.06 Festsetzungsverjährung ein. Eine Korrektur des Steuerbescheides 01 ist daher ab dem 1.1.07 nicht mehr möglich. Da im Jahr 07 die Steuerfestsetzung des Abzugsjahrs abgabenrechtlich nicht mehr geändert werden kann, ist ab 07 bis zum Ende des Berichtigungszeitraums der Vorsteuerabzug nach § 15a UStG zu berichtigen (s. Beispiel 1 der Vfg. der OFD Karlsruhe vom 29.2.2016, S 7316 – Karte 3, UR 2016, 534, LEXinform 5236011).
Fallgruppe 2:
Eine unzutreffende Beurteilung der Voraussetzungen für den Vorsteuerabzug nach § 15 Abs. 1 Nr. 1 UStG ist dagegen keine »Änderung der (Verwendungs-)Verhältnisse« im Besteuerungszeitraum der Aufdeckung der Fehlbeurteilung; sie kann deshalb nur durch Änderung der fehlerhaften Steuerfestsetzung selbst bei Vorliegen der Voraussetzungen einer Änderungsvorschrift korrigiert werden (so auch bereits BFH Urteil vom 6.12.2007, V R 3/06, BStBl II 2009, 203).
Im Urteilsfall V R 11/12 (BStBl II 2015, 973) errichtete der Stpfl. ein gemischt genutztes Gebäude (20 % für eigene unternehmerische Zwecke, 80 % eigene Wohnzwecke), das im Kj. 02 fertig gestellt wurde (Seeling-Modell, kein Fall des § 15 Abs. 1b UStG, s. § 27 Abs. 16 UStG). In der USt-Jahreserklärung für das Kj. 05 nahm der Stpfl. den Vorsteuerabzug aus den gesamten Herstellungskosten für das Gebäude vor. Der Vorsteuerabzug wurde durch das FA bestandskräftig festgesetzt. Für den nichtunternehmerisch genutzten Teil hat der Stpfl. eine unentgeltliche Wertabgabe besteuert.
Nach Auffassung des BFH ist im Hinblick auf die Abgrenzung zwischen den beiden Fallgruppen auch ein Vorsteuerabzug nach § 15a UStG in den Folgejahren zu berichtigen, der wegen verspäteter Zuordnung materiell-rechtlich unrichtig vorgenommen wurde und der verfahrensrechtlich im Abzugsjahr nicht mehr entzogen werden kann. Fehlt es an einer rechtzeitigen Zuordnung des Gegenstands zum Unternehmen (bis zur gesetzlichen Abgabefrist für Steuererklärungen – hier 31.5.03; jetzt 31.7.03), kann die Zuordnung nicht unterstellt werden, so dass die Vorsteuer nicht nach § 15 Abs. 1 Nr. 1 UStG abziehbar ist (s.a. Abschn. 15.2c Abs. 18 UStAE). Als Schlussfolgerung daraus gelangt der BFH, m.E. zutreffend, zu dem Ergebnis, dass der materiell-rechtlich fehlerhafte, im Abzugsjahr gewährte Vorsteuerabzug in den Folgejahren nicht zur Besteuerung einer Verwendungsentnahme gem. § 3 Abs. 9a Satz 1 Nr. 1 UStG führt. Eine derartige Entnahme ist nur dann steuerbar, wenn die Verwendung eines dem Unternehmen zugeordneten Gegenstands zum vollen oder teilweisen Vorsteuerabzug berechtigt hat. Fehlt es an einer rechtzeitigen Zuordnung des Gegenstands zum Unternehmen und deshalb auch am Recht zum Vorsteuerabzug (nach § 15 Abs. 1 Nr. 1 UStG), ist die Verwendungsentnahme nicht steuerbar.
Der BFH hat entgegen seiner Definition der Fallgruppe 1 den Sachverhalt unter diese Fallgruppe subsumiert. Als Voraussetzung der Zuordnung zur Fallgruppe 1 sieht der BFH eine fehlerhafte Beurteilung von Verwendungsumsätzen. Im Urteilsfall lagen allerdings, gerade nach den Feststellungen des BFH, keine Verwendungsumsätze vor.
Meines Erachtens unzutreffend ist auch die Begründung der Vorsteuerberichtigung i.S.d. § 15a UStG durch den BFH. Eine Vorsteuerberichtigung lässt sich nicht mit der fehlenden Entnahmebesteuerung begründen. Das Thüringer FG hat in seinem Urteil vom 12.2.2014 (3 K 1025/11, EFG 2014, 1535, LEXinform 5016748, rkr.) zutreffend entschieden, dass § 15a Abs. 1 UStG auf Änderungen der Verwendung (§ 15 Abs. 2 UStG) der mit Vorsteuerabzugsmöglichkeit nach § 15 Abs. 1 UStG angeschafften oder hergestellten Wirtschaftsgüter reagiert. § 15a Abs.1 UStG stellt damit auf die Änderung der Verhältnisse ab, die im Kj. der erstmaligen Verwendung für den Vorsteuerabzug bei einem Wirtschaftsgut maßgebend waren. Damit schließen § 15a Abs. 6 und Abs. 1 UStG an die Regelung über die näher bezeichnete Verwendung von gelieferten oder eingeführten Gegenständen oder von bezogenen sonstigen Leistungen in § 15 Abs. 2 UStG an. Nur wenn sich die den Vorsteuerabzug ausschließende Verwendung i.S.v. § 15 Abs. 2 UStG nach dem Kj. der erstmaligen Verwendung ändert, indem dann eine Verwendung zur Ausführung steuerpflichtiger Umsätze vorliegt (oder umgekehrt), ermöglicht § 15a UStG eine Berichtigung des Vorsteuerabzugs. Für den Fall, dass die Voraussetzungen für den Vorsteuerabzug nach § 15 Abs. 1 UStG unrichtig beurteilt worden sind, trifft § 15a UStG keine ausdrückliche Regelung. Eine Fehlbeurteilung des Vorsteuerabzugs ist somit allenfalls unter den Voraussetzungen von Korrekturvorschriften der AO änderbar.
Steuerfestsetzungen mit Fehlbeurteilungen des Vorsteuerabzugs nach § 15 Abs. 1 Nr. 1 UStG sind unter den Voraussetzungen von Änderungsvorschriften der Abgabenordnung (z.B. nach § 164 Abs. 2, § 165 Abs. 2, § 173 Abs. 1 AO) änderbar. Die Änderung erfolgt rückwirkend und führt zur Änderung des gesamten nach § 15 Abs. 1 Nr. 1 UStG nicht gerechtfertigten Vorsteuerabzugs. Die Bestandskraft der fehlerhaften Steuerfestsetzung wird (innerhalb der Festsetzungsverjährung) durchbrochen, wenn die Voraussetzungen eines Änderungstatbestands der AO gegeben sind. Eine Bindung an die fehlerhafte bestandskräftige Beurteilung der positiven Voraussetzungen des § 15 Abs. 1 Nr. 1 UStG besteht wegen des für die Steuerfestsetzung maßgebenden Abschnittsprinzips in einem späteren Besteuerungszeitraum nicht, unabhängig davon, ob die (fehlerhafte) Steuerfestsetzung nach Vorschriften der AO noch geändert werden wird oder geändert werden kann.
Auch nach der Verwaltungsregelung in Abschn. 15a.4 Abs. 3 UStAE kommt eine Vorsteuerberichtigung i.S.d. § 15a UStG wegen unzutreffender rechtlicher Beurteilung nur in Betracht, wenn der ursprünglich vorgenommene Vorsteuerabzug aus der Sicht des § 15 Abs. 1b bis 4 UStG sachlich unrichtig war (s.a. die Beispiele 1 und 2 unter Abschn. 15a.4 Abs. 3 UStAE).
Unabänderbarkeit ist gegeben, wenn bei der Steuerfestsetzung für das Jahr; in dem ein Vorsteuerteilbetrag nach§ 15a UStG berichtigt werden soll, keine Gründe (z.B. nach §§ 164 Abs. 2, 172 AO) für eine Änderung der bestandskräftigen Steuerfestsetzung für das Abzugsjahr vorliegen. Bei einer Steuerfestsetzung für das Folgejahr können nur solche Änderungsgründe berücksichtigt werden, deren Voraussetzungen mit Ablauf dieses Folgejahres verwirklicht waren (BFH vom 13.11.1997, V R 140/93, BStBl II 1998, 36). Dabei kommt es nicht auf die abstrakte Möglichkeit einer Änderung an, sondern es ist im jeweiligen Einzelfall zu prüfen, ob die Steuerfestsetzung des Abzugsjahres im jeweiligen Folgejahr hätte geändert werden können (s. Abschn. 15a.4 Abs. 3 UStAE und dort Beispiele 1 und 2; vgl. Vfg. der OFD Karlsruhe vom 29.2.2016, S 7316 – Karte 3, UR 2016, 534, LEXinform 5236011).
Beispiel 3:
Im Kj. 01 (Jahr des Leistungsbezugs) wurde der Vorsteuerabzug für ein gemischt genutztes Gebäude zu 100 % (= 100 000 €) gewährt, obwohl im Zeitpunkt des Leistungsbezugs beabsichtigt war, das Gebäude nach Fertigstellung zu 50 % zur Ausführung nicht zum Vorsteuerabzug berechtigender Umsätze zu verwenden und somit nur ein anteiliger Vorsteuerabzug von 50 000 € hätte gewährt werden dürfen. Die Steuerfestsetzung für das Kj. des Leistungsbezugs ist ab Beginn des Kj. 05 abgabenrechtlich nicht mehr änderbar. In den Kj. 02 bis 11 wird das Gebäude zu 50 % zur Ausführung zum Vorsteuerabzug berechtigender Umsätze verwendet.
Lösung 3:
Soweit eine Änderung des Steuerbescheids für das Abzugsjahr 01 (mit der Fehlbeurteilung des Verwendungsumsatzes für den Vorsteuerabzug) nach den Vorschriften der AO möglich ist, scheidet eine Vorsteuerberichtigung nach § 15a UStG aus. Die Änderbarkeit der Steuerfestsetzung für das Abzugsjahr 01 nach den Vorschriften der AO schließt die Berichtigung des Vorsteuerabzugs für alle Folgejahre aus, bis zu deren Ablauf eine Änderung möglich war (bis Ablauf 31.12.04). Ist die bezeichnete Änderung nicht durchgeführt worden, obwohl sie möglich gewesen wäre, kann keine Vorsteuerberichtigung nach § 15a UStG vorgenommen werden, weil – mangels Unabänderbarkeit der Steuerfestsetzung für das Abzugsjahr, der eine Fehlbeurteilung der Verwendung zugrunde liegt – keine Änderung der für den Vorsteuerabzug maßgebenden Verhältnisse angenommen werden kann BFH Urteil vom 5.2.1998, V R 66/94, BStBl II 1998, 361 unter 4.a).
Eine Vorsteuerberichtigung nach § 15a UStG kommt erst für die Folgejahre in Betracht, in denen eine Änderung des bestandskräftigen Steuerbescheids für das Abzugsjahr (mit der Fehlbeurteilung des Vorsteuerabzugs) nach den Vorschriften der AO ausscheidet (BFH V R 66/94, unter 4.b).
Obwohl sich die tatsächliche Verwendung des Gebäudes nicht von der im Zeitpunkt des Leistungsbezugs gegebenen Verwendungsabsicht unterscheidet, sind ab dem Kj. 05 jeweils 50 % von einem Zehntel des zu Unrecht gewährten Vorsteuerabzugs von 100 000 € (= 5 000 € pro Jahr) zurückzuzahlen. Eine Berichtigung des zu Unrecht gewährten Vorsteuerabzugs für die Kj. 02 bis 04 unterbleibt.
3.8. Berechnung des Vorsteuerberichtigungsbetrags
Die Vorsteuerberichtigung nach § 15a Abs. 1 UStG setzt einen ursprünglichen Vorsteuerabzug voraus (EuGH vom 18.7.2013, C-78/12, UR 2014, 475, LEXinform 0589457, Rz 59). Ob ein derartiger Vorsteuerabzug vorliegt, richtet sich nach dem für das Abzugsjahr vorliegenden Steuerbescheid. Wesentliches Merkmal für diesen ist gem. § 157 Abs. 1 Satz 2 AO die festgesetzte Steuer, während die dieser Steuer zugrunde liegenden Besteuerungsgrundlagen nach § 157 Abs. 2 AO nur einen nicht selbstständig anfechtbaren Teil des Steuerbescheids bilden (BFH vom 1.2.2022, V R 33/18, LEXinform 0952200, Rz. 21).
Mit Urteil vom 1.2.2022 (V R 33/18, BStBl II 2022, 785) hat der BFH zur Vorsteuerberichtigung nach § 15a Abs. 1 UStG in den Fällen des § 13b UStG Stellung genommen.
Entscheidungssachverhalt:
Veräußerer V veräußerte am 1.6.07 an den Erwerber E ein Grundstück. Die Veräußerung erfolgte zu 71 % stpfl., da V das Grundstück zu 71 % für stpfl. Umsätze nutzte. Erwerber E vermietete das Grundstück nach dem Erwerb zu 71 % umsatzsteuerpflichtig.
Ab Februar des Kj. 15 bis April 15 vermietete E das Grundstück nur noch zu 27 % umsatzsteuerpflichtig und seit 1.5.15 ausschließlich umsatzsteuerfrei.
E hatte in der USt-Erklärung für das Kj. 07 weder die nach § 13b Abs. 2 Nr. 3 i.V.m. Abs. 5 Satz 1 UStG entstandene USt, noch die nach § 15 Abs. 1 Satz 1 Nr. 4 UStG abziehbare Vorsteuer erklärt. Das FA setzte die USt für das Kj. 07 erklärungsgemäß fest.
Im USt-Bescheid für das Kj. 15 setzte das FA für den E eine Vorsteuerberichtigung nach § 15a UStG fest.
E wandte sich gegen die Vorsteuerberichtigung mit der Begründung, die ursprünglich nach § 13b UStG geschuldete USt und der entsprechende Vorsteuerabzug hätte in der USt-Erklärung für das Kj. 07 keine Berücksichtigung gefunden. Ohne vorgenommenen Vorsteuerabzug in der Vergangenheit stelle § 15a Abs. 1 UStG keine Rechtsgrundlage für die nachträgliche Korrektur des Vorsteuerabzugs dar. Ein tatsächlicher Vorsteuerabzug sei Voraussetzung für die Anwendbarkeit von § 15a Abs. 1 UStG, weil diese Bestimmung eine Änderung der für den »ursprünglichen Vorsteuerabzug« maßgebenden Verhältnisse voraussetze.
Entscheidungsgründe:
E war für den Grundstückserwerb im Kj. 07 Steuerschuldner gem. § 13b Abs. 2 Nr. 3 und Abs. 5 Satz 1 UStG und zugleich für dieses Jahr zum Vorsteuerabzug nach § 15 Abs. 1 Satz 1 Nr. 4 UStG berechtigt. Der Anspruch auf Vorsteuerabzug entstand nach dieser Vorschrift für den Voranmeldungszeitraum der Leistungsausführung, ohne dass es hierfür in rechtlicher Hinsicht auf eine »Anmeldung der Steuer« ankam.
Steuer und Vorsteuerabzug waren nach allgemeinen Grundsätzen als jeweils unselbstständige Besteuerungsgrundlagen i.S.v. § 157 Abs. 2 AO in dem Steuerbescheid für das Kj. 07 zu erfassen. Dass dies unterblieb, ist im Hinblick auf das Zusammenfallen von Steuerschuld und Vorsteuerabzug in einer Person und die Betragsgleichheit von Steuer und Vorsteuerabzug ohne Bedeutung. Denn im Hinblick hierauf hatte das Unterbleiben der Erfassung von Steuer und Vorsteuer keinen Einfluss auf die nach § 157 Abs. 1 Satz 2 AO festzusetzende Steuer.
Das folgt daraus, dass die Steuer für die in § 13b Abs. 2 Nr. 3 UStG genannten Umsätze – unabhängig von der Erklärung durch den Stpfl. – mit Ausstellung der Rechnung, spätestens mit Ablauf des der Ausführung der Leistung folgenden Kalendermonats entstanden ist (→ Steuerschuldnerschaft des Leistungsempfängers). Dass E die nach § 13b Abs. 2 Nr. 3 UStG entstandene USt nicht erklärt hat, lässt sich nur durch die Saldierung mit dem Vorsteuerabzug nach § 15 Abs. 1 Satz 1 Nr. 4 UStG erklären. Denn andernfalls hätte E es pflichtwidrig unterlassen, die nach § 13b Abs. 2 Nr. 3 UStG entstandene USt zu erklären.
Der BFH gelangt daher zu dem Ergebnis, dass der ursprüngliche Vorsteuerabzug sich in den Fällen des § 13b UStG aus der Saldierung der USt nach § 13b Abs. 5 Satz 1 UStG mit dem Vorsteuerabzug nach § 15 Abs. 1 Satz 1 Nr. 4 UStG ergeben kann.
Beachte:
Zur Anwendung des BFH-Urteils vom 1.2.2022 (V R 33/18, BStBl II 2022, 785) hat das BMF mit Schreiben vom 22.11.2022 (BStBl I 2022, 1595) geregelt, dass die Grundsätze des BFH-Urteils nicht nur in den Fällen eines Übergangs der Steuerschuldnerschaft nach § 13b und einem korrespondierenden Vorsteuerabzug nach § 15 Abs. 1 Satz 1 Nr. 4 UStG gelten, sondern auch andere Fälle einer denkbaren Vorsteuersaldierung, z.B. einem innergemeinschaftlichen Erwerb nach § 1a UStG mit einem korrespondierenden Vorsteuerabzug nach § 15 Abs. 1 Satz 1 Nr. 3 UStG, betreffen.
Weiterhin betrifft die Entscheidung alle Vorsteuerberichtigungen nach § 15a UStG, nicht nur – wie vom BFH entschieden – die nach § 15a Abs. 1 UStG.
Mit Schreiben vom 22.11.2022 (BStBl I 2022, 1595) wurde Abschn. 15a.1 Abs. 4 Satz 1 und 2 UStAE neu gefasst.
Das folgende Beispiel verdeutlicht die Berechnung des Vorsteuerberichtigungsbetrages.
Beispiel 4:
Ein Unternehmer errichtet ein gemischt genutztes Gebäude, das er, wie beabsichtigt, ab Fertigstellung hälftig steuerpflichtig und steuerfrei vermietet. Die nach § 15 Abs. 1 Nr. 1 UStG abziehbare Vorsteuer beträgt 192 000 € (Ausgangsbetrag). Dieser Betrag ist die spätere Ausgangsbasis für § 15a UStG. Nach § 15 Abs. 2 UStG sind davon abzugsfähig 50 % = 96 000 €, bezogen auf die ursprüngliche Verwendungsabsicht (maßgebende Verhältnisse). Im vierten Jahr des Überwachungszeitraums verwendet der Unternehmer die steuerpflichtig vermieteten Räume drei Monate lang für Ausschlussumsätze, die restliche Nutzung bleibt unverändert.
Lösung 4:
Monatsmethode:
Ausgangsbasis ist der gesamte Vorsteuerbetrag i.S.d. § 15 Abs. 1 UStG = 192 000 € und nicht wie häufig angenommen der nach § 15 Abs. 2 bis 4 UStG abzugsfähige Teil. Auf den Berichtigungszeitraum (zehn Jahre) entfällt ein monatlicher Betrag (zehn Jahre = 120 Monate) von 1 600 € (192 000 € : 120 Monate). Für einen Monat stehen also insgesamt 1 600 € zur Überwachung an.
Drei Monate vorsteuerschädliche Verwendung des bisher steuerpflichtig vermieteten Bereichs im Jahr 04 bedeuten also einen 100 %igen Ausschluss der Vorsteuer für diesen Zeitraum. Drei Monate à 1 600 € = 4 800 € stehen dem Unternehmer für diesen Zeitraum nicht zu. Erhalten hat er aber 50 % hiervon = 2 400 €, nämlich durch den ursprünglichen Vorsteuerabzug, den man sich im weitesten Sinne wie eine Art Darlehen vorstellen muss, welches bei unveränderter Verwendung während des Überwachungszeitraums weder aufgestockt wird noch zurückgezahlt werden muss. Bei einem erhaltenen Betrag von 2 400 € und einem zustehenden Betrag von 0 € ergibt sich ein Berichtigungsbetrag von 2 400 € für das Jahr 04.
Jahresmethode:
Ermittlung des Vorsteuerabzugsverhältnisses im Jahr 04 und Vergleich mit dem ursprünglichen Vorsteuerabzug:
Jahresüberwachungsbetrag = 1/10 von 192 000 € = 19 200 €.
|
3 Monate |
0 % abzugsfähig |
= |
0 |
||
|
9 Monate |
50 % abzugsfähig |
= |
450 |
||
|
Summe |
450 |
: 12 Monate = 37,50 % durchschnittliche Nutzung für Abzugsumsätze |
|||
|
37,50 % |
vom maßgeblichen Überwachungsbetrag 04 von 19 200 €= |
7 200 € |
|||
|
50,00 % |
von 19 200 € in 04 bereits in Anspruch genommen |
./. 9 600 € |
|||
|
12,50 % |
Differenz von 19 200 € = Berichtigungsbetrag = |
2 400 € |
|||
Mischmethode:
Im Kj. 04 sind 9 600 € (1/2 von 19 200 €) in Anspruch genommen. Davon müssen drei Monate auf 0 reduziert werden. 3/12 von 9 600 € = 2 400 € = Berichtigungsbetrag.
3.9. Keine Änderung der Verhältnisse bei einer Geschäftsveräußerung
Eine → Geschäftsveräußerung i.S.d. § 1 Abs. 1a UStG stellt keine Änderung der Verhältnisse dar, weil der Erwerber an die Stelle des Veräußerers tritt (§ 1 Abs. 1a Satz 3 UStG; Abschn. 15a.2 Abs. 3 UStAE).
Beispiel 5:
Unternehmer U betreibt seit Jahren im Erdgeschoss seines eigenen Grundstücks ein Herrenausstattungsgeschäft »Senioren-Moden«. Das 1. Obergeschoss ist steuerpflichtig an Steuerberater S vermietet, der dort seine Kanzlei betreibt. Im 2. Obergeschoss ist die eigene Wohnung des U, die er mit seiner Familie nutzt. U hat das Gebäude im Jahr 2012 für insgesamt 800 000 € zzgl. 152 000 € USt hergestellt und zutreffend insgesamt seinem Unternehmen zugeordnet. Die Fertigstellung und die entsprechende Nutzung erfolgt wie von Anfang an geplant ab 1.8.2012.

Zum 1.6.2018 veräußert U das Grundstück für netto 700 000 € an den Investor X, der die Wohnung im 2. Obergeschoss für Privatzwecke selbst nutzt, da U noch vor der Veräußerung an X in sein eigenes Einfamilienhaus umgezogen ist. Investor X vermietet wie bisher die Kanzleiräume im 1. Obergeschoss stpfl. an Steuerberater S und vermietet das Erdgeschoss als Herrenausstattungsgeschäft stpfl. an den bisherigen Grundstückseigentümer U.
U hat im notariell beurkundeten Grundstückskaufvertrag in zutreffender Höhe auf die Steuerbefreiung des § 4 Nr. 9 Buchst. a UStG verzichtet. X erklärt im Kaufvertrag, dass er das gesamte Grundstück zulässigerweise seinem Unternehmen zuordnen wird. Diese Zuordnungsentscheidung erfolgt auch durch eine schriftliche Erklärung gegenüber dem Finanzamt nach Abschn. 15.2c Abs. 18 UStAE.
Lösung 5:
U verwendet das Gebäude ab dem 1.8.2012 erstmalig wie von Anfang an beabsichtigt zu (120 qm : 480 qm × 100 =) 25 % privat und zu 75 % vorsteuerunschädlich für unternehmerische Zwecke. Die Vermietung an den Steuerberater S ist nach § 4 Nr. 12 Satz 1 Buchst. a UStG steuerfrei. U kann bei der Vermietung der Kanzleiräume auf die Steuerbefreiung verzichten, weil S diese Räume ausschließlich für Umsätze verwendet, die zum Vorsteuerabzug berechtigen (§ 9 Abs. 2 UStG; Abschn. 9.2 Abs. 1 UStAE und dort die Beispiele 1 bis 6).
Bei dem Grundstück des U handelt es sich um ein teilunternehmerisch genutztes Grundstück i.S.d. § 15 Abs. 1b UStG, da es sowohl unternehmerisch als auch unternehmensfremd (privat) genutzt wird (Abschn. 15.6a Abs. 1 Satz 1 i.V.m. Abs. 2 UStAE). § 15 Abs. 1b UStG stellt eine Vorsteuerabzugsbeschränkung dar, die nicht das Zuordnungswahlrecht des Unternehmers nach § 15 Abs. 1 UStG berührt (s.a. Abschn. 15.2c Abs. 18 UStAE). Ist bei der Anschaffung oder Herstellung eines Gebäudes ein Vorsteuerabzug u.a. nach § 15 Abs. 1b UStG (teilweise) nicht möglich, kann der Unternehmer durch eine gegenüber dem Finanzamt abgegebene schriftliche Erklärung dokumentieren, in welchem Umfang er das Gebäude dem Unternehmen zugeordnet hat, wenn sich aus dem Umfang des geltend gemachten Vorsteuerabzugs nicht ergibt, mit welchem Anteil das Gebäude dem Unternehmen zugeordnet wurde (Abschn. 15.2c Abs. 18 UStAE). Lt. Sachverhalt hat U das gesamte Grundstück seinem Unternehmen zugeordnet.
Für die Aufteilung von Vorsteuerbeträgen für Zwecke des § 15 Abs. 1b UStG gelten die Grundsätze des § 15 Abs. 4 UStG entsprechend (Abschn. 15.6a Abs. 4 UStAE). Aus der insgesamt in Rechnung gestellten USt i.H.v. 152 000 € sind damit 75 % = 114 000 € abziehbar, bzw. 25 % = 38 000 € nach § 15 Abs. 1b UStG nicht abziehbar (unternehmensfremde Nutzung). Die abziehbare Vorsteuer i.H.v. 114 000 € entfällt insgesamt auf vorsteuerunschädliche Ausgangsumsätze, so dass eine Aufteilung nach § 15 Abs. 4 UStG (Abschn. 15.17 Abs. 7 ff. UStAE) nicht in Betracht kommt.
Die Grundstücksveräußerung im Kj. 2018 ist nach § 4 Nr. 9 Buchst. a UStG steuerfrei. Unter den Voraussetzungen des § 9 Abs. 1 und 3 UStG kann U auf die Steuerbefreiung des § 4 Nr. 9 Buchst. a UStG verzichten. Voraussetzung für einen Verzicht auf die Steuerbefreiungen ist, dass steuerbare Umsätze von einem Unternehmer im Rahmen seines Unternehmens an einen Unternehmer für dessen Unternehmen ausgeführt werden bzw. eine entsprechende Verwendungsabsicht besteht. Diese Verwendungsabsicht muss der Unternehmer objektiv belegen und in gutem Glauben erklären. Eine Option ist nicht zulässig, soweit der leistende Unternehmer den Gegenstand der Leistung oder der Leistungsempfänger die erhaltene Leistung zulässigerweise anteilig nicht seinem Unternehmen zugeordnet hat oder zuordnen konnte (Abschn. 9.1 Abs. 5 UStAE).
Der Verzicht auf die Steuerbefreiung kann bei der Lieferung eines Grundstücks auf Teile begrenzt werden (Teiloption). Eine Teiloption kommt z.B. bei der Gebäudelieferung, insbesondere bei unterschiedlichen Nutzungsarten der Gebäudeteile, in Betracht (Abschn. 9.1 Abs. 6 Satz 1 und 2 und Abschn. 9.2 Abs. 1 Satz 2 UStAE). Bei der Lieferung von Gebäuden oder Gebäudeteilen und dem dazugehörigen Grund und Boden kann die Option für eine Besteuerung nur zusammen für die Gebäude oder Gebäudeteile und den dazugehörigen Grund und Boden ausgeübt werden (Abschn. 9.1 Abs. 6 Satz 4 UStAE).
Wie bereits oben erwähnt, ist Voraussetzung für einen Verzicht auf die Steuerbefreiungen der in § 9 Abs. 1 UStG genannten Umsätze, dass steuerbare Umsätze von einem Unternehmer im Rahmen seines Unternehmens an einen Unternehmer für dessen Unternehmen ausgeführt werden bzw. eine entsprechende Verwendungsabsicht besteht (BFH Urteil vom 17.5.2001, V R 38/00, BStBl II 2003, 434 und Abschn. 9.1 Abs. 5 Satz 1 UStAE). Hinsichtlich der Veräußerung des Gebäudeteils 1. Obergeschoss (Kanzleiräume) handelt es sich um eine nichtsteuerbare Geschäftsveräußerung i.S.d. § 1 Abs. 1a UStG.
Voraussetzung für die Geschäftsveräußerung gem. § 1 Abs. 1a Satz 2 UStG ist, dass ein Unternehmen oder ein in der Gliederung eines Unternehmens gesondert geführter Betrieb im Ganzen entgeltlich oder unentgeltlich übereignet oder in eine Gesellschaft eingebracht wird. § 1 Abs. 1a UStG ist entsprechend Art. 19 MwStSystRL richtlinienkonform auszulegen (vgl. BFH Urteil vom 6.7.2016, XI R 1/15, BStBl II 2016, 909, Rz. 29). Die Bestimmung des Art. 19 MwStSystRL erfasst die Übertragung von Geschäftsbetrieben und von selbstständigen Unternehmensteilen, die als Zusammenfassung materieller und immaterieller Bestandteile ein Unternehmen oder einen Unternehmensteil bilden, mit dem eine selbstständige wirtschaftliche Tätigkeit fortgeführt werden kann. Der Erwerber muss außerdem beabsichtigen, den übertragenen Geschäftsbetrieb oder Unternehmensteil zu betreiben. Nicht begünstigt ist die sofortige Abwicklung der übernommenen Geschäftstätigkeit. Die an S vermieteten Kanzleiräume sind ein selbstständiger Unternehmensteil (BFH Urteil vom 6.7.2016, XI R 1/15, BStBl II 2016, 909, Rz. 34). Der in Art. 19 MwStSystRL verwendete Begriff des Teilvermögens, das Gegenstand einer Geschäftsveräußerung sein kann, verlangt bei teilweiser Vermietung eines Grundstücks nicht, dass der vermietete Grundstücksteil ein »zivilrechtlich selbstständiges Wirtschaftsgut« ist. Die Prüfung der Voraussetzungen der Geschäftsveräußerung beschränkt sich auf das jeweils übertragene Teilvermögen, ohne dass es auf daneben erfolgte, weitere Übertragungsvorgänge ankommt (BFH Urteil vom 6.7.2016, XI R 1/15, BStBl II 2016, 909, Rz. 42).
Für die Übertragung des Gebäudeteils 1. Obergeschoss (Kanzleiräume) fällt keine Umsatzsteuer an, da es sich um einen nichtsteuerbaren Umsatz im Rahmen einer Geschäftsveräußerung handelt.
Die Übertragung des Gebäudeteils Erdgeschoss (Geschäftsräume) stellt keine Teilgeschäftsveräußerung i.S.d. § 1 Abs. 1a UStG dar, da der Erwerber X nicht das Unternehmen des Veräußerers U – die Herrenausstattung – fortführt, sondern erstmals den bisher durch U eigenunternehmerisch genutzten Gebäudeteil an diesen vermietet.
Die Übertragung des Gebäudeteils 2. Obergeschoss (eigengenutzte Wohnräume) stellt ebenfalls keine Teilgeschäftsveräußerung i.S.d. § 1 Abs. 1a UStG dar. Voraussetzung einer Teilbetriebsveräußerung ist u.a. dann gegeben, wenn der veräußerte Teil des Unternehmens vom Erwerber als selbstständiges Unternehmen fortgeführt werden kann. Die Nutzung der Räumlichkeiten zu eigenen privaten Wohnzwecken stellt eine nichtunternehmerische, genauer eine unternehmensfremde Tätigkeit, dar (Abschn. 2.3 Abs. 1a UStAE). Eine nichtunternehmerische Tätigkeit kann nicht als wesentliche Grundlage einer Geschäftsveräußerung im Ganzen übertragen werden (s.a. Abschn. 1.5 Abs. 1 UStAE).
Wird ein insgesamt dem Unternehmensvermögen zugeordnetes teilunternehmerisch genutztes Grundstück, das nach § 15 Abs. 1b UStG nur teilweise zum Vorsteuerabzug berechtigt hat, veräußert, unterliegt der Umsatz im vollen Umfang der USt, wenn auf die Steuerbefreiung nach § 4 Nr. 9 Buchst. a UStG wirksam verzichtet wird. Es liegt insoweit eine Änderung der Verhältnisse vor, die zu einer Vorsteuerberichtigung nach § 15a UStG führt (Abschn. 15.6a Abs. 6 UStAE mit Beispiel 2 und 5; § 15a Abs. 8 Satz 2 UStG, vgl. Abschn. 15a.2 Abs. 2 Satz 3 Nr. 2 UStAE).
Für die Übertragung des Gebäudeteils 1. Obergeschoss, die im Rahmen einer Teilgeschäftsveräußerung im Ganzen i.S.d. § 1 Abs. 1 UStG erfolgt, kommt eine Option nicht in Betracht (s.a. Abschn. 9.1 Abs. 3 Satz 2 UStAE). Zur vorsorglichen Optionserklärung im notariellen Kaufvertrag s. Abschn. 9.1 Abs. 3 Satz 3 und 4 UStAE.
Da die Lieferung des Gebäudeteils 1. Obergeschoss im Rahmen einer nichtsteuerbaren Geschäftsveräußerung i.S.d. § 1 Abs. 1a UStG erfolgt, handelt es sich nicht um eine Änderung der Verhältnisse i.S.d. § 15a UStG (§ 15a Abs. 10 UStG; Abschn. 15a.10 Satz 1 Nr. 1 und Satz 2 und 3 UStAE). Die auf die nichtsteuerbare Teilgeschäftsveräußerung entfallende Vorsteuer i.H.v. 50 666,16 € (s.u.). bleibt bei der Vorsteuerberichtigung des U unberücksichtigt.
Zu beachten ist, dass nach § 15a Abs. 10 i.V.m. § 1 Abs. 1a Satz 3 UStG der Erwerber X an die Stelle des Veräußerers U tritt. X führt die Vorsteuer des U für das 1. Obergeschoss fort. Dafür ist der Veräußerer U verpflichtet, dem Erwerber X die für die Durchführung der eventuellen Vorsteuerberichtigung erforderlichen Angaben zu machen. Danach verbleiben beim Erwerber X anteilige Anschaffungskosten des U aus dem Jahr 2012 i.H.v. 800 000 € × (160/480 × 100 =) 33,333 % = 266 664 € und eine zu überwachende Vorsteuer von (19 % von 266 664 € =) 50 666,16 €.
Für die bei U durchzuführende Vorsteuerberichtigung i.S.d. § 15a UStG bleibt der Grundstücksteil von 160 qm, der auf die nichtsteuerbare Teilgeschäftsveräußerung entfällt, außer Ansatz.
Die zu 100 % steuerpflichtige Veräußerung (Erdgeschoss und 2. Obergeschoss) am 1.6.2018 führt zu einer Änderung der Verhältnisse nach § 15a Abs. 8 UStG, da das Gebäude mit Fertigstellung zu 62,50 % (200 qm : 320 qm) zum Vorsteuerabzug berechtigt hat. Nach § 15a Abs. 9 UStG ist bis zum Ende des Berichtigungszeitraums von einer 100,00 %-igen stpfl. Verwendung auszugehen.
|
Insgesamt in Rechnung gestellte USt für die Herstellung des Gebäudes: |
152 000,00 € |
|
|
abzgl. anteilige Vorsteuer, die auf den Erwerber X übergeht (§ 15a Abs. 10 i.V.m. § 1 Abs. 1a Satz 3 UstG) |
./. 50 666,16 € |
|
|
verbleibt eine zu überwachende Vorsteuer |
101 333,84 € |
|
|
Ursprünglicher Vorsteuerabzug: 101.333,34 € × (200 : 320 =) 62,50 % = |
./. 63 333.34 € |
|
|
Zeitpunkt der erstmaligen Verwendung: |
1.8.2012 |
|
|
Dauer des Berichtigungszeitraums: |
1.8.2012 bis 31.7.2022 |
|
|
Änderung der Verhältnisse durch den Verkauf ab 1.6.2018, insgesamt |
50 Monate |
|
|
bisher nicht berücksichtigte Vorsteuer |
38 000,50 € |
|
|
davon 100 % für 50 Monate von 120 Monaten zu berücksichtigen |
38 000,50 € : 120 × 50 |
|
|
Vorsteuerberichtigung zu Gunsten nach § 15a Abs. 1 UStG |
15 833,54 € |
|
3.10. Änderung der Verhältnisse bei Einräumung eines Miteigentumsanteils an einem Grundstück
Zur Vorsteuerberichtigung nach § 15a UStG bei Einräumung eines Miteigentumsanteils an einem zu eigenunternehmerischen Zwecken genutzten Grundstücksteil hat der BFH mit Urteil vom 22.11.2007 (V R 5/06, BStBl II 2008, 448) entschieden, dass die Einräumung eines Mitunternehmeranteils dann zu keiner Änderung der Verhältnisse führt, wenn der bisherige Alleineigentümer auch als Miteigentümer in Bruchteilsgemeinschaft insoweit zum Vorsteuerabzug berechtigt bleibt, als seine eigenunternehmerische Nutzung seinen quotalen Miteigentumsanteil am Grundstück nicht übersteigt (s.a. Abschn. 15a.2 Abs. 4 UStAE sowie → Grundstücksgemeinschaften).
Beispiel 6:
Unternehmer U überträgt seiner Ehefrau unentgeltlich einen Miteigentumsanteil i.H.v. 20 % an einem Grundstück, das er bisher zu 30 % steuerfrei vermietet (Mieteinnahmen 20 000 €/Kj.) und zu 70 % für sein Einzelunternehmen genutzt hat. Die Ehegatten treten gemeinschaftlich in den bestehenden Mietvertrag ein. Abgesehen von der Übertragung des Miteigentumsanteils haben die Ehegatten keine Vereinbarungen getroffen; insbesondere gründen sie keine gesonderte GbR. U nutzt den betrieblichen Anteil weiterhin wie bisher. Für die Aufwendungen für das Grundstück i.H.v. 10 000 €/Kj. (ohne AfA) wurden insgesamt 1 500 € USt gesondert ausgewiesen. Davon entfallen 600 € auf den steuerfrei vermieteten Teil, 700 € auf den unternehmerisch genutzten Teil und 200 € betreffen das gesamte Grundstück.
Lösung 6:
S.a. Sachverhalt 6 der Vfg. der OFD Niedersachsen vom 16.9.2011 (S 7109 – 10 – St 172, DStR 2011, 2467, LEXinform 5233511).
Bis zur Einräumung des Miteigentumsanteils war das gesamte Grundstück Unternehmensvermögen und die Vorsteuer zu 100 % abziehbar (§ 15 Abs. 1 Nr. 1 UStG). Nach § 15 Abs. 4 UStG waren davon 30 % der Vorsteuerbeträge nach § 15 Abs. 2 Nr. 1 UStG nicht abzugsfähig (→ Vorsteuerabzug) bzw. 70 % abzugsfähig.
Der Ehemann erbringt mit der Übertragung des Miteigentumsanteils (20 %) auf die Ehefrau grundsätzlich eine steuerbare und nach § 4 Nr. 9 Buchst. a steuerfreie Wertabgabe i.S.d. § 3 Abs. 1b Nr. 1 UStG (Abschn. 3.3 Abs. 8 Satz 2 i.V.m. Abschn. 4.9.1 Abs. 2 Nr. 2 UStAE). Ein Verzicht auf die Steuerbefreiung ist nicht möglich. Da die bestehende Vermietungstätigkeit auch nach der Übertragung des Miteigentumsanteils fortgesetzt wird, handelt es sich bei der Übertragung des Miteigentumsanteils um eine nicht steuerbare unentgeltliche Geschäftsveräußerung i.S.d. § 1 Abs. 1a Satz 1 und 2 UStG, die keine Vorsteuerkorrektur nach § 15a UStG auslöst. Die erwerbende Ehefrau tritt an die Stelle des Veräußerers (§ 1 Abs. 1a Satz 3 UStG). Dadurch wird der maßgebliche Berichtigungszeitraum nicht unterbrochen (§ 15a Abs. 10 UStG).
Durch die Übertragung des Miteigentumsanteils entsteht kraft Gesetzes eine Bruchteilsgemeinschaft (§ 741 BGB), die gleichzeitig mit ihrer Entstehung in den bestehenden Mietvertrag eintritt (§ 744 Abs. 1 BGB). Die Bruchteilsgemeinschaft führt das Vermietungsunternehmen des Ehemanns fort und ist damit Unternehmer i.S.d. § 2 UStG (s. BFH Urteil vom 25.3.1993, V R 42/89, BStBl II 1993, 729). Sie hat die Mieteinnahmen umsatzsteuerrechtlich als steuerfreie Umsätze aufzuzeichnen.
Hinsichtlich des eigenunternehmerisch genutzten Grundstücksteils treten beim Ehemann keine umsatzsteuerlichen Folgen ein. Eine Vorsteuerberichtigung i.S.d. § 15a UStG scheidet aus, da er als Miteigentümer in Bruchteilsgemeinschaft insoweit vorsteuerabzugsberechtigt bleibt. Denn die eigenunternehmerische Nutzung i.H.v. 70 % leitet sich aus seinem Miteigentumsanteil ab und sein Miteigentumsanteil (80 %) übersteigt den für eigenunternehmerische Zwecke genutzten Grundstücksteil i.H.v. 70 % (Abschn. 15a.2 Abs. 4 UStAE i.V.m. BFH Urteil vom 22.11.2007, V R 5/06, BStBl II 2008, 448). Die Vorsteuer bleibt weiterhin zu 70 % abzugsfähig.
Eine unentgeltliche Nutzungsüberlassung von der Ehefrau an den Ehemann liegt hinsichtlich des eigenbetrieblichen Anteils nicht vor, da dieser sein Nutzungsrecht aus seinem Miteigentumsanteil und nicht von der Gemeinschaft ableitet (Abschn. 3.3 Abs. 8 Satz 3 UStAE).
Bei der Ehefrau sind keine Folgen aus der Übertragung des Miteigentumsanteils zu ziehen. Umsatzsteuerrechtlicher Vermietungsunternehmer ist die Bruchteilsgemeinschaft (s.o.).
Abwandlung:
U überträgt einen Anteil von 50 % auf seine Ehefrau.
Lösung Abwandlung:
Durch die Übertragung des 50 %igen Miteigentumsanteils entsteht kraft Gesetzes eine Bruchteilsgemeinschaft, die gleichzeitig mit ihrer Entstehung in den bestehenden Mietvertrag eintritt (§§ 741 und 744 BGB). Die Bruchteilsgemeinschaft führt das Vermietungsunternehmen des Ehemanns fort und ist damit Unternehmer i.S.d. § 2 UStG (s.a. BFH Urteil vom 25.3.1993, V R 42/89, BStBl II 1993, 729). Sie hat die Mieteinnahmen umsatzsteuerrechtlich als steuerfreie Umsätze aufzuzeichnen.
Hinsichtlich der Übertragung des vermieteten Grundstücksteils (30 %) liegt beim Ehemann eine nicht steuerbare Geschäftsveräußerung im Ganzen i.S.d. § 1 Abs. 1a UStG vor, die keine Vorsteuerkorrektur nach § 15a UStG auslöst. Nach § 15a Abs. 10 UStG wird der maßgebliche Berichtigungszeitraum nicht unterbrochen.
Der Ehemann erbringt mit der Übertragung des eigenunternehmerisch genutzten Miteigentumsanteils (20 %) auf die Ehefrau eine steuerbare, aber grundsätzlich nach § 4 Nr. 9 Buchst. a steuerfreie Wertabgabe i.S.d. § 3 Abs. 1b Nr. 1 UStG (Abschn. 3.3 Abs. 8 Satz 2 i.V.m. Abschn. 4.9.1 Abs. 2 Nr. 2 UStAE). Ein Verzicht auf die Steuerbefreiung ist nicht möglich. Hinsichtlich des eigenunternehmerisch genutzten Grundstücksteils tritt beim Ehemann bezüglich des den Miteigentumsanteil übersteigenden Nutzungsanteils von 20 Prozentpunkten eine Änderung der Verhältnisse ein. Die Vorsteuerabzugsberechtigung des Ehemanns leitet sich aus seinem verbleibenden Miteigentumsanteil von lediglich 50 % ab (Abschn. 15.2b Abs. 1 Satz 11 UStAE). Die steuerfreie unentgeltliche Wertabgabe i.S.d. § 3 Abs. 1b Nr. 1 UStG führt somit zu einer Vorsteuerberichtigung nach § 15a Abs. 8 i.V.m. Abs. 1 und 5 UStG (Abschn. 15a.2 Abs. 6 Nr. 3 Buchst. c UStAE). Bis zum Ende des Berichtigungszeitraums ist die Vorsteuer um 20 Prozentpunkte zu Ungunsten des U zu berichtigen.
Da der für eigenunternehmerische Zwecke genutzte Grundstücksteil (70 %) den verbleibenden Miteigentumsanteil (50 %) übersteigt, liegt insoweit eine steuerfreie (§ 4 Nr. 12 Buchst. a UStG) unentgeltliche Wertabgabe (§ 3 Abs. 9a Nr. 1 UStG) von der Ehefrau an den Ehemann vor. Denn die Verwendung beruht hier nicht auf der Zuordnungsentscheidung des Ehemanns, sondern auf der Entscheidung der Ehefrau, ihm das Grundstück unentgeltlich zu überlassen. Die Überlassung des Miteigentumsanteils an den Ehemann für sein Einzelunternehmen erfolgt unentgeltlich, sodass die Ehefrau hieraus keine Einnahmen erzielt und nicht unternehmerisch tätig wird. Vermietungsunternehmerin ist die entstandene Bruchteilsgemeinschaft und nicht die Ehefrau als Teilhaber.
Beachte:
Mit Urteil vom 22.11.2018 (V R 65/17, BFH/NV 2019, 359, LEXinform 0951786) hat der BFH unter Aufgabe seiner bisherigen Rechtsprechung entschieden, dass eine Bruchteilsgemeinschaft nicht Unternehmer sein kann. Stattdessen sollen die Gemeinschafter als jeweilige Unternehmer anteilig von ihnen zu versteuernde Leistungen erbringen (s.a. Pressemitteilung Nr. 5/2019 vom 6.2.2019, LEXinform 0449319).
Nach dem EuGH-Urteil vom 16.9.2020 (C-312/19, LEXinform 5217160) muss auch bei einer Bruchteilsgemeinschaft geprüft werden, ob die wirtschaftliche Tätigkeit mehrwertsteuerrechtlich ihr oder den Gemeinschaftern zuzurechnen ist. Die Tätigkeit ist nicht mangels Rechtspersönlichkeit der Gemeinschaft zwingend den Gemeinschaftern zuzurechnen (s.a. → Vorsteuerabzug unter dem Gliederungspunkt »Nichtunternehmereigenschaft einer Bruchteilsgemeinschaft«).
Mit Art. 16 Nr. 2 des JStG 2022 vom 16.12.2022 (BGBl I 2022, 2294) wird § 2 Abs. 1 Satz 1 UStG neu gefasst: »Unternehmer ist, wer eine gewerbliche oder berufliche Tätigkeit selbstständig ausübt, unabhängig davon, ob er nach anderen Vorschriften rechtsfähig ist.«
Die Regelung stellt klar, dass die Unternehmereigenschaft i.S.d. Umsatzsteuerrechts unabhängig davon bestehen kann, ob der Handelnde nach anderen Vorschriften rechtsfähig ist. Unternehmer können daher auch nicht rechtsfähige Personengemeinschaften, wie z.B. Bruchteilsgemeinschaften sein. Die Regelung dient der Herstellung von Rechtssicherheit und Rechtsklarheit (BT-Drs. 20/4729, 166).
3.11. Nachträgliche Berufung auf Steuerfreiheit nach EU-Recht
Mit Urteil vom 15.9.2011 (V R 8/11, BStBl II 2012, 368) hat der BFH entschieden, dass die Vorsteuer zu berichtigen ist, wenn sich der Unternehmer nachträglich auf eine im nationalen Recht nicht vorgesehene Steuerbefreiung des Unionsrechts beruft (s.a. BFH Urteil vom 19.10.2011, XI R 16/09, BStBl II 2021, 371).
Sind Ausgangsumsätze nach nationalem Recht steuerpflichtig, besteht für sie nach dem Unionsrecht jedoch eine Steuerbefreiung, kann die auf Eingangsumsätze entfallende USt nur dann nicht als Vorsteuer abgezogen werden, wenn sich der Unternehmer auf die unionsrechtliche Steuerbefreiung beruft. Beruft sich der Unternehmer nicht auf die unionsrechtliche Steuerbefreiung, sind die Umsätze nach nationalem Recht steuerpflichtig und die Vorsteuer wurde zu Recht abgezogen. Es liegt somit keine rechtsfehlerhafte Beurteilung des Vorsteuerabzugs im Abzugsjahr vor. Beruft sich der Unternehmer in einem Folgejahr auf eine unionsrechtliche Steuerbefreiung, liegt eine Änderung der Verhältnisse i.S.d. § 15a UStG vor. Der Vorsteuerabzug kann im Folgejahr auch dann geändert werden, wenn das Abzugsjahr noch änderbar ist (BFH vom 15.9.2011, V R 8/11, BStBl II 2012, 368).
Zur Vorsteuerberichtigung bei einer Berufung auf eine gemeinschaftsrechtliche Steuerbefreiung s.a. die Vfg. der OFD Karlsruhe vom 29.2.2016 (S 7316 – Karte 3, UR 2016, 534, LEXinform 5236011).
3.12. Zusammenfassende Übersicht
Zur nachfolgenden Übersicht s.a. das Schaubild in Abschn. 15.2b Abs. 2 Satz 8 UStAE.

Abb.: Vorsteuerberichtigung bei Änderung der unternehmerischen Nutzung
Hinweis:
Zur »Einlagenentsteuerung« s.o. die Erläuterungen unter dem Gliederungspunkt »Auswirkung der EuGH-Entscheidung vom 25.7.2018 (C-140/17)«. Der EuGH hat mit Urteil vom 25.7.2018 (C-140/17, UR 2018, 687, LEXinform 0651568) zur Vorsteuerberichtigung für ein Investitionsgut, das zunächst nur für nichtbesteuerte Tätigkeiten genutzt wird (Vorsteuerberichtung nach einer Einlage) Stellung genommen.
4. Berichtigung nach § 15a Abs. 1 UStG
4.1. Betroffene Wirtschaftsgüter
Nach Art. 187 MwStSystRL sind von der Vorsteuerberichtigung Investitionsgüter betroffen. Es handelt sich dabei um Gegenstände, die für Zwecke einer wirtschaftlichen Tätigkeit genutzt werden und durch ihre Langlebigkeit und ihren Wert gekennzeichnet sind. Die Anschaffungskosten dafür werden regelmäßig nicht als laufende Kosten verbucht, sondern über mehrere Jahre hinweg abgeschrieben (EuGH Urteil vom 1.2.1977, C-51/76, UR 1977, 92).
Von der Vorsteuerberichtigung des § 15a Abs. 1 UStG betroffen sind WG, die nicht nur einmalig zur Ausführung von Umsätzen verwendet werden und damit im Ergebnis einkommensteuerrechtliches → Anlagevermögen darstellen. Sofern die WG nicht zu einem Betriebsvermögen gehören, handelt es sich um entsprechende WG (Abschn. 15a.1 Abs. 2 Nr. 1 Satz 1 bis 3 UStAE). Die ertragsteuerliche Beurteilung als Anlagevermögen oder Umlaufvermögen ist umsatzsteuerrechtlich nicht entscheidend (BFH Urteil vom 24.9.2009, V R 6/08, BStBl II 2010, 315, Abschn. 15a.1 Abs. 2 Nr. 1 Satz 3 UStAE). Wörtlich heißt es im BFH-Urteil V R 6/08: »Für die Frage, ob ein längerfristig nutzbares Wirtschaftsgut i.S.d. § 15a UStG vorliegt, kommt es nicht entscheidend darauf an, ob das Wirtschaftsgut auch ertragsteuerrechtlich als Umlaufvermögen zu qualifizieren ist. Die ertragsteuerrechtliche Qualifikation als Anlage- oder Umlaufvermögen, die nach § 247 Abs. 2 HGB erfolgt und u.a. materiell von Bedeutung für das Aktivierungsverbot des § 248 Abs. 2 HGB, die Abschreibungsregeln des § 253 Abs. 2 HGB und die Anwendung des strengen Niederstwertprinzips des § 253 Abs. 3 Satz 1 und 2 HGB ist, folgt anderen Regeln. Bei der Unterscheidung zwischen Anlage- und Umlaufvermögen handelt es sich vielmehr nur um Hilfsbegriffe, die umsatzsteuerrechtlich den Blick auf die entscheidende Zahl der Verwendungsumsätze nicht verstellen dürfen.«
Es können auch immaterielle WG sein, die Gegenstand einer Lieferung sind (z.B. bestimmte Computerprogramme oder Mietereinbauten). Zur Übertragung immaterieller WG als sonstige Leistung s.a. Abschn. 3.1 Abs. 4 Satz 2 UStAE und zur Abgrenzung zwischen Lieferungen und sonstigen Leistungen s. Abschn. 3.5 UStAE sowie → Sonstige Leistung unter dem Gliederungspunkt »Übertragung von Miteigentumsanteilen«.
4.2. Beginn und Dauer des Berichtigungszeitraums
4.2.1. Berichtigungszeitraum von fünf bzw. zehn Jahren
Der Zeitraum, für den eine Berichtigung des Vorsteuerabzugs durchzuführen ist, beträgt grundsätzlich volle fünf Jahre ab dem Beginn der erstmaligen tatsächlichen Verwendung. Er verlängert sich bei Grundstücken einschließlich ihrer wesentlichen Bestandteile, bei Berechtigungen, für die die Vorschriften des bürgerlichen Rechts über Grundstücke gelten, und bei Gebäuden auf fremdem Grund und Boden auf volle zehn Jahre (§ 15a Abs. 1 Satz 2 UStG). Der Berichtigungszeitraum von zehn Jahren gilt auch für Betriebsvorrichtungen, die als wesentliche Bestandteile auf Dauer in ein Gebäude eingebaut werden (vgl. BFH Urteil vom 14.7.2010, XI R 9/09, BStBl II 2010, 1086; Abschn. 15a.3 Abs. 1 Satz 1 bis 3 UStAE; s.a. → Photovoltaikanlage).
4.2.2. Kürzerer Berichtigungszeitraum
Bei WG mit einer kürzeren Verwendungsdauer ist der entsprechend kürzere Berichtigungszeitraum anzusetzen (§ 15a Abs. 5 Satz 2 UStG). Ob von einer kürzeren Verwendungsdauer auszugehen ist, beurteilt sich nach der betriebsgewöhnlichen Nutzungsdauer, die nach ertragsteuerrechtlichen Grundsätzen für das WG anzusetzen ist. § 45 UStDV ist zur Ermittlung des Beginns des Berichtigungszeitraums analog anzuwenden (Abschn. 15a.3 Abs. 1 Satz 4 ff. UStAE; s.u. den Gliederungspunkt »Vorzeitiges Ende des Berichtigungszeitraums«).
4.2.3. Beginn des Berichtigungszeitraums ab Verwendung des Wirtschaftsguts
4.2.3.1. Verwendung zur Erzielung von Umsätzen
Beginn des Berichtigungszeitraums ist der Tag der erstmaligen unternehmerischen Verwendung des WG. Verwendung i.S.d. § 15a UStG ist die tatsächliche Nutzung des Berichtigungsobjekts zur Erzielung von Umsätzen (s.a. Abschn. 15a.2 Abs. 1 Satz 1 und 15a.3 Abs. 2 bis 4 UStAE). Als Verwendung sind auch
-
die Veräußerung,
-
die unentgeltliche Wertabgabe nach § 3 Abs. 1b und 9a UStG und
-
die teilunternehmerische Nutzung eines Grundstücks i.S.d. § 15 Abs. 1b UStG
anzusehen (Abschn. 15a.2 Abs. 1 Satz 2 UStAE).
Eine Änderung der für den Vorsteuerabzug maßgebenden Verhältnisse ab dem Zeitpunkt der erstmaligen tatsächlichen Verwendung im Vergleich zu den für den ursprünglichen Vorsteuerabzug maßgebenden Verhältnisse ist das entscheidende Kriterium für eine Berichtigung des Vorsteuerabzugs nach § 15a UStG (Abschn. 15a.2 Abs. 2 Satz 1 UStAE). Die Berichtigung des Vorsteuerabzugs umfasst bereits das Jahr der erstmaligen Verwendung des Gegenstandes. Verglichen werden auch im Erstjahr der Verwendung die Verhältnisse, die für den ursprünglichen Vorsteuerabzug maßgebend waren. Änderungen der für den Vorsteuerabzug maßgebenden Verhältnisse innerhalb des Erstjahres der Verwendung ergeben sich immer dann, wenn der Vorsteuerabzug systemgerecht nach § 15 UStG in einem früheren Besteuerungszeitraum entsprechend der beabsichtigten Verwendung vorgenommen wurde und die spätere erstmalige Verwendung des Wirtschaftsguts hiervon abweicht (Abschn. 15a.2 Abs. 2 UStAE).
Beispiel 7:
Ein Fabrikant errichtet über die Jahre 01 und 02 ein Gebäude, das er ursprünglich eigengewerblich vorsteuerabzugsberechtigt nutzen wollte. Die in Rechnung gestellten Vorsteuern aus Baukosten, die in diesen Jahren i.H.v. 300 000 € angefallen sind, wurden in diesen Besteuerungszeiträumen in voller Höhe in Anspruch genommen. Ab Fertigstellung im Jahr 03 nutzt der Unternehmer das Gebäude lediglich zu 75 % der Nutzfläche eigengewerblich, der restliche Teil i.H.v. 25 % wird steuerfrei vermietet.
Lösung 7:
S.a. das Beispiel in Abschn. 15a.3 Abs. 3 Satz 1 UStAE.
Im Erstjahr der tatsächlichen Verwendung (03) wird das Gebäude zu 25 % zur Ausführung von Ausschlussumsätzen genutzt. Die Vorsteuer ist nach § 15a Abs. 1 UStG ab der tatsächlichen Verwendung bereits im Jahr 03 zu berichtigen.
|
Insgesamt in Rechnung gestellte USt: |
300 000 €. |
|
Ursprünglicher Vorsteuerabzug: |
300 000 €; entspricht 100 %. |
|
Zeitpunkt der erstmaligen Verwendung: |
1.1.03. |
|
Dauer des Berichtigungszeitraums: |
1.1.03 bis 31.12.12. |
|
Tatsächliche zum Vorsteuerabzug berechtigende Verwendung in 03: |
75 %. |
|
Vorsteuerberichtigung wegen Änderung der Verhältnisse im Vergleich zum ursprünglichen Vorsteuerabzug: |
Vorsteuer zu 75 % abziehbar statt zu 100 %. |
|
Berichtigungsbetrag: |
25 % von 1/10 von 300 000 € = 7 500 € sind zurückzuzahlen. |
4.2.3.2. Unentgeltliche Überlassung
Wird ein dem Unternehmen zugeordnetes WG zunächst unentgeltlich überlassen, beginnt der Berichtigungszeitraum mit der unentgeltlichen Überlassung, unabhängig davon, ob die unentgeltliche Überlassung zu einer steuerbaren unentgeltlichen Wertabgabe führt (Abschn. 15a.3 Abs. 4 UStAE). Bei jedem Leistungsbezug ist zu prüfen, ob der Leistungsbezug für das Unternehmen erfolgt und der Unternehmer beabsichtigt, die Eingangsleistung zur Erzielung von zum Vorsteuerabzug berechtigenden Ausgangsumsätzen zu verwenden. Dabei ist auf die gesamte, im Zeitpunkt des Leistungsbezugs bekannte Verwendungsprognose abzustellen. Eine Verwendung für zunächst unentgeltlich zu erbringende Ausgangsumsätze ist insoweit unschädlich (s.a. Abschn. 15.15 Abs. 1 Beispiel 2 und 3 UStAE).
4.2.4. Ende des Berichtigungszeitraums
4.2.4.1. Ende des Berichtigungszeitraums während eines Kalenderjahres
Endet der maßgebliche Berichtigungszeitraum während eines Kj., sind nur die Verhältnisse zu berücksichtigen, die bis zum Ablauf dieses Zeitraums eingetreten sind (Abschn. 15a.3 Abs. 5 UStAE).
Beispiel 8:
Der Berichtigungszeitraum für ein WG endet am 31.8.01. In diesem Kj. hat der Unternehmer das WG bis zum 30.6. nur zur Ausführung von Abzugsumsätzen und vom 1.7. bis zum 9.10. ausschließlich zur Ausführung nicht zum Vorsteuerabzug berechtigender Umsätze verwendet. Am 10.10.01 veräußert er das WG steuerpflichtig.
Lösung 8:
S.a. das Beispiel in Abschn. 15a.3 Abs. 5 UStAE.
Bei der Berichtigung des Vorsteuerabzugs für das Jahr 01 sind nur die Verhältnisse bis zum 31.8. zu berücksichtigen. Da das WG in diesem Zeitraum sechs Monate für zum Vorsteuerabzug berechtigende und zwei Monate für nicht zum Vorsteuerabzug berechtigende Umsätze verwendet wurde, sind 25 % des auf das Jahr 01 entfallenden Vorsteueranteils nicht abziehbar.
|
6 Monate × 100 % = |
600 |
|
|
2 Monate × 0 % = |
0 |
|
|
600 |
: 8 Monate = 75 % |
Die auf die Zeit ab 1.9.01 entfallende Verwendung und die Veräußerung liegen außerhalb des Berichtigungszeitraums und bleiben deshalb bei der Prüfung, inwieweit eine Änderung der Verhältnisse gegenüber dem ursprünglichen Vorsteuerabzug vorliegt, außer Betracht.
4.2.4.2. Ende des Berichtigungszeitraums innerhalb eines Kalendermonats (§ 45 UStDV)
Endet der Berichtigungszeitraum innerhalb eines Kalendermonats, ist das für die Berichtigung maßgebliche Ende nach § 45 UStDV zu ermitteln (Abschn. 15a.3 Abs. 6 UStAE sowie die jeweiligen Beispiele).
|
Berichtigungszeitraum endet |
|
|
bis zum 15. eines Monats |
ab dem 16. eines Monats |
|
dieser Kalendermonat bleibt für die Berichtigung unberücksichtigt. |
dieser Kalendermonat ist voll zu berücksichtigen. |
|
Der Berichtigungszeitraum beginnt am 1. des Monats, in dem das Wirtschaftsgut erstmals tatsächlich verwendet wird. |
Der Berichtigungszeitraum beginnt am 1. des Folgemonats, nach dem das Wirtschaftsgut erstmals tatsächlich verwendet wird. |
Abb.: Beginn und Ende des Berichtigungszeitraums innerhalb eines Kalendermonats
Beispiel 9:
Unternehmer U hat am 10.1.01 eine Maschine angeschafft, die er zunächst wie geplant ab diesem Zeitpunkt zu 90 % zur Erzielung von Abzugsumsätzen und zu 10 % zur Erzielung von Ausschlussumsätzen verwendet. Die Vorsteuern aus der Anschaffung betragen 80 000 €. Ab dem 1.8.01 nutzt U die Maschine nur noch zu 10 % für zum Vorsteuerabzug berechtigende Umsätze.
Lösung 9:
S.a. Beispiel 1 zu Abschn. 15a.3 Abs. 6 UStAE.
Insgesamt in Rechnung gestellte USt: 80 000 €.
Ursprünglicher Vorsteuerabzug (Ermittlung eines prozentualen Verhältnisses des ursprünglichen Vorsteuerabzugs zum Vorsteuervolumen insgesamt): 72 000 € (90 % von 80 000 €).
Zeitpunkt der erstmaligen Verwendung: 10.1.01.
Dauer des Berichtigungszeitraums: 1.1.01 bis 31.12.05 (nach § 45 UStDV bleibt der Januar 06 für die Berichtigung unberücksichtigt, da der Berichtigungszeitraum vor dem 16.1.06 endet; entsprechend beginnt der Berichtigungszeitraum dann mit dem 1.1.01).
Tatsächliche zum Vorsteuerabzug berechtigende Verwendung im Berichtigungszeitraum:
Jahr 01:
|
Nutzung Januar bis Juli 01: 7 × 90 % = |
630 |
|
|
Nutzung August bis Dezember 01: 5 × 10 % = |
50 |
|
|
680 |
: 12 Monate = 56,7 % |
Änderung der Verhältnisse:
Jahr 01: 33,3 % (56,7 % statt 90 %),
ab Jahr 02: jeweils 80 % (10 % statt 90 %).
Vorsteuerberichtigung pro Jahr: (80 000 €/5 Jahre = 16 000 € pro Jahr).
Jahr 01 = ./. 5 328 € (16 000 € × 33,3 %),
ab Jahr 02 jeweils = ./. 12 800 € (16 000 € × 80 %).
4.2.4.3. Vorzeitiges Ende des Berichtigungszeitraums
Kann ein WG vor Ablauf des Berichtigungszeitraums wegen Unbrauchbarkeit vom Unternehmer nicht mehr zur Ausführung von Umsätzen verwendet werden, endet damit der Berichtigungszeitraum. Das gilt auch für die Berichtigungszeiträume, die für eventuell angefallene nachträgliche Anschaffungs- oder Herstellungskosten bestehen. Eine Veräußerung des nicht mehr verwendungsfähigen WG als Altmaterial bleibt für die Berichtigung des Vorsteuerabzugs unberücksichtigt (Abschn. 15a.3 Abs. 7 UStAE). In diesen Fällen kann für die vorausgegangenen Abschnitte des Berichtigungszeitraums eine Neuberechnung des jeweiligen Berichtigungsbetrags notwendig werden. Die Unterschiedsbeträge, die sich in einem solchen Fall ergeben, können aus Vereinfachungsgründen bei der Steuerfestsetzung für das letzte Jahr des verkürzten Berichtigungszeitraums berücksichtigt werden.
Beispiel 10:
Ein Unternehmer erwirbt eine Maschine, die er ab Anschaffung, dem 1.2.02, sofort in Gebrauch nimmt. Die betriebsgewöhnliche Nutzungsdauer soll fünf Jahre betragen, die Vorsteuer 12 000 €. Die Maschine wird bis zum 30.6.03 für steuerpflichtige Umsätze verwendet, ab 1.7.03 jedoch ausschließlich für steuerfreie Umsätze. Am 31.1.05 wird die Maschine durch einen Betriebsunfall zerstört und als Schrott veräußert.
Lösung 10:
Der Unternehmer kann bei der USt-Veranlagung für das Kj. 02 die gesamte Vorsteuer von 12 000 € abziehen, da er die Maschine zunächst ausschließlich für steuerpflichtige Umsätze nutzt.
Ausgehend von einem fünfjährigen Berichtigungszeitraum kommt im Jahr 03 ein Fünftel = 2 400 € als Überwachungsbetrag in Betracht. Da die Maschine im Jahr 03 sechs Monate für Ausschlussumsätze verwendet wird, würde der Berichtigungsbetrag 6/12 von 2 400 € = 1 200 € betragen. Für die Jahre 04, 05 und 06 ergäben sich jeweils 2 400 € und für den restlichen Berichtigungszeitraum im Jahr 06 (ein Monat) 1/12 von 2 400 € = 200 €.
Infolge des Unfalls steht die Maschine vor Ablauf des regulären Berichtigungszeitraumes nicht mehr zur Verfügung. Dadurch wird eine Neuberechnung des Berichtigungsbetrages erforderlich.
Ausgehend von der Tatsache, dass die Nutzungsdauer nur drei Jahre betrug, ist der Fall wie folgt zu lösen:
Es bleibt beim Abzug von 12 000 € Vorsteuer im Jahr 02. Im Jahr 03 ist jetzt von einem Überwachungsbetrag i.H.v. 1/3 von 12 000 € = 4 000 € auszugehen. Der Berichtigungsbetrag für 03 beträgt dann 6/12 hiervon = 2 000 €. In 04 fallen dann 4 000 € an und für den letzten Monat des Berichtigungszeitraums in 05 beträgt die Berichtigung 1/12 von 4 000 € = 333 €. Der Gesamtberichtigungsbetrag beläuft sich danach auf 6 333 €.
Der Schrottverkauf hat keinen Einfluss, da es sich nicht mehr um dasselbe WG handelt (vgl. Abschn. 15a.3 Abs. 7 Satz 3 UStAE).
4.3. Eigener Berichtigungszeitraum für nachträgliche Anschaffungs- oder Herstellungskosten
Nach § 15a Abs. 6 UStG sind die Absätze 1 bis 5 auf Vorsteuerbeträge, die auf nachträgliche Anschaffungs- oder Herstellungskosten entfallen, sinngemäß anzuwenden. Für nachträgliche Anschaffungs- oder Herstellungskosten, die an einem WG anfallen, das nicht nur einmalig zur Ausführung von Umsätzen verwendet wird, gilt ein gesonderter Berichtigungszeitraum (§ 15a Abs. 6 UStG). Der Berichtigungszeitraum beginnt zu dem Zeitpunkt, zu dem der Unternehmer das in seiner Form geänderte WG erstmalig zur Ausführung von Umsätzen verwendet. Die Dauer bestimmt sich nach § 15a Abs. 1 UStG und beträgt fünf bzw. zehn Jahre. Da es sich hierbei um einen eigenständigen Berichtigungszeitraum handelt, endet der Berichtigungszeitraum für die nachträglichen Anschaffungs- oder Herstellungskosten nicht, wenn der für das betreffende Wirtschaftsgut endet (s.u. sowie das Beispiel zu Abschn. 15a.8 Abs. 1 UStAE).
4.4. Ermittlung des Berichtigungsrahmens
Es muss zunächst die prozentuale Nutzung des WG im Kj. der erstmaligen Verwendung bzw. in den Vorjahren und in einem Folgejahr ermittelt werden. Es ist dabei zu ermitteln:
-
zu wie viel Prozent der Gegenstand im Jahr der erstmaligen Verwendung bzw. in den Vorjahren für vorsteuerunschädliche Ausgangsumsätze genutzt wird und
-
zu wie viel Prozent der Gegenstand in einem Folgejahr für Vorsteuer unschädliche Ausgangsumsätze genutzt wird.
Ergibt sich bei den Prozenten eine Differenz, so liegt eine Änderung der Verhältnisse vor, die zu einer Vorsteuerberichtigung führen kann.
Bei der Errechnung des jeweiligen Prozentsatzes ist von den gesamten Verhältnissen des jeweiligen Kj. auszugehen. Der Vorsteuerberichtigungsbetrag errechnet sich durch Multiplikation der anteiligen auf das Kj. entfallenden Vorsteuer mit der Prozentsatzdifferenz.
Ändern sich im Laufe eines Kj. die Verhältnisse eines WG, das nicht nur einmalig zur Ausführung von Umsätzen verwendet wird, ist maßgebend, wie das WG während dieses gesamten Kj. verwendet wird (Abschn. 15a.2 Abs. 5 UStAE).
Beispiel 11:
Ein Unternehmer erwirbt am 1.3.01 eine Maschine. Die dafür in Rechnung gestellte USt beträgt 25 000 €. Er beabsichtigt zu diesem Zeitpunkt folgende Verwendung der Maschine:
-
bis zum 30.6.01 nur zur Ausführung von zum Vorsteuerabzug berechtigenden Umsätzen
-
und ab dem 1.7.01 ausschließlich zur Ausführung von Umsätzen, die den Vorsteuerabzug ausschließen.
Die tatsächliche Nutzung im Jahr 01 entspricht der Verwendungsabsicht beim Leistungsbezug. Am 1.10.03 veräußert der Unternehmer die Maschine steuerpflichtig.
Lösung 11:
S.a. Beispiel zu Abschn. 15a.2 Abs. 5 UStAE.
Im Jahr 01 kann der Unternehmer im Zeitpunkt des Leistungsbezugs 40 % der auf die Anschaffung der Maschine entfallenden Vorsteuern abziehen, weil er beabsichtigt, die Maschine von den zehn Monaten des Jahres 01 für vier Monate, d.h. zu 40 % für zum Vorsteuerabzug berechtigende und für sechs Monate, d.h. zu 60 % für nicht zum Vorsteuerabzug berechtigende Umsätze zu verwenden. Da die Maschine im Jahr 01 entsprechend dieser Verwendungsabsicht verwendet wurde, ist der Vorsteuerabzug nicht zu berichtigen.
Im Jahr 02 wird die Maschine zu 0 % für Umsätze verwendet, die zum Vorsteuerabzug berechtigen. Damit liegt eine Änderung gegenüber den für den ursprünglichen Vorsteuerabzug (40 %) maßgeblichen Verhältnissen um 40 Prozentpunkte vor. Der Unternehmer muss die Vorsteuern entsprechend anteilig zurückzahlen.
Im Jahr 03 wird die Maschine neun Monate lang für Umsätze verwendet, die den Vorsteuerabzug ausschließen. Die steuerpflichtige Veräußerung am 1.10.03 ist so zu behandeln, als ob die Maschine vom 1.10. bis zum 31.12. für zum Vorsteuerabzug berechtigende Umsätze verwendet worden wäre. Auf das Kalenderjahr 03 bezogen sind 25 % der Vorsteuern abziehbar (von den zwölf Monaten des Jahres 03 berechtigen drei Monate zum Vorsteuerabzug). Gegenüber dem ursprünglichen Vorsteuerabzug haben sich somit die Verhältnisse um 15 Prozentpunkte zu Lasten des Unternehmers geändert. Der Unternehmer muss die Vorsteuern entsprechend anteilig zurückzahlen.
Für die restlichen Kalenderjahre des Berichtigungszeitraums ist die Veräußerung ebenfalls wie eine Verwendung für zu 100 % zum Vorsteuerabzug berechtigende Umsätze anzusehen. Die Änderung der Verhältnisse gegenüber dem ursprünglichen Vorsteuerabzug beträgt somit für diese Kalenderjahre jeweils 60 Prozentpunkte. Der Unternehmer hat einen entsprechend anteiligen nachträglichen Vorsteuerabzug. Die Berichtigung ist bereits für den Voranmeldungszeitraum durchzuführen, in dem die Veräußerung stattgefunden hat (§ 44 Abs. 3 Satz 2 UStDV).
Die Berechnung stellt sich wie folgt dar:
Ursprünglicher Vorsteuerabzug (Ermittlung eines prozentualen Verhältnisses des ursprünglichen Vorsteuerabzugs zum Vorsteuervolumen insgesamt): 10 000 € (40 % von 25 000 €).
Berichtigungszeitraum: 1.3.01–28.2.06.
Tatsächliche zum Vorsteuerabzug berechtigende Verwendung im Berichtigungszeitraum:
Jahr 01:
|
4 Monate × 100 % = |
400 |
|
|
6 Monate × 0 % = |
0 |
|
|
400 |
: 10 Monate = 40 %, keine Berichtigung erforderlich |
Vorsteuerberichtigung wegen Änderung der Verhältnisse im Vergleich zum ursprünglichen Vorsteuerabzug:
Jahr 02:
Vorsteuer zu 0 % abziehbar statt zu 40 %
40 % der auf das Jahr 02 entfallenden Vorsteuer (= 5 000 € × 40 % = 2 000 €) sind zurückzuzahlen.
Jahr 03:
Vorsteuer zu 25 % abziehbar statt zu 40 %
|
9 Monate × 0 % = |
0 |
|
|
3 Monate × 100 % = |
300 |
|
|
300 |
: 12 Monate = 25 % |
15 % der auf das Jahr 03 entfallenden Vorsteuer (= 5 000 € × 15 % = 750 €) sind zurückzuzahlen.
Im Jahr 03 ist aber zugleich die Berichtigung des Vorsteuerabzugs für die Kalenderjahre 04 bis 06 (bis zum Ende des Berichtigungszeitraums am 28.2.06) in einem Betrag vorzunehmen. Für die Jahre 04 und 05 jeweils 60 % (100 % Vorsteuerabzug statt 40 %) und für das Jahr 06 60 % × 2/12 des auf das Kj. entfallenden Berichtigungsbetrags.
Der Berichtigungsbetrag im Jahr 03 beträgt daher insgesamt:
|
Vorsteuerberichtigung zu Lasten aus 03: |
5 000 € |
× 15 % = |
./. 750 € |
|
Vorsteuerberichtigung zu Gunsten aus 04: |
5 000 € |
× 60 % = |
+ 3 000 € |
|
Vorsteuerberichtigung zu Gunsten aus 05: |
5 000 € |
× 60 % = |
+ 3 000 € |
|
Vorsteuerberichtigung zu Gunsten aus 06: |
5 000 € |
× 60 % |
|
|
× 2/12 = |
+ 500 € |
||
|
Gesamtberichtigung in 03 zu Gunsten |
+ 5 750 € |
4.5. Vorsteuerberichtigung bei erst späterer Vorsteuerabzugsberechtigung
Sind die Voraussetzungen für den Vorsteuerabzug nicht schon im Zeitpunkt des Leistungsbezugs, sondern erst nach Beginn der tatsächlichen erstmaligen Verwendung erfüllt, z.B. weil die zum Vorsteuerabzug berechtigende Rechnung vor Beginn der tatsächlichen erstmaligen Verwendung noch nicht vorgelegen hat, kann die Vorsteuer erst abgezogen werden, wenn die Voraussetzungen des § 15 Abs. 1 UStG insgesamt vorliegen. Auch hierbei beurteilt sich die Berechtigung zum Vorsteuerabzug nach der Verwendung im Zeitpunkt des Leistungsbezugs (Abschn. 15.12 UStAE; → Vorsteuerabzug). Von diesen Verhältnissen ist auch bei der Berichtigung auszugehen. Folglich ist im Zeitpunkt des erstmaligen Vorsteuerabzugs gleichzeitig eine eventuell notwendige Berichtigung für die bereits abgelaufenen Teile des Berichtigungszeitraums vorzunehmen (Abschn. 15a.4 Abs. 2 UStAE).
Beispiel 12:
Ein im Jahr 01 neu errichtetes Gebäude, auf das eine Vorsteuer von 50 000 € entfällt, wird im Jahr 02 erstmalig tatsächlich verwendet. Die Rechnung mit der gesondert ausgewiesenen Steuer erhält der Unternehmer aber erst im Jahr 04. Der Unternehmer hat bereits während der Bauphase schlüssig dargelegt, dass er das Gebäude zum Vorsteuerabzug berechtigend vermieten will. Das Gebäude wurde tatsächlich wie folgt verwendet:
-
im Jahr 02 nur zur Ausführung zum Vorsteuerabzug berechtigender Umsätze;
-
im Jahr 03 je zur Hälfte zur Ausführung zum Vorsteuerabzug berechtigender und nicht zum Vorsteuerabzug berechtigender Umsätze;
-
im Jahr 04 nur zur Ausführung nicht zum Vorsteuerabzug berechtigender Umsätze.
Lösung 12:
S.a. das Beispiel 1 in Abschn. 15a.4 Abs. 2 UStAE.
Da der Unternehmer schlüssig dargelegt hat, dass er beabsichtigt, das Gebäude nach der Fertigstellung im Jahr 02 ausschließlich für zum Vorsteuerabzug berechtigende Umsätze zu verwenden, kann er nach § 15 Abs. 1 UStG die Vorsteuer von 50 000 € voll abziehen. Der Abzug ist jedoch erst im Jahr 04 zulässig. Bei der Steuerfestsetzung für dieses Jahr ist dieser Abzug aber gleichzeitig insoweit zu berichtigen, als für die Jahre 03 und 04 eine Änderung der Verhältnisse gegenüber der im Zeitpunkt des Leistungsbezuges dargelegten Verwendungsabsicht eingetreten ist. Diese Änderung beträgt für das Jahr 03 50 % und für das Jahr 04 100 %. Entsprechend dem zehnjährigen Berichtigungszeitraum ist bei der Berichtigung für das Jahr von einem Zehntel der Vorsteuer von 50 000 € = 5 000 € auszugehen. Es sind für das Jahr 03 die Hälfte dieses Vorsteueranteils, also 2 500 €, und für das Jahr 04 der volle Vorsteueranteil von 5 000 € vom Abzug ausgeschlossen. Im Ergebnis vermindert sich somit die bei der Steuerfestsetzung für das Jahr 04 abziehbare Vorsteuer von 50 000 € um (2 500 € + 5 000 € =) 7 500 € auf 42 500 €.
S.a. Beispiel 2 in Abschn. 15a.4 Abs. 2 UStAE.
4.6. Besonderheiten bei Grundstücken
Zur Vorsteuerberichtigung nach § 15a Abs. 1 UStG wegen nachträglicher Nutzungsänderungen s. die Erläuterungen unter → Grundstücksumsätze, Umsatzsteuer.
4.7. Zusammenfassung
Die Tatbestandsmerkmale des § 15a Abs. 1 UStG lassen sich wie folgt zusammenfassen:
-
der Unternehmer muss ein WG angeschafft oder hergestellt haben, das dem Unternehmen dauernd oder längerfristig dienen soll;
-
die Vorsteuer aus der Anschaffung oder Herstellung des WG muss nach § 15 UStG (anteilig) abziehbar sein;
-
für die Anschaffung oder Herstellung dieses WG müssen insgesamt Vorsteuern nach § 15 Abs. 1 UStG i.H.v. mehr als 1 000 € angefallen sein (§ 44 Abs. 1 UStDV; Abschn. 15a.11 UStAE);
-
innerhalb dem von § 15a UStG vorgegebenen Berichtigungsrahmen müssen sich die Umstände geändert haben, die für den ursprünglichen Vorsteuerabzug maßgebend waren;
-
die Änderung der Nutzungsverhältnisse muss gewichtig sein (§ 44 Abs. 2 UStDV).
5. Berichtigung bei Wirtschaftsgütern, die nur einmalig zur Ausführung eines Umsatzes verwendet werden
5.1. Allgemeiner Überblick
Durch § 15a Abs. 2 UStG werden alle WG erfasst, die nur einmalig zur Ausführung von Umsätzen verwendet werden. Dies betrifft im Wesentlichen die WG, die einkommensteuerrechtlich → Umlaufvermögen darstellen. Ertragsteuerrechtliches Anlagevermögen kann ebenfalls betroffen sein, wenn es veräußert oder entnommen wird, bevor es zu anderen Verwendungsumsätzen gekommen ist (Abschn. 15a.1 Abs. 2 Nr. 2 UStAE).
Zur Vorsteuerberichtigung von Umlaufvermögen nach § 15a Abs. 2 UStG s. die Vfg. des BayLfSt vom 10.4.2015 (S 7316 2.1 – 3/7 St 33, UR 2015, 448, LEXinform 5235569; Anmerkung vom 28.4.2015, LEXinform 0652626).
5.2. Berichtigungsobjekt
Zur Feststellung des Berichtigungsobjekts ist jeweils auf den Gegenstand abzustellen. Dies gilt auch dann, wenn mehrere Gegenstände gleicher Art und Güte geliefert wurden. Bei der Lieferung vertretbarer Sachen ist hingegen auf die zwischen leistendem Unternehmer und Leistungsempfänger geschlossenen vertraglichen Vereinbarungen im Verwendungszeitpunkt abzustellen (vgl. Abschn. 15a.11 Abs. 1 UStAE; z.B. Getreide, Futter- und Düngemittel). Vieh ist grundsätzlich keine vertretbare Sache. Grundsätzlich ist daher jedes Tier das Berichtigungsobjekt. Das liegt insbesondere dann vor, wenn es beim Verkauf auf einzelne Bestimmungsmerkmale des Tieres ankommt (OFD Karlsruhe vom 29.2. 2016, S 7316 – Karte 4, UR 2017, 35, LEXinform 5236012).
Mit Urteil vom 3.11.2011 (V R 32/10, BStBl II 2012, 525) hat der BFH zum Wirtschaftsgut i.S.d. § 15 Abs. 1 und 2 UStG entschieden, dass das einzelne Ferkel und nicht der erworbene oder veräußerte Bestand an Mastschweinen das Berichtigungsobjekt ist. Ob eine einheitliche Leistung vorliegt, ist aus der Sicht des Durchschnittsverbrauchers zu bestimmen. Aus der Sicht des Durchschnittsverbrauchers ist ein »Wirtschaftsgut« ein Gut, das nach der Verkehrsauffassung selbstständig verkehrsfähig und bewertbar ist. Danach handelt es sich bei den einzelnen Ferkeln jeweils um eigenständige Wirtschaftsgüter. Es ist darauf abzustellen, dass jedem einzelnen Tier im Geschäftsverkehr ein eigener wirtschaftlicher Wert zukommt und es einzeln bewertet wird. Die »Partie« der einzelnen Schweine bildet auch deshalb keine einheitliche Sache (Sachgesamtheit), weil die Tiere für gewöhnlich nicht über die gesamte Nutzungsdauer beieinander bleiben. Die zivilrechtliche Wertung gem. § 90a Satz 1 BGB, dass Tiere keine Sachen sind, sondern nur entsprechend der für Sachen geltenden Vorschriften zu behandeln sind, spricht nach Auffassung des BFH ebenfalls dafür, dass nach Sicht des Durchschnittsverbrauchers einzelne Tiere für sich betrachtet »Wirtschaftsgüter« sind.
Hierfür spricht weiter, dass jeder Erwerbsvorgang gleich behandelt wird. Die Auslegung des FA, die Tiere als Sachgesamtheit zu betrachten, hätte demgegenüber zur Folge, dass bei Lieferungen an den Steuerpflichtigen auf der Grundlage eines Vertrags, in dem die einzelnen Tiere als Liefergegenstände nicht individualisiert wären, stets die Sachgesamtheit (Partie) der Tiere Liefergegenstand und Berichtigungsobjekt wäre (s.a. Abschn. 15a.11 Abs. 1 UStAE). Die Anwendbarkeit des § 44 Abs. 1 UStDV hinge dann davon ab, ob mit den Vorsteuerbeträgen, die auf die jeweils erworbene Anzahl von Tieren entfielen, der Grenzbetrag überschritten würde. Eine solche Auslegung vermag nicht zu überzeugen. Die Auslegung des Merkmals »Wirtschaftsgut« muss den Umständen jedes einzelnen Erwerbsvorgangs gerecht werden.
Das Ergebnis, jedes einzelne Tier als WG zu betrachten, wird schließlich durch die handelsrechtlichen und ertragsteuerlichen Wertungen gestützt. Tiere, die ertragsteuerlich dem Umlaufvermögen zuzurechnen sind, sind grundsätzlich einzeln zu bewerten. Die Möglichkeit, aus Gründen der Praktikabilität bei der Bewertung von Tierbeständen von einer Gruppenbewertung gem. § 240 Abs. 4 HGB Gebrauch machen zu können, führt nicht zu einer Zusammenfassung mehrerer Wirtschaftsgüter zu einem Wirtschaftsgut, sondern lediglich zu einem einheitlichen Wertansatz für mehrere Wirtschaftsgüter.
Die Vorsteuerberichtigung zu Lasten des Klägers hatte im Streitfall gem. § 44 Abs. 1 UStDV zu unterbleiben, da die auf die Anschaffungs- und Herstellungskosten jedes Tieres entfallende Vorsteuer den Betrag von 1 000 € nicht überstieg. Der abweichenden Auffassung des BMF in Abschn. 15a.11. Abs. 1 UStAE, die bei vertretbaren Sachen zur Bestimmung des Wirtschaftsguts auf die vertraglichen Vereinbarungen – den Vertragsgegenstand – zwischen leistendem Unternehmer und Leistungsempfänger abstellt, folgt der BFH jedenfalls für Mastschweine nicht (s.a. Abschn. 15a.11 Abs. 1 Satz 4 UStAE).
Beispiel 13:
Ein Landwirt veräußert zehn Mastschweine an B.
Lösung 13:
Berichtigungsobjekt ist das einzelne Tier (zehn Berichtigungsobjekte nach § 15a Abs. 2 UStG).
Stellt der Unternehmer Erzeugnisse selbst her, ist Berichtigungsobjekt immer das fertige Erzeugnis im Zeitpunkt der Verwendung. Bei der Herstellung sind alle mit dem Herstellungsprozess zusammenhängenden Vorsteuern zu berücksichtigen, mit Ausnahme der Aufwendungen für den Wertverzehr von Anlagegütern (z.B. Abschreibung), da für diese eine Berichtigung des Vorsteuerabzugs nach § 15a Abs. 1 UStG zu prüfen ist (Tz. 5 der Vfg. der OFD Karlsruhe vom 29.2.2016, S 7316 – Karte 4, UR 2017, 35, LEXinform 5236012).
Bei der Anschaffung von Wirtschaftsgütern sind alle mit der Anschaffung zusammenhängenden Aufwendungen zu berücksichtigen. Nachträgliche Anschaffungs- oder Herstellungskosten sind nicht einzubeziehen, da für sie eine eigenständige Berichtigung durchzuführen ist.
Beispiel 14:
Ein Landwirt veräußert 50 dz Wintergerste an den Getreidehändler A, 100 dz an den Getreidehändler B und 100 Mastschweine an den Viehhändler C.
Lösung 14:
Jedes Verkaufsgeschäft ist ein eigenes Berichtigungsobjekt. Beim Verkauf der Mastschweine ist das einzelne Tier das Berichtigungsobjekt (s.a. Beispiele 8 und 9 der Vfg. der OFD Karlsruhe vom 29.2.2016, S 7316 – Karte 4, UR 2017, 35, LEXinform 5236012).
5.3. Einmalige Verwendung der Gegenstände
Unter einmaliger Verwendung ist der Verkauf, die Verarbeitung bestimmter Gegenstände und die unentgeltliche Wertabgabe nach § 3 Abs. 1b UStG zu verstehen (Abschn. 15a.2 Abs. 1 UStAE; s.a. die Beispiele 1 und 2 in Abschn. 15a.5 Abs. 2 UStAE).
5.4. Übersicht über die Änderung der Verhältnisse und den Berichtigungszeitraum
Der Zeitpunkt der tatsächlichen Verwendung ist der Zeitpunkt, an dem mit dem jeweiligen Berichtigungsobjekt ein Umsatz ausgeführt wird, d.h. der Umsatz löst die Vorsteuerberichtigung aus (Tz. 4 der Vfg. des BayLfSt vom 10.4.2015, S 7316 2.1 – 3/7 St 33, UR 2015, 448, LEXinform 5235569). Die Berichtigung ist für den Voranmeldungszeitraum bzw. das Kj. vorzunehmen, in dem das WG abweichend von der ursprünglichen Verwendungsabsicht verwendet wird (Abschn. 15a.5 Abs. 2 UStAE).
Eine Änderung der Verhältnisse i.S.d. § 15a UStG liegt auch beim → Wechsel der Besteuerungsform (von §§ 19, 23, 23a, 24 UStG zur Regelbesteuerung und umgekehrt) vor (vgl. § 15a Abs. 7 UStG; Abschn. 15a.9. UStAE; s.u. den Gliederungspunkt »Änderung der Verhältnisse beim Wechsel der Besteuerungsform«).

Abb.: Änderung der Verhältnisse und Berichtigungszeitraum
Beispiel 15:
Am 1.3.03 erwirbt Unternehmer U ein WG des Umlaufvermögens zur steuerpflichtigen Verwendung für 1 000 € zzgl. 190 € USt. Entgegen den Erwartungen wird das WG am 31.5.05 steuerfrei veräußert.
Lösung 15:
Wegen der steuerfreien Veräußerung ist im Jahr 05 der Vorsteuerabzug auf die Anschaffungskosten i.H.v. 190 € einmalig zu berichtigen. Die Berichtigung ist, losgelöst von einem Berichtigungszeitraum, in dem Besteuerungszeitraum vorzunehmen, in dem das WG tatsächlich verwendet wird. Besteuerungszeitraum ist nach § 16 Abs. 1 UStG grundsätzlich das Kj.
Eine Vorsteuerberichtigung unterbleibt, wenn die auf die Anschaffungs- und Herstellungskosten eines WG entfallende Vorsteuer 1 000 € nicht übersteigt (§ 44 Abs. 1 UStDV).
Beispiel 16:
Unternehmer U betreibt einen gewerblichen Grundstückshandel. Am 1.3.05 erwirbt U steuerpflichtig von einem anderen Unternehmer V ein Dreifamilienhaus für netto 750 000 € unter Hinweis auf § 13b Abs. 2 Nr. 3 UStG. Der Kaufpreis verteilt sich gleichmäßig auf die drei Stockwerke. Nach § 15 Abs. 1 Satz 1 Nr. 4 UStG macht U den Vorsteuerabzug geltend.
U teilt das Gebäude in Teileigentum auf (§ 1 Abs. 3 WEG), um es jeweils an Ingenieure zu veräußern. Aus der Anschaffung macht U den vollen Vorsteuerabzug geltend.
-
Im Kj. 07 kann U nur zwei Wohnungen steuerpflichtig an Ingenieure veräußern. Die dritte Wohnung veräußert er steuerfrei an einen Arzt.
-
Die Veräußerungen erfolgen zehn Jahre nach dem Erwerb. Das Grundstück ist zwischenzeitlich tatsächlich nicht genutzt worden.
Lösung 16:
-
Wegen der steuerfreien Veräußerung ist im Jahr 07 der Vorsteuerabzug auf die Anschaffungskosten anteilig und einmalig zu berichtigen. U muss im Kj. 07 daher (1/3 von 142 500 € =) 47 500 € an das FA zurückzahlen.
-
Da § 15a Abs. 2 UStG keinen Berichtigungszeitraum vorsieht, muss auch hier die Vorsteuer nach § 15a Abs. 2 UStG berichtigt werden. U hat den Vorsteuerbetrag i.H.v. 47 500 € für den Voranmeldungszeitraum der Veräußerung zurückzuzahlen (Abschn. 15a.5 Abs. 2 UStAE).
S.a. die Beispiele 1 und 2 zu Abschn. 15a.5 UStAE sowie die Erläuterungen unter dem Gliederungspunkt »Änderung der Verhältnisse beim Wechsel der Besteuerungsform«.
Zur Abgrenzung der Berichtigungstatbestände gem. § 15a Abs. 1 und § 15a Abs. 2 UStG hat das Schleswig-Holsteinische FG mit Urteil vom 2.3.2022 (4 K 38/19, EFG 2022, 803, LEXinform 5024508, Revision eingelegt, Az. BFH: XI R 10/22, LEXinform 0954314) entschieden, dass die (Weiter-)Veräußerung eines baureif gemachten Grundstücks nebst dazugehöriger Planungsleistungen für den Bau von Vermietungsobjekten auch dann eine nur einmalige Verwendung des Grundstücks zur Ausführung eines Umsatzes ist, wenn der Grundstückseigentümer in der Planungsphase Hilfsumsätze aus der übergangsweisen Genehmigung der Aufstellung von Werbemedien auf dem Grundstück erzielt.
Entscheidungssachverhalt:
Die Klägerin hatte im Jahr 05 ein unbebautes innerstädtisches Grundstück erworben, auf welchem sie ein Stadtquartier projektierte. Nach langjährigen Planungen und Verhandlungen gelang ihr für das Projekt der Abschluss eines städtebaulichen Vertrages mit näher definierten Vorgaben für die Erteilung der Baugenehmigungen. Noch vor dem Beginn der Bauarbeiten veräußerte die Klägerin das Grundstück nebst Planungsleistungen und bereits vorab geschlossener Gewerberaummietverträge für einen Supermarkt und einen Drogeriemarkt. Die Veräußerung erfolgte mit insgesamt drei Verträgen, die aufgrund ihrer Verknüpfung mit der Erteilung der Baugenehmigung erst im Kj. 16 wirksam wurden. Bei Grundstückserwerb hatte die Klägerin zur USt optiert und Vorsteuern in entsprechender Höhe gezogen. Sie machte geltend, das Grundstück nach dessen Bebauung für Zwecke einer umsatzsteuerpflichtigen Vermietung nutzen zu wollen. Entgegen dieser Absicht veräußerte die Klägerin das baureife Grundstück im Kj. 16 nebst Planungsleistungen und mit den beiden vorgenannten Mietverträgen in unbebautem Zustand und umsatzsteuerfrei an eine KG.
Entscheidungsgründe:
Das FG ging von einer Verpflichtung zur Vorsteuerberichtigung gem. § 15a Abs. 2 UStG aus. Dabei bewertete das Gericht die Grundstücksveräußerung als ersten Verwendungsumsatz des Wirtschaftsguts Grundstück. Die aus der Zwischennutzung des Grundstücks als Aufstellfläche für Werbemedien erzielten Umsätze ordnete das Gericht als für die Abgrenzung der Berichtigungstatbestände gem. § 15a Abs. 1 und Abs. 2 UStG unmaßgebliche Hilfsumsätze ein. Da für § 15a Abs. 2 UStG kein Berichtigungszeitraum und keine Korrektur pro rata temporis gelte, sei die Vorsteuerberichtigung im Jahr der Grundstücksveräußerung in voller Höhe vorzunehmen.
Das Gericht sah auch keine berichtigungsneutrale → Geschäftsveräußerung gem. § 1 Abs. 1a UStG (s.u. den Gliederungspunkt »Geschäftsveräußerung und andere Formen der Rechtsnachfolge (§ 15a Abs. 10 UStG)«). Dabei stellte es maßgeblich darauf ab, dass die Klägerin nach den objektiv zutage getretenen Verhältnissen wie ein Grundstückshändler, Grundstücksentwickler bzw. Bauträger aufgetreten sei. Einen auf nachhaltige Vermietung gerichteten unternehmerischen Nutzungszusammenhang habe sie im Veräußerungszeitpunkt noch nicht geschaffen, sodass der Veräußerungsgegenstand nicht als von der Erwerberin fortgeführtes Vermietungsunternehmen zu qualifizieren sei (s.a. FG Schleswig-Holstein Mitteilung vom 30.6.2022, LEXinform 0462383).
6. Berichtigung bei Gegenständen und sonstigen Leistungen, die nachträglich in ein Wirtschaftsgut eingehen
6.1. Allgemeine Anwendung des § 15a Abs. 3 UStG
Nach § 15a Abs. 3 UStG werden
-
nachträglich eingebaute Gegenstände (Bestandteile) sowie
-
sonstige Leistungen an einem WG
unabhängig davon, ob sie zur Werterhöhung des WG geführt haben, in die Vorsteuerberichtigung einbezogen. Der Vorsteuerabzug ist bei Änderung der Verwendungsverhältnisse nach Maßgabe von § 15a Abs. 1 oder Abs. 2 UStG zu berichtigen (s.a. Abschn. 15a.1 Abs. 2 Nr. 3 und 4 UStAE).
Betroffen von der Vorsteuerberichtigung i.S.d. § 15a Abs. 3 Satz 1 UStG sind u.a. die Bestandteile. Eine Vorsteuerberichtigung wird u.a. dann ausgelöst, wenn der eingefügte Bestandteil bei Bezug zum Vorsteuerabzug berechtigt hat, sich im Laufe der Nutzung aber die Verwendungsverhältnisse ändern. Zu den Änderungen der Verhältnisse s. Abschn. 15a.2 Abs. 2 Satz 3 Nr. 1 bis 7 UStAE. Zur Bestandteilsproblematik s. Abschn. 3.3 Abs. 2 und Abschn. 15a.6 Abs. 1 bis 4 UStAE.
Führt der Einbau eines oder mehrerer Bestandteile, z.B. neue Fenster, zu nachträglichen Anschaffungs- oder Herstellungskosten (Standardhebung), dann fallen die Bestandteile als Berichtigungsobjekt unter § 15a Abs. 6 UStG (Abschn. 15a.6 Abs. 2 UStAE).
6.2. Entnahme eines Wirtschaftsguts aus dem Unternehmen
Wird dem Unternehmensvermögen ein WG entnommen, das bei seiner Anschaffung oder Herstellung nicht zum Vorsteuerabzug berechtigt hatte, für das aber nachträglich Aufwendungen i.S.d. § 15a Abs. 3 UStG getätigt wurden, die zum Vorsteuerabzug berechtigten, kann für diese Aufwendungen eine Vorsteuerberichtigung vorzunehmen sein (Abschn. 15a.6 Abs. 12 UStAE).

Nach § 15a Abs. 3 UStG werden nachträglich eingebaute Gegenstände an einem WG unabhängig davon, ob sie zur Werterhöhung des WG geführt haben, in die Vorsteuerberichtigung einbezogen. Die Gegenstände dürfen nicht selbstständig nutzbar sein und müssen mit dem WG in einem einheitlichen Nutzungs- und Funktionszusammenhang stehen. Kein WG i.S.d. § 15a Abs. 3 UStG ist ein Gegenstand, der abtrennbar ist, seine körperliche oder wirtschaftliche Eigenart behält und damit ein selbstständiges WG bleibt.
6.3. Nutzungsänderungen und Veräußerungen
Geht ein Bestandteil in ein WG ein, so bilden der Bestandteil und das WG jeweils ein eigenständiges Berichtigungsobjekt. Es kommt nicht darauf an, dass der Bestandteil zu einer Werterhöhung dieses WG geführt hat (Abschn. 15a.6 Abs. 1 UStAE). Die Werterhöhung des WG ist nur entscheidend für die Prüfung der Entnahmebesteuerung hinsichtlich des Bestandteils (Abschn. 3.3 Abs. 2 ff. und Abschn. 15a.6 Abs. 13 und 14 UStAE). Änderungen der Verhältnisse in Folge von Nutzungsänderungen sowie Veräußerungen führen zu einer Vorsteuerberichtigung nach § 15a Abs. 1 i.V.m. Abs. 8 oder Abs. 2 UStG.
6.4. Vorsteuerberichtigung für sonstige Leistungen an einem Wirtschaftsgut
Betroffen sind sonstige Leistungen (Dienstleistungen), die unmittelbar an einem WG ausgeführt werden, z.B. die Pkw-Inspektion. Sind dafür kleinere Lieferungen von Gegenständen erforderlich, bleibt es insgesamt bei einer Dienstleistung. Auch hier gilt die Bagatellgrenze des § 44 Abs. 1 UStDV. Es kommt nicht darauf an, ob die sonstige Leistung zu einer Werterhöhung des WG führt. Maßnahmen, die lediglich der Werterhaltung dienen, fallen demnach auch unter die Berichtigungspflicht nach § 15a Abs. 3 UStG (Abschn. 15a.6 Abs. 5 UStAE).
Nicht unter die Verpflichtung zur Berichtigung des Vorsteuerabzugs nach § 15a Abs. 3 UStG fallen sonstige Leistungen, die bereits im Zeitpunkt des Leistungsbezugs wirtschaftlich verbraucht sind (Abschn. 15a.6 Abs. 6 UStAE z.B. bei Grundstücken Reinigungsleistungen, laufende Gartenpflege, Wartungsarbeiten auch Inspektion eines Pkw). Eine sonstige Leistung ist im Zeitpunkt des Leistungsbezugs dann nicht wirtschaftlich verbraucht, wenn ihr über den Zeitpunkt des Leistungsbezugs hinaus eine eigene Werthaltigkeit innewohnt (Abschn. 15a.6 Abs. 7 UStAE).
Soweit an dem WG eine sonstige Leistung ausgeführt wird und das WG später entnommen wird, ohne dass eine unentgeltliche Wertabgabe nach § 3 Abs. 1b Satz 1 Nr. 1 UStG zu besteuern ist, liegt ebenfalls eine Änderung der Verhältnisse vor (§ 15a Abs. 3 Satz 3 UStG; Abschn. 15a.6 Abs. 16 UStAE mit Beispiel).
6.5. Zusammenfassung zu einem Berichtigungsobjekt
Nach § 15a Abs. 3 Satz 2 UStG sind mehrere im Rahmen einer Maßnahme in ein WG eingegangene Gegenstände und/oder mehrere im Rahmen einer Maßnahme an einem WG ausgeführte sonstige Leistungen zu einem Berichtigungsobjekt zusammenzufassen. Dies bedeutet, dass sämtliche im zeitlichen Zusammenhang bezogenen Leistungen, die ein WG betreffen und deren Bezug nach wirtschaftlichen Gesichtspunkten dem Erhalt oder der Verbesserung des Wirtschaftsguts dient, zu einem Berichtigungsobjekt zusammenzufassen sind. Hiervon kann vorbehaltlich anderer Nachweise ausgegangen werden, wenn die verschiedenen Leistungen für ein bewegliches WG innerhalb von drei Kalendermonaten und für ein unbewegliches WG innerhalb von sechs Monaten bezogen werden. Dabei sind auch Leistungen, die von verschiedenen leistenden Unternehmern bezogen worden sind, zu berücksichtigen (Abschn. 15a.6 Abs. 11 UStAE).
Für die Zusammenfassung zu einem Berichtigungsobjekt kommen hinsichtlich der an einem Gegenstand ausgeführten sonstigen Leistungen nur solche sonstigen Leistungen in Betracht, denen über den Zeitpunkt des Leistungsbezugs hinaus eine eigene Werthaltigkeit innewohnt (vgl. Abschn. 15a.6 Abs. 6 UStAE). Die Grenzen des § 44 UStDV sind auf das so ermittelte Berichtigungsobjekt anzuwenden. Der Berichtigungszeitraum beginnt zu dem Zeitpunkt, zu dem der Unternehmer das WG nach Durchführung der Maßnahme erstmalig zur Ausführung von Umsätzen verwendet.
6.6. Änderung der Verhältnisse i.S.d. § 15a Abs. 3 Satz 3 UStG
Eine Änderung der Verhältnisse liegt auch vor, wenn das WG aus dem Unternehmen entnommen wird, ohne dass dabei nach § 3 Abs. 1b UStG eine unentgeltliche Wertabgabe zu versteuern ist (Abschn. 15a.6 Abs. 12 ff. UStAE). In folgenden Fällen kann die Nichtbesteuerung der unentgeltlichen Wertabgabe eine Vorsteuerberichtigung auslösen:
-
Unter Abzug der Vorsteuer sind Bestandteile in das WG eingegangen, die im Zeitpunkt der Entnahme vollständig verbraucht sind.
-
Unter Abzug der Vorsteuer sind Bestandteile in das WG eingegangen, die im Zeitpunkt der Entnahme nicht vollständig verbraucht sind, die aber unter die Bagatellgrenze des Abschn. 3.3 Abs. 4 UStAE fallen; der Unternehmer hat aber auf die Besteuerung verzichtet.
-
Unter Abzug der Vorsteuer sind Gegenstände in das WG eingegangen, die nicht zu einer Werterhöhung, sondern lediglich zur Werterhaltung des WG geführt haben.
-
Unter Abzug der Vorsteuer sind Dienstleistungen in das WG eingegangen.
Beispiel 17:
Ein Unternehmer erwirbt am 1.7.04 aus privater Hand einen gebrauchten Pkw für 10 000 € und ordnet ihn zulässigerweise seinem Unternehmen zu und führt damit ausschließlich Abzugsumsätze aus. Am 1.3.05 lässt er eine Klimaanlage nachträglich einbauen (Entgelt: 2 500 € zzgl. 475 € USt). Am 1.8.05 lässt er die Windschutzscheibe an seinem Pkw erneuern (Entgelt: 500 € zzgl. 95 € USt).
Am 1.3.06 entnimmt der Unternehmer den Pkw in sein Privatvermögen (Aufschlag gem. »Schwacke-Liste« auf den Marktwert des Pkw im Zeitpunkt der Entnahme für die Klimaanlage: 1 500 €, für die Windschutzscheibe: 50 €).
Lösung 17:
Die Entnahme des Pkw selbst führt nicht zu einer steuerbaren Wertabgabe i.S.d. § 3 Abs. 1b Nr. 1 UStG, da die Anschaffung des Pkw nicht zum Vorsteuerabzug berechtigt hat.
Das aufgewendete Entgelt für den nachträglichen Einbau der Windschutzscheibe (Bestandteil) beträgt 500 €, also weniger als 20 % der ursprünglichen Anschaffungskosten des Pkw, und übersteigt auch nicht einen Betrag von 1 000 €. Aus Vereinfachungsgründen wird für den Einbau der Windschutzscheibe keine dauerhafte Werterhöhung des Pkw angenommen. Der Unternehmer kann auf die Versteuerung der Entnahme der Windschutzscheibe verzichten.
Ohne Versteuerung der Entnahme liegt eine Änderung der Verhältnisse i.S.d. § 15a Abs. 3 Satz 3 UStG vor. Nach § 44 Abs. 1 UStDV entfällt eine Vorsteuerberichtigung i.S.d. § 15a Abs. 3 Satz 3 UStG, da die auf die Anschaffung der Windschutzscheibe entfallende Vorsteuer 1 000 € nicht übersteigt.
Das aufgewendete Entgelt für den nachträglichen Einbau der Klimaanlage beträgt 2 500 €, also mehr als 20 % der ursprünglichen Anschaffungskosten des Pkw. Mit dem Einbau der Klimaanlage in den Pkw hat diese ihre körperliche und wirtschaftliche Eigenart endgültig verloren und zu einer dauerhaften, im Zeitpunkt der Entnahme nicht vollständig verbrauchten Werterhöhung des WG geführt (Bestandteil). Die Entnahme des Bestandteils unterliegt daher gem. § 3 Abs. 1b Satz 1 Nr. 1 i.V.m. Satz 2 UStG mit einer Bemessungsgrundlage gem. § 10 Abs. 4 Satz 1 Nr. 1 UStG i.H.v. 1 500 € der USt (Abschn. 3.3 Abs. 2 UStAE). Die Entnahme führt somit insgesamt zu einer USt von 285 €. Eine Vorsteuerberichtigung wird durch die Entnahme allein nicht ausgelöst. Der Pkw (Klimaanlage) wurde ursprünglich zu 100 % zur Ausführung von Abzugsumsätzen verwendet. Die Entnahme selbst ist nicht anders zu beurteilen als die für den ursprünglichen Vorsteuerabzug maßgebliche Verwendung.
Nach § 44 Abs. 1 UStDV würde eine durchzuführende Vorsteuerberichtigung entfallen, da die auf die Anschaffung der Klimaanlage entfallende Vorsteuer 1 000 € nicht übersteigt (§ 44 Abs. 1 UStDV).
Abwandlung:
Der Einbau der Klimaanlage und die Erneuerung der Windschutzscheibe werden gleichzeitig durchgeführt (innerhalb von drei Monaten).
Lösung Abwandlung:
Beide Leistungen werden im Rahmen einer Maßnahme bezogen und sind daher grundsätzlich zu einem Berichtigungsobjekt zusammenzufassen (§ 15a Abs. 3 Satz 2 UStG und Abschn. 15a.6 Abs. 11 UStAE).
Im Fall der Entnahme eines WG, in das Bestandteile eingegangen (Klimaanlage) oder an dem sonstige Leistungen ausgeführt worden sind, sind bei Prüfung der Vorsteuerberichtigung solche in das WG eingegangenen Gegenstände aus dem Berichtigungsobjekt auszuscheiden, die bei der Entnahme der Umsatzbesteuerung nach § 3 Abs. 1b UStG unterliegen (Klimaanlage). Die Grenzen des § 44 UStDV sind auf den entsprechend verminderten Vorsteuerbetrag anzuwenden (Windschutzscheibe; Abschn. 15a.6 Abs. 17 UStAE). Eine Vorsteuerberichtigung für das verbleibende Berichtigungsobjekt Windschutzscheibe unterbleibt nach § 44 Abs. 1 UStDV).
Beispiel 18:
Ein Unternehmer erwirbt am 1.7.04 aus privater Hand einen gebrauchten Pkw für 20 000 € und ordnet ihn zulässigerweise seinem Unternehmen zu. Am 1.3.05 lässt er den Pkw wegen eines Unfalls für 7 000 € zzgl. 1 330 € reparieren (werterhaltende Maßnahmen). Den Vorsteuerabzug macht U in der Voranmeldung 3/05 geltend.
Am 1.3.06 entnimmt der Unternehmer den Pkw in sein Privatvermögen.
Lösung 18:
Eine Besteuerung der unentgeltlichen Wertabgabe findet nach § 3 Abs. 1b Satz 2 UStG nicht statt, da kein Bestandteil in das WG eingegangen ist. Weiterhin handelt es sich um eine sonstige Leistung, die bereits im Zeitpunkt des Leistungsbezugs wirtschaftlich verbraucht ist. Eine Verpflichtung zur Berichtigung des Vorsteuerabzugs nach § 15a Abs. 3 Satz 1 UStG besteht nicht (Abschn. 15a.6 Abs. 6 UStAE). Aus diesem Grund tritt für die Reparaturleistung eine Änderung der Verhältnisse i.S.d. § 15a Abs. 3 Satz 3 UStG ein (Abschn. 15a.6 Abs. 16 UStAE). Die Wertgrenze des § 44 Abs. 1 UStDV ist überschritten. Die Reparaturleistung löst nach § 15a Abs. 3 UStG einen neuen Berichtigungszeitraum von fünf Jahren aus. Der Berichtigungszeitraum beginnt am 1.3.05 und endet mit Ablauf des 28.2.10. Der zu überwachende jährliche Vorsteuerbetrag beträgt 1 330 € : 5 = 266 €. Im Zeitpunkt der Entnahme beträgt der Berichtigungszeitraum noch vier Jahre, der Berichtigungsbetrag somit 266 € × 4 = 1 064 €. Zum Zeitpunkt der Berichtigung s. § 44 Abs. 3 Satz 2 UStDV.
Abwandlung:
Neben der Reparaturleistung werden noch folgende Leistungen ausgeführt:
-
Einbau einer Klimaanlage für 2 500 €; Erhöhung der Schwacke-Liste im Zeitpunkt der Entnahme um 1 500 €;
-
Verspiegelung der Scheiben für 500 €; Erhöhung der Schwacke-Liste im Zeitpunkt der Entnahme um 100 €;
-
Auftragung einer Effektlackierung für 4 500 €; Erhöhung der Schwacke-Liste im Zeitpunkt der Entnahme um 3 500 €.
Lösung Abwandlung:
Sämtliche Maßnahmen werden im Rahmen einer Maßnahme bezogen und sind daher zu einem Berichtigungsobjekt zusammenzufassen. Da die Entnahme der Klimaanlage jedoch nach § 3 Abs. 1b Nr. 1 UStG als eine unentgeltliche Wertabgabe zu versteuern ist (s. Lösung Beispiel 17), scheidet diese für Zwecke der Vorsteuerberichtigung aus dem Berichtigungsobjekt aus.
Für die Zusammenfassung zu einem Berichtigungsobjekt kommen hinsichtlich der an einem Gegenstand ausgeführten sonstigen Leistungen nur solche in Betracht, denen über den Zeitpunkt des Leistungsbezugs hinaus eine eigene Werthaltigkeit innewohnt. Somit ist auch die Reparaturleistung aus dem Berichtigungsobjekt auszuscheiden. Zur Vorsteuerberichtigung aus der Reparaturleistung s.o.
Hinsichtlich der Scheibenverspiegelung und der Effektlackierung entfällt eine Besteuerung nach § 3 Abs. 1b UStG, da sonstige Leistungen nicht zu Bestandteilen eines Gegenstandes führen (Abschn. 3.3 Abs. 2 Satz 4 UStAE).
Für diese Leistungen ist allerdings zu prüfen, inwieweit eine Vorsteuerberichtigung nach § 15a Abs. 3 Satz 1 UStG durchzuführen ist. Das verbleibende Berichtigungsobjekt setzt sich aus der Scheibenverspiegelung sowie der Effektlackierung zusammen. Die Grenze des § 44 Abs. 1 UStDV von 1 000 € ist auf das verbleibende Berichtigungsobjekt anzuwenden, für das die Vorsteuerbeträge aus der Scheibenverspiegelung i.H.v. 95 € (500 € × 19 %) und der Effektlackierung i.H.v. 855 € (4 500 € × 19 %) insgesamt nur 950 € betragen. Eine Vorsteuerberichtigung nach § 15a Abs. 3 Satz 1 UStG für das verbleibende Berichtigungsobjekt unterbleibt daher.
Beispiel 19:
Ein Gebäude, das im Kj. 01 erstellt wurde, wird im Kj. 15 neu gestrichen (Fertigstellung der Malerarbeiten am 1.6.15). Die Aufwendungen betragen hierfür 25 000 € zzgl. 4 750 € USt. Das Gebäude wird im Kj. 15 steuerpflichtig, ab 1.7.16 ausschließlich steuerfrei verwendet.
Lösung 19:
Der Unternehmer hat im Kj. 15 im Hinblick auf die steuerpflichtige Verwendung den vollen Vorsteuerabzug. Die als Erhaltungsaufwand zu beurteilenden Malerarbeiten (Werkleistungen) stellen sonstige Leistungen an einem WG, dem Gebäude, dar. Es handelt sich um eine sonstige Leistung, die nicht bereits im Zeitpunkt des Leistungsbezugs wirtschaftlich verbraucht ist (Abschn. 15a.6 Abs. 7 Satz 2 Nr. 1 UStAE). Diese sonstige Leistung unterliegt daher der Berichtigungspflicht des § 15a Abs. 3 Satz 1 UStG. Voraussetzung für die Vorsteuerberichtigung ist allerdings eine Änderung der für den ursprünglichen Vorsteuerabzug maßgeblichen Verhältnisse. Ab 1.7.16 tritt eine Änderung der Verhältnisse ein. Gem. § 15a Abs. 3 Satz 1 i.V.m. Abs. 1 UStG beträgt der Berichtigungszeitraum dafür zehn Jahre. Der Berichtigungszeitraum beginnt am 1.6.15 und endet mit Ablauf des 31.5.25. Der zu überwachende jährliche Vorsteuerbetrag beträgt 4 750 € : 10 = 475 €. Im Kj. 16 tritt eine Änderung der Verhältnisse ein, da die steuerpflichtigen Umsätze im Kj. 16 nur noch 50 % betragen. Der Berichtigungsbetrag beläuft sich im Kj. 16 auf 237,50 €.
7. Vorsteuerberichtigung gem. § 15a Abs. 4 UStG
7.1. Allgemeiner Überblick
Nach § 15a Abs. 4 UStG ist für sonstige Leistungen, die nicht an einem anderen WG ausgeführt werden, eine Berichtigung des Vorsteuerabzugs vorzunehmen, wenn sich die Verhältnisse ändern (Abschn. 15a.1 Abs. 2 Nr. 5 UStAE).
Nach § 15a Abs. 4 Satz 2 UStG ist Berichtigung des Vorsteuerabzugs auf solche sonstigen Leistungen beschränkt, für die in der Steuerbilanz ein Aktivposten gebildet werden müsste. Dies gilt jedoch nicht, soweit es sich um sonstige Leistungen handelt, für die der Leistungsempfänger bereits für einen Zeitraum vor Ausführung der sonstigen Leistung den Vorsteuerabzug vornehmen konnte (Voraus- und Anzahlung). Unerheblich ist, ob der Unternehmer nach den §§ 140, 141 AO tatsächlich zur Buchführung verpflichtet ist. Die Regelung gilt auch für Unternehmer, die ihren Gewinn nach § 4 Abs. 3 EStG ermitteln oder die das Einkommen als Überschuss der Einnahmen über die Werbungskosten ermitteln. Eine Vorsteuerberichtigung kommt gem. § 15a Abs. 4 Satz 3 UStG jedoch stets in Betracht, wenn der Leistungsempfänger für einen Zeitraum vor Ausführung der Leistung den Vorsteuerabzug vornehmen konnte (Anzahlungen oder Vorauszahlungen (Abschn. 15a.7 Abs. 3 UStAE).
Sonstige Leistungen, die unter die Berichtigungspflicht nach § 15a Abs. 4 UStG fallen, sind beispielsweise (Abschn. 15a.7 Abs. 1 Satz 2 UStAE):
-
Beratungsleistungen (z.B. für ein Unternehmenskonzept, eine Produktkonzeption),
-
gutachterliche Leistungen,
-
Anmietung eines Wirtschaftsguts (bei bestehender Buchführungspflicht wäre die Bildung eines Rechnungsabgrenzungspostens nach § 5 Abs. 5 Nr. 1 EStG verpflichtend),
-
Patente, Urheberrechte, Lizenzen,
-
bestimmte Computerprogramme,
-
Werbeleistungen,
-
Anzahlung für längerfristiges Mietleasing.
Für die Vorsteuerberichtigung sind die Absätze 1 und 2 des § 15a UStG entsprechend anzuwenden.
Hinweis:
Mit Urteil vom 5.6.2014 (XI R 44/12, BStBl II 2016, 187) hat der BFH entschieden, dass die → Mindestbemessungsgrundlage bei Leistung an einen zwar nahestehenden, aber vorsteuerabzugsberechtigten Unternehmer dann keine Anwendung findet, wenn der vom Leistungsempfänger in Anspruch genommene Vorsteuerabzug keiner Vorsteuerberichtigung i.S.d. § 15a UStG unterliegt.
Im dem dem BFH-Urteil vom 5.6.2014 (XI R 44/12, BStBl II 2016, 187) zu Grunde liegenden Streitfall verpachteten die Eltern an den Sohn S ein Grundstück zum Betrieb einer Schweinezuchtanlage. Die Eltern verzichteten nach § 9 Abs. 1 UStG auf die Steuerbefreiung des § 4 Nr. 12 Satz 1 Buchst. a UStG. Der Sohn entrichtete den Pachtzins monatlich. Der Sohn hatte auf die Anwendung der Durchschnittsbesteuerung des § 24 UStG verzichtet und war deshalb gem. § 15 UStG zum vollen Vorsteuerabzug berechtigt.
Strittig war, ob bezüglich der Pachtzahlungen die Mindestbemessungsgrundlage gem. § 10 Abs. 5 UStG berücksichtigt werden konnte.
Die Berichtigung des Vorsteuerabzugs bei sonstigen Leistungen, die – wie im Streitfall – nicht unter § 15a Abs. 3 UStG fallen, ist – mit Ausnahme für sonstige Leistungen, für die der Unternehmer wie bei An- oder Vorauszahlungen den Vorsteuerabzug geltend machen kann, bevor er die Leistung bezogen hat – auf solche zu beschränken, für die in der Steuerbilanz ein Aktivierungsgebot besteht, wobei es nicht darauf ankommt, ob der Unternehmer nach den §§ 140, 141 AO selbst zur Buchführung verpflichtet ist. Dies ist hier nicht der Fall. Denn ein – wie hier vom Sohn – fortlaufend gezahltes Leistungsentgelt kann nicht als Anschaffungskosten eines immateriellen Wirtschaftsguts »Nutzungsrecht« aktiviert werden. Zwar ist das aus einem Mietverhältnis – Gleiches gilt für ein hier vorliegendes Pachtverhältnis – folgende Nutzungsrecht durch einen laufend zu entrichtenden Mietzins entgeltlich erworben; gleichwohl ist das Nutzungsrecht nicht zu bilanzieren, weil ihm ein schwebendes Geschäft zugrunde liegt, das nach den Grundsätzen ordnungsmäßiger Buchführung nicht in die Bilanz aufzunehmen ist, solange das bestehende Gleichgewicht zwischen Rechten und Pflichten nicht durch Vorleistungen oder Erfüllungsrückstände gestört ist. Die vom Sohn aus der von den Eltern mit gesondertem Steuerausweis in Rechnung gestellten Pacht der Schweinezuchtanlage in Anspruch genommenen Vorsteuerbeträge unterliegen nicht der Vorsteuerberichtigung des § 15a UStG. Somit ist auch die Mindestbemessungsgrundlage nicht anzuwenden.
7.2. Vorsteuerberichtigung nach § 15a Abs. 4 i.V.m. Abs. 1 UStG
Betroffen hiervon sind sonstige Leistungen, die mehrmalig zur Ausführung von Umsätzen verwendet werden. In diesen Fällen erfolgt eine Berichtigung »pro rata temporis«. Zur Vorsteuerberichtigung vor Vollendung der Leistung s. Abschn. 15a.7 Abs. 4 UStAE.
7.3. Vorsteuerberichtigung nach § 15a Abs. 4 i.V.m. Abs. 2 UStG
Betroffen hiervon sind sonstige Leistungen, die nur einmalig zur Ausführung von Umsätzen verwendet werden.
7.4. Abgrenzung zwischen der Vorsteuerberichtigung nach Abs. 1 und Abs. 2
Bei der Beurteilung der Frage, ob die sonstige Leistung einmalig oder mehrmalig zur Erzielung von Umsätzen verwendet wird, ist im Einzelnen darauf abzustellen, wann die bezogene sonstige Leistung verbraucht ist.
Beispiel 20:
-
EDV-Programme: Berichtigung nach § 15a Abs. 1 UStG.
-
Reinigungsleistungen: Berichtigung nach § 15a Abs. 2 UStG.
-
Beratungsleistungen für ein Unternehmenskonzept: Berichtigung nach § 15a Abs. 1 UStG.
-
Eine Anzahlung für ein längerfristiges Mietleasing: Berichtigung nach § 15a Abs. 1 UStG.
S.a. die Beispiele 1 bis 3 zu Abschn. 15a.7 UStAE.
8. Vorsteuerberichtigung nach § 15a Abs. 6 UStG für nachträgliche Anschaffungs- oder Herstellungskosten
8.1. Allgemeiner Überblick
Die Vorsteuerberichtigungen der vorgenannten Absätze des § 15a UStG sind auf nachträgliche Anschaffungs- oder Herstellungskosten sinngemäß anzuwenden (Abschn. 15a.8 UStAE). Der Begriff der nachträglichen Anschaffungs- oder Herstellungskosten ist nach den für das Einkommensteuerrecht geltenden Grundsätzen abzugrenzen (Abschn. 15a.1 Abs. 2 Nr. 6 UStAE). Voraussetzung ist, dass die nachträglichen Aufwendungen für Berichtigungsobjekte nach § 15a Abs. 1 bis 4 UStG angefallen sind. Aufwendungen, die ertragsteuerrechtlich Erhaltungsaufwand sind, unterliegen der Vorsteuerberichtigung nach § 15a Abs. 3 UStG. Die einkommensteuerrechtlichen Grundsätze gelten nicht, soweit nach § 6 Abs. 1 Nr. 1a EStG Erhaltungsaufwendungen zu Herstellungskosten (anschaffungsnahe Herstellungskosten) umqualifiziert werden (Abschn. 15.17 Abs. 6 UStAE). Dieser beim Vorsteuerabzug anzuwendende Grundsatz muss auch bei der Vorsteuerberichtigung gelten, obwohl dies in Abschn. 15a.1 Abs. 2 Nr. 6 UStAE nicht ausdrücklich geregelt ist.
Zur Ermittlung des Berichtigungszeitraums s. Abschn. 15a.8 Abs. 1 und 2 UStAE.
8.2. Nachträgliche Anschaffungs- und Herstellungskosten bei Gebäuden
Zur Unterscheidung zwischen anschaffungsnahem Herstellungsaufwand und Erhaltungsaufwand s. die ausführlichen Erläuterungen und Beispiele unter → Grundstücksumsätze, Umsatzsteuer.
9. Änderung der Verwendung i.S.d § 15 Abs. 1b UStG (§ 15a Abs. 6a UStG)
Ab dem 1.1.2011 (§ 27 Abs. 16 UStG) ist im deutschen USt-Recht das Seeling-Modell nicht mehr anwendbar (→ Vorsteuerabzug → Grundstücksumsätze, Umsatzsteuer). Mit dem JStG 2010 vom 8.12.2010 (BGBl I 2010, 1768) wurde § 15 Abs. 1b UStG eingeführt. Danach ist die Steuer für die Lieferungen, die Einfuhr und den innergemeinschaftlichen Erwerb sowie für die sonstigen Leistungen im Zusammenhang mit einem Grundstück vom Vorsteuerabzug ausgeschlossen, soweit sie nicht auf die Verwendung des Grundstücks für Zwecke des Unternehmens entfällt (s.a. Abschn. 15.6a Abs. 1 UStAE). Aufgrund dieser Vorsteuerabzugsbeschränkung unterliegt die Verwendung eines Grundstücks für Zwecke, die außerhalb des Unternehmens liegen, oder für den privaten Bedarf des Personals, nicht mehr der unentgeltlichen Wertabgabenbesteuerung nach § 3a Abs. 9a Nr. 1 UStG (s.a. Abschn. 3.4 Abs. 5a UStAE).
§ 15 Abs. 1b UStG ist auf Wirtschaftsgüter i.S.d. § 15 Abs. 1b UStG anzuwenden, die auf Grund eines nach dem 31.12.2010 rechtswirksam abgeschlossenen obligatorischen Vertrags oder gleichstehenden Rechtsakts angeschafft worden sind oder mit deren Herstellung nach dem 31.12.2010 begonnen worden ist. Als Beginn der Herstellung gilt bei Gebäuden, für die eine Baugenehmigung erforderlich ist, der Zeitpunkt, in dem der Bauantrag gestellt wird; bei baugenehmigungsfreien Gebäuden, für die Bauunterlagen einzureichen sind, der Zeitpunkt, in dem die Bauunterlagen eingereicht werden.
Durch die Einfügung des § 15a Abs. 6a UStG mit dem JStG 2010 vom 8.12.2010 (BGBl I 2010, 1768) wird gewährleistet, dass im Fall der ggf. späteren Änderung der Verwendung i.S.d. § 15 Abs. 1b UStG eine Vorsteuerberichtigung nach den Grundsätzen des § 15a UStG erfolgt. Eine Änderung der Verwendung i.S.d. § 15 Abs. 1b UStG tritt ein, wenn sich das Verhältnis der unternehmerischen und außerunternehmerischen bzw. privaten Verwendung des Grundstücks ändert. Dies gilt entsprechend bei Berechtigungen, für die die Vorschriften des bürgerlichen Rechts über Grundstücke gelten, und bei Gebäuden auf fremdem Grund und Boden.
Die Vorsteuerberichtigung nach § 15a UStG setzt voraus, dass die allgemeinen Voraussetzungen des § 15 Abs. 1 UStG vorliegen. Soweit ein Grundstück, eine Berechtigung, für die die Vorschriften des bürgerlichen Rechts über Grundstücke gelten, oder ein Gebäude auf fremdem Grund und Boden nicht dem Unternehmen zugeordnet worden ist, ist eine Korrektur der Vorsteuer nach § 15a UStG ausgeschlossen (s.a. Abschn. 15.6a Abs. 5 und Abschn. 15a.2 Abs. 2 Satz 3 Nr. 7 UStAE). § 15 Abs. 1b UStG stellt eine Vorsteuerabzugsbeschränkung dar und berührt nicht das Zuordnungswahlrecht des Unternehmers nach § 15 Abs. 1 UStG (→ Vorsteuerabzug).
Beispiel 21:
Ein Bauherr errichtet ein Gebäude mit jeweils gleich großen Geschossflächen im Kj. 2014, das zunächst wie folgt genutzt wird:
-
Erdgeschoss vermietet als Arztpraxis;
-
1. Obergeschoss zu Wohnzwecken vermietet;
-
2. Obergeschoss vermietet als Rechtsanwaltspraxis (zur Steuerpflicht optiert);
-
3. Obergeschoss eigene Wohnung, ab dem vierten Jahr als Büroräume an den Rechtsanwalt vermietet.
Lösung 21:
Nach § 15 Abs. 1b Satz 1 UStG ist die Vorsteuer, die auf die eigene Wohnung entfällt, nicht abzugsfähig (s.a. Abschn. 15.6a Abs. 3 Satz 1 UStAE). § 15 Abs. 1b UStG stellt eine Vorsteuerabzugsbeschränkung dar und berührt nicht das Zuordnungswahlrecht des Unternehmers nach § 15 Abs. 1 UStG (Abschn. 15.2c UStAE). Im Fall der Zuordnung des unternehmensfremd genutzten Teils zum nichtunternehmerischen Bereich wird dieser als separater Gegenstand angesehen, der nicht »für das Unternehmen« i.S.d. § 15 Abs. 1 Nr. 1 UStG bezogen wird (Abschn. 15.2c Abs. 4 Satz 1 UStAE). Wird dieser Gegenstand später unternehmerisch genutzt (z.B. durch Umwandlung von Wohnräumen in Büroräume), ist eine Vorsteuerberichtigung zugunsten des Unternehmers nach § 15a UStG nicht zulässig (Abschn. 15a.1 Abs. 6 Nr. 4 und Abschn. 15.2c Abs. 4 Satz 4 UStAE). Eine Vorsteuerberichtigung nach § 15a UStG ist nur möglich, soweit das Grundstück dem Unternehmensvermögen zugeordnet worden ist (Abschn. 15.6a Abs. 5 Satz 3 UStAE).

Abb.: Vorsteuerabzug nach § 15 Abs. 1b und Vorsteuerberichtigung nach § 15a Abs. 6a UStG
10. Änderung der Verhältnisse beim Wechsel der Besteuerungsform (§ 15a Abs. 7 UStG)
Der → Wechsel der Besteuerungsform ist eine Änderung der Verhältnisse i.S.d. § 15a Abs. 7 UStG (BFH Urteil vom 17.6.2004, V R 31/02, BStBl II 2004, 858).
Der Wechsel von
-
der Regelbesteuerung zur Kleinunternehmerregelung gem. § 19 Abs. 1 UStG oder umgekehrt (→ Kleinunternehmer) sowie
-
der Regelbesteuerung zur Durchschnittsatzbesteuerung gem. § 23 UStG (→ Allgemeine Durchschnittssätze), § 23a UStG (→ Gemeinnützigkeit) und § 24 UStG und umgekehrt
bewirkt eine Änderung der Verhältnisse i.S.d. Absätze 1 bis 3 des § 15a UStG (Abschn. 15a.9 UStAE).
Hinweis:
Durch Art. 11 Nr. 6 und 7 des Jahressteuergesetzes 2020 vom 21.12.2020 (BGBl I 2020, 3096) wurde in § 24 Abs. 1 UStG eine Umsatzgrenze i.H.v. 600 000 € eingeführt. Diese ist erstmals auf Umsätze anzuwenden, die nach dem 31.12.2021 bewirkt werden (§ 27 Abs. 32 UStG). Sofern nach § 24 Abs. 1 Satz 1 UStG der Gesamtumsatz (§ 19 Abs. 3 UStG) im vorangegangenen Kj. mehr als 600 000 € betragen hat, sind die Umsätze ab dem Besteuerungszeitraum 2022 zwingend nach der Regelbesteuerung zu versteuern.
Durch Art. 16 Nr. 10 und Art. 18 Nr. 3 i.V.m. Art. 30 Abs. 6 des JStG 2022 vom 16.12.2022 (BGBl I 2022, 2294) wurden mit Wirkung zum 1.1.2023 die allgemeinen Durchschnittssätze nach § 23 UStG sowie §§ 69 und 70 UStDV (inklusive der dazugehörigen Anlagen) gestrichen. Gleichzeitig wurde durch Art. 16 Nr. 11 i.V.m. Art. 30 Abs. 6 des JStG 2022 die Umsatzgrenze zur Inanspruchnahme des Durchschnittssatzes für Körperschaften, Personenvereinigungen und Vermögensmassen i.S.d. § 5 Abs. 1 Nr. 9 KStG in § 23a Abs. 2 UStG auf 45 000 € erhöht.
Wechselt ein Landwirt, der einen Stall errichtet, vor dessen Fertigstellung von der Besteuerung nach Durchschnittssätzen zur Regelbesteuerung, können die Vorsteuerbeträge, die vor dem Wechsel angefallen sind, erst ab dem Zeitpunkt der erstmaligen Verwendung nach § 15a UStG anteilig geltend gemacht werden (BFH Urteil vom 16.2.2008, V R 22/06, BStBl II 2009, 165 und Abschn. 15a.9 Abs. 2 UStAE).
Beispiel 22:
Unternehmer U vermietet im Kj. 05 als Kleinunternehmer ein Ferienhaus. Die Vorsteuer auf die Anschaffungskosten beträgt 16 000 €. Ab dem Kj. 07 überschreitet U den maßgeblichen Gesamtumsatz und unterliegt der Regelbesteuerung. Gleichzeitig wird die Immobilie nur noch langfristig an einen privaten Mieter zu Wohnzwecken vermietet.
Lösung 22:
Wegen der Kleinunternehmerregelung entfällt in den Kj. 05 und 06 der Vorsteuerabzug, obwohl die Vermietung nach § 4 Nr. 12 Satz 2 UStG steuerpflichtig ist.
Der Wechsel der Besteuerungsform im Kj. 07 führt für sich allein noch nicht zu einer Änderung der Verhältnisse i.S.d. § 15a Abs. 7 UStG. Da vor dem Wechsel der Vorsteuerabzug nicht möglich war und nach dem Wechsel der Vorsteuerabzug nach § 15 Abs. 2 Nr. 1 i.V.m. § 4 Nr. 12 Buchst. a UStG ebenfalls ausgeschlossen ist, liegt keine Änderung in Bezug auf den Vorsteuerabzug gem. § 15a Abs. 1 UStG vor. Im Kj. 07 erfolgt somit keine Vorsteuerberichtigung.
Beispiel 23:
Unternehmer U vermietet im Kj. 05 als Kleinunternehmer ein Ferienhaus. Die Vorsteuer auf die Anschaffungskosten beträgt 16 000 €. Ab dem Kj. 07 überschreitet U den maßgeblichen Gesamtumsatz und unterliegt der Regelbesteuerung.
Lösung 23:
Wegen der Kleinunternehmerregelung entfällt in den Kj. 05 und 06 der Vorsteuerabzug, obwohl die Vermietung nach § 4 Nr. 12 Satz 2 UStG steuerpflichtig ist.
Der Wechsel von § 19 Abs. 1 UStG zur Regelbesteuerung begründet im Kj. 07 eine Änderung der Verhältnisse i.S.d. § 15a Abs. 7 i.V.m. Abs. 1 UStG. Nach dem Wechsel ist der Vorsteuerabzug zu gewähren. Der Berichtigungszeitraum (1.1.05 bis 31.12.14) läuft vom 1.1.07 bis zum Ablauf des 31.12.14. Der Berichtigungsbetrag beträgt 1/10 von 16 000 € (§ 15a Abs. 5 UStG), somit 1 600 €. Nach § 44 Abs. 3 Satz 1 UStDV ist die Berichtigung in der Jahreserklärung des Kj. 07 vorzunehmen.
11. Nutzungsänderung durch Veräußerung oder unentgeltliche Wertabgabe (§ 15a Abs. 8 und 9 UStG)
11.1. Allgemeine Grundsätze
Eine Änderung der Verhältnisse liegt auch vor, wenn das noch verwendungsfähige WG vor Ablauf des maßgeblichen Berichtigungszeitraums veräußert oder nach § 3 Abs. 1b UStG geliefert wird und dieser Umsatz anders zu beurteilen ist als die für den ursprünglichen Vorsteuerabzug maßgebliche Verwendung (§ 15a Abs. 8 UStG). Voraussetzung ist jedoch, dass das WG im Zeitpunkt dieser Umsätze objektiv noch verwendungsfähig ist. Veräußerung und Entnahme sind hierbei so anzusehen, als ob das WG bis zum Ablauf des maßgeblichen Berichtigungszeitraums entsprechend der umsatzsteuerlichen Behandlung dieser Umsätze weiterhin innerhalb des Unternehmens verwendet worden wäre (§ 15a Abs. 9 UStG).
Beispiel 24:
Ein Betriebsgrundstück, das vom 1.1.06 bis zum 31.10.06 innerhalb des Unternehmens zur Ausführung steuerpflichtiger Umsätze verwendet worden ist, wird am 1.11.06 nach § 4 Nr. 9 Buchst. a UStG steuerfrei veräußert.
Lösung 24:
Für die Berichtigung ist die Veräußerung so anzusehen, als ob das Grundstück ab dem Zeitpunkt der Veräußerung bis zum Ablauf des Berichtigungszeitraums nur noch zur Ausführung von Umsätzen verwendet würde, die den Vorsteuerabzug ausschließen. Entsprechendes gilt bei einer steuerfreien Entnahme.
Nach § 44 Abs. 3 Satz 2 UStDV liegen die verfahrenstechnischen Besonderheiten dieser Art von Berichtigungen darin, dass die Berichtigung bereits für den Voranmeldungszeitraum vorgenommen wird, in dem die Veräußerung oder die Wertabgabe stattgefunden hat; die maßgeblichen Verhältnisse stehen bis zum Ablauf des Berichtigungszeitraums fest. Daher erfolgt eine Vorsteuerkorrektur für den gesamten restlichen Berichtigungszeitraum. Entsprechend ist zu verfahren, wenn eine sonstige Leistung entgeltlich oder durch eine Zuwendung i.S.d. § 3 Abs. 9a UStG aus dem Unternehmen ausscheidet (z.B. Veräußerung einer Lizenz; Abschn. 15a.11 Abs. 4 Satz 4 UStAE).
11.2. Besonderheiten bei Anwendung des § 24 UStG
Zum Verkauf von Gegenständen des land- und forstwirtschaftlichen Unternehmensvermögens s. Abschn. 24.2 Abs. 6 UStAE.
Die Umsätze mit Gegenständen des land- und forstwirtschaftlichen Unternehmensvermögens (z.B. der Verkauf gebrauchter landwirtschaftlicher Geräte) unterliegen der Regelbesteuerung. Aus Vereinfachungsgründen wird die Anwendung der Durchschnittssatzbesteuerung jedoch nicht beanstandet, wenn die Gegenstände während ihrer Zugehörigkeit zum land- und forstwirtschaftlichen Unternehmen nahezu ausschließlich, d.h. zu mindestens 95 %, für Umsätze verwendet wurden, die den Vorsteuerabzug nach § 24 Abs. 1 Satz 4 UStG ausschließen. Voraussetzung hierfür ist jedoch, dass der Unternehmer für diese Gegenstände darauf verzichtet, einen anteiligen Vorsteuerabzug vorzunehmen. Zeiträume, in denen der Unternehmer gem. § 24 Abs. 4 UStG zur Anwendung der allgemeinen Vorschriften des UStG optiert hatte, bleiben für Zwecke der Prüfung der 95 %-Grenze außer Betracht
Für die Anwendung der Durchschnittssatzbesteuerung ist daher die Inanspruchnahme des Vorsteuerabzugs bei der Anschaffung eines Gegenstands des Unternehmensvermögens unschädlich, sofern der Anspruch lediglich auf Grund einer Option zur Regelbesteuerung nach § 24 Abs. 4 UStG bestand. Kehrt der land- und forstwirtschaftliche Betrieb vor der Veräußerung wieder zur Durchschnittssatzbesteuerung zurück, kann diese, bei Vorliegen der weiteren Voraussetzungen, auf den entsprechenden Gegenstand angewendet werden.
Beispiel 25:
Ein Landwirt unterliegt aufgrund seiner Option nach § 24 Abs. 4 UStG bis zum 31.12.10 der Regelbesteuerung. Im September 10 schafft er noch einen Schlepper an und macht den Vorsteuerabzug geltend.
Ab dem 1.1.11 kehrt der Landwirt wieder zur Besteuerung nach Durchschnittssätzen gem. § 24 Abs. 1 UStG zurück. Im Mai 12 verkauft er den gebrauchten Schlepper.
Lösung 25:
Der Verkauf des Schleppers unterliegt grundsätzlich der Regelbesteuerung (Abschn. 24.2 Abs. 6 Satz 2 UStAE). Aus Vereinfachungsgründen wird die Anwendung der Durchschnittssatzbesteuerung auf diesen Umsatz jedoch nicht beanstandet, da der Schlepper während der Zugehörigkeit zum land- und forstwirtschaftlichen Unternehmensvermögen zu mindestens 95 % für landwirtschaftliche Umsätze verwendet wird, die nach § 24 Abs. 1 Satz 4 UStG den Vorsteuerabzug ausschließen. Bei der Berechnung der 95 %-Grenze bleiben die Zeiträume, in denen aufgrund der Option nach § 24 Abs. 4 UStG die Regelbesteuerung anzuwenden war (September bis Dezember 10), außer Betracht. Voraussetzung ist jedoch, dass der Landwirt eine zeitanteilige Vorsteuerberichtigung nach § 15a Abs. 7, Abs. 1 UStG zu seinen Ungunsten für den Zeitraum Januar 11 bis Mai 12 vornimmt.
Im Zeitpunkt des Verkaufs des Schleppers hat er eine weitere Vorsteuerberichtigung nach § 15a Abs. 7 und Abs. 8 UStG zu seinen Ungunsten vorzunehmen.
Beispiel 26:
Der Landwirt L erwarb im Kj. 01 einen Mähdrescher zum Preis von 100 000 € zzgl. 19 000 € USt, den er entsprechend seiner Nutzungsabsicht ab 1.7.01 zu 40 % in seinem landwirtschaftlichen Betrieb und zu 60 % in seinem gewerblichen Lohnunternehmen einsetzte. Er machte aus der Anschaffung den Vorsteuerabzug anteilig i.H.v. 60 % von 19 000 € = 11 400 € geltend.
Im Zusammenhang mit der Anschaffung eines leistungsfähigeren Mähdreschers gab er den Mähdrescher am 1.7.03 zum Nettopreis von 60 000 € dem Landmaschinenhändler H in Zahlung.
Lösung 26:
Die Veräußerung des Mähdreschers wird insgesamt der Regelbesteuerung unterworfen (Abschn. 24.2 Abs. 6 Satz 2 UStAE). Die Vereinfachungsregelung kommt nicht zur Anwendung, da der Mähdrescher nicht zu mindestens 95 % für Umsätze verwendet wird, die der Durchschnittssatzbesteuerung unterliegen. Die dabei für den Voranmeldungszeitraum Juli 03 anfallende USt beträgt somit 19 % von 60 000 € = 11 400 €. H darf diese USt als Vorsteuer abziehen.
Die Veräußerung stellt eine Nutzungsänderung i.S.d. § 15a Abs. 8 i.V.m. Abs. 9 UStG dar. Sie ist als 100 % vorsteuerunschädliche Nutzung für die Zeit vom 1.7.03 bis zum Ende des Berichtigungszeitraums des § 15a UStG am 30.6.06 zu behandeln. Die Vorsteuerberichtigung nach § 15a UStG berechnet sich wie folgt:
|
Anteilig auf die Zeit von 1.7.03 bis 30.6.06 entfallende Vorsteuer: 3/5 von 19 000 € |
11 400 € |
|
Anteilig hierfür abgezogene Vorsteuer nach § 15 UStG: 3/5 von 11 400 € |
./. 6 840 € |
|
Vorsteuerberichtigung nach § 15a UStG zugunsten des L |
4 560 € |
Die Vorsteuerberichtigung nach § 15a UStG ist nach § 44 Abs. 3 Satz 2 UStDV für den Voranmeldungszeitraum Juli 03 vorzunehmen.
12. Geschäftsveräußerung und andere Formen der Rechtsnachfolge (§ 15a Abs. 10 UStG)
Bei einer → Geschäftsveräußerung (§ 1 Abs. 1a UStG) wird der für das WG maßgebliche Berichtigungszeitraum i.S.d. § 15a Abs. 1 und 5 UStG nicht unterbrochen (Abschn. 15a.10 Satz 1 Nr. 1 UStAE). Der Veräußerer ist verpflichtet, dem Erwerber die für die Durchführung der Berichtigung erforderlichen Angaben zu machen (§ 15a Abs. 10 UStG). Eine Vorsteuerberichtigung wegen Änderung der Verhältnisse beim Rechtsnachfolger hat nur zu erfolgen, wenn sich die Verhältnisse im Vergleich zu den beim Vorsteuerabzug des Rechtsvorgängers ursprünglich maßgeblichen Verhältnissen ändern. Dies gilt auch
-
bei einer Gesamtrechtsnachfolge, da der Rechtsnachfolger in die gesamte Rechtsposition des Rechtsvorgängers eintritt; der Berichtigungszeitraum des Erblassers geht auf den Erben über, wenn dieser die Unternehmereigenschaft durch eine eigene Tätigkeit begründet (Abschn. 15a.10 Satz 1 Nr. 2 UStAE; → Gesamtrechtsnachfolge);
-
bei Anwachsung beim Ausscheiden eines Gesellschafters aus einer zweigliedrigen Personengesellschaft (Abschn. 15a.10 Satz 1 Nr. 3 UStAE);
-
bei Begründung oder Wegfall eines Organschaftsverhältnisses (→ Organschaft und Abschn. 15a.10 Satz 1 Nr. 4 UStAE).
13. Vereinfachungen bei der Berichtigung des Vorsteuerabzugs (§ 44 UStDV)
13.1. Vorsteuern von mehr als 1 000 €
Die Regelung des § 44 Abs. 1 UStDV, nach der eine Berichtigung des Vorsteuerabzugs entfällt, wenn die auf die Anschaffungs- oder Herstellungskosten eines WG entfallende Vorsteuer 1 000 € nicht übersteigt, gilt für alle Berichtigungsobjekte unabhängig davon, nach welcher Vorschrift die Berichtigung des Vorsteuerabzugs vorzunehmen ist und unabhängig davon, in welchem Umfang sich die für den Vorsteuerabzug maßgebenden Verhältnisse später ändern. Zur Anwendung der Bagatellgrenze s. Abschn. 15a.11 Abs. 2 UStAE.
Beispiel 27:
Ein Unternehmer kauft im Kj. 01 einen Gegenstand des Anlagevermögens für sein Unternehmen für 10 000 € zzgl. 1 900 € USt. Der Gegenstand wird im Kj. 01 zu 51 % steuerpflichtig und 49 % steuerfrei verwendet.
Lösung 27:
Der Unternehmer kann aus der Anschaffung 51 % der Vorsteuern (= 969 €) abziehen. Maßgebend ist die in Rechnung gestellte USt von 1 900 € und nicht die abzugsfähige Vorsteuer von 969 €. Demnach ist die 1 000 €-Grenze überschritten (§ 44 Abs. 1 UStDV). Eine Vorsteuerberichtigung kann in den folgenden Kj. in Betracht kommen.
Bei der Ermittlung der 1 000 €-Grenze sind sämtliche Vorsteuern im Zusammenhang mit der Anschaffung oder Herstellung eines WG zusammenzufassen.
Beispiel 28:
Ein Unternehmer erwirbt am 1.8.01 einen unternehmerischen Gegenstand zum Preis von 5 252,63 € zzgl. 998 € USt. Durch einen anderen Unternehmer lässt er noch am gleichen Tag diesen Gegenstand verändern, wofür er 126,32 € zzgl. 24 € USt aufwendet. Der Unternehmer nutzt den Gegenstand zu 50 % für seine steuerfreie Tätigkeit und zu 50 % für seine steuerpflichtige Tätigkeit.
Lösung 28:
Die Vorsteuern für die Anschaffung des einen WG belaufen sich auf insgesamt 1 022 €. Die 1 000 €-Grenze ist damit überschritten. Der Unternehmer kann unter Beachtung des Vorsteuerausschlusses aber nur 511 € Vorsteuern abziehen. Bei Änderung der Verwendung sind die Vorschriften der Vorsteuerberichtigung zu beachten.
13.2. Gewichtige Nutzungsänderung i.S.d. § 44 Abs. 2 UStDV
Haben sich bei einem WG in einem Kj. die für den ursprünglichen Vorsteuerabzug maßgebenden Verhältnisse um weniger als zehn Prozentpunkte geändert, so entfällt bei diesem WG für dieses Kj. die Berichtigung des Vorsteuerabzugs. Das gilt nicht, wenn der Betrag, um den der Vorsteuerabzug für dieses Kj. zu berichtigen ist, 1 000 € übersteigt.
Bei der Vereinfachungsregelung des § 44 Abs. 2 UStDV ist die Grenze von zehn Prozentpunkten in der Weise zu berechnen, dass das Aufteilungsverhältnis, das sich für das betreffende Folgejahr ergibt, dem Verhältnis gegenübergestellt wird, das für den ursprünglichen Vorsteuerabzug nach § 15 UStG maßgebend war. Für die absolute Grenze von 1 000 € ist der Betrag maßgebend, um den der Vorsteuerabzug für das WG aufgrund der Verhältnisse des betreffenden Folgejahres tatsächlich zu berichtigen wäre. Bei Berichtigungsobjekten, die nur einmalig zur Ausführung eines Umsatzes verwendet werden, gilt Entsprechendes für den Zeitpunkt der tatsächlichen Verwendung des Berichtigungsobjekts (Abschn. 15a.11 Abs. 3 UStAE).
Beispiel 29:
Ein Unternehmer nimmt am 1.3.01 eine neue Maschine in Gebrauch. Er verwendet sie bis zum 13.12.01 nur zur Ausführung steuerpflichtiger Umsätze und ab 14.12.01 ausschließlich zur Ausführung von Umsätzen, die nach § 15 Abs. 2 und 3 UStG den Vorsteuerabzug ausschließen. Am 1.10.03 veräußert der Unternehmer die Maschine steuerpflichtig.
Lösung 29:
Zu Beginn der Nutzung ist die Vorsteuer zu 100 % abziehbar und abzugsfähig. Der Berichtigungszeitraum für die Maschine beginnt am 1.3.01 und endet mit Ablauf des 28.2.06 (§ 15a Abs. 1 UStG). Im Kj. 01 wurde die Maschine noch neun Monate und 13 Tage für zum Vorsteuerabzug berechtigende und 17 Tage für Umsätze verwendet, die den Vorsteuerabzug ausschließen. Der Monat wird zu 30 Tagen gerechnet. Danach entsprechen 13 Tage (100 : 30 × 13 =) 0,433 Monate.
|
9,4333 Monate |
100 % |
Abzugsumsätze |
× 9,4333 = |
943,33 |
|
0,5667 Monate |
0 % |
Abzugsumsätze |
× 0,5667 = |
0,00 |
|
10,000 Monate |
943,33 |
943,33 : 10 = 94,333 % Abzugsumsätze im Kj. 01. Daher sind 5,667 % der auf die Anschaffung der Maschine entfallenden Vorsteuern vom Abzug ausgeschlossen. Da sich die maßgebenden Verhältnisse um weniger als 10 Prozentpunkte geändert haben, entfällt bei diesem Wirtschaftsgut für dieses Kj. die Berichtigung des Vorsteuerabzugs.
Für das Kj. 02 liegt eine Änderung der Verhältnisse um 100 Prozentpunkte vor, weil die Maschine in diesem Kj. nur für Umsätze verwendet wurde, die den Vorsteuerabzug ausschließen.
Im Kj. 03 ist die Veräußerung so zu behandeln, als ob die Maschine vom 01.10. bis 31.12. für zum Vorsteuerabzug berechtigende Umsätze verwendet worden wäre.
|
9 Monate |
0 % |
Abzugsumsätze |
× 9 Monate = |
0 |
|
3 Monate |
100 % |
Abzugsumsätze |
× 3 Monate = |
300 |
|
12 Monate |
300 |
300 : 12 = 25 % Abzugsumsätze. Auf das ganze Kj. bezogen sind also 75 % der Vorsteuern vom Abzug ausgeschlossen. Gegenüber den für den ursprünglichen Vorsteuerabzug maßgebenden Verhältnissen haben sich somit die Verhältnisse um 15 Prozentpunkte geändert.
Für die restlichen Kj. des Berichtigungszeitraums ist die Veräußerung ebenfalls wie eine Verwendung für zum Vorsteuerabzug berechtigende Umsätze anzusehen. Die Änderung der Verhältnisse gegenüber den ursprünglichen für den Vorsteuerabzug maßgebenden Verhältnissen beträgt somit für diese Kj. jeweils 0 Prozentpunkte.
Beispiel 30:
U errichtet im Kj. 01 auf eigenem Grund und Boden ein Fertighaus, welches ihm zum 1.2.02 schlüsselfertig übergeben wird. Anlässlich der Errichtung des Gebäudes sind bei U im Kj. 01 Vorsteuern i.H.v. 30 000 € angefallen. U beabsichtigt, das Gebäude steuerfrei zu vermieten. Deshalb sind seine Vorsteuern nicht abzugsfähig. Ab Februar 02 vermietet U das Fertighaus an den Mieter M ausschließlich für Wohnzwecke und somit nach § 4 Nr. 12 Buchst. a UStG steuerfrei. Infolge des Auszugs von M zum 30.11.02 vermietet U das Fertighaus ab 1.12.02 steuerpflichtig an den Architekten A als Büro.
Lösung 30:
Die Nutzung im Kj. der erstmaligen Verwendung erfolgt im Jahr 02 für insgesamt elf Monate. Die Nutzung war für zehn Monate Vorsteuer schädlich, für einen Monat (Dezember) Vorsteuer unschädlich. Somit wird das Fertighaus im Erstjahr zu 1/11 für vorsteuerunschädliche Ausgangsumsätze verwendet.
|
10 Monate |
0 % |
Abzugsumsätze |
× 10 Monate = |
0 |
|
1 Monate |
100 % |
Abzugsumsätze |
× 1 Monate = |
100 |
|
11 Monate |
100 |
100 : 11 = 9,09 % Abzugsumsätze. Der prozentuale Anteil der vorsteuerunschädlichen Nutzung im Erstjahr beläuft sich auf 9,09 %. Da sich bei dem Gebäude im Kj. 02 die für den ursprünglichen Vorsteuerabzug maßgebenden Verhältnisse um weniger als 10 Prozentpunkte geändert haben, entfällt bei dem Gebäude für das Kj. 02 die Berichtigung des Vorsteuerabzugs.
Der absolute Berichtigungsbetrag ist wie folgt zu ermitteln:
|
Jahresbetrag |
30 000 € |
: 10 Jahre = |
3 000 € |
|
|
Ab Februar 02 |
davon 11/12 = |
2 750 € |
||
|
Davon als Vorsteuer berücksichtigt |
0,00 % |
0,00 € |
||
|
Tatsächlich zu berücksichtigen 9,09 % |
250,00 € |
|||
|
Vorsteuerkorrektur zu Gunsten |
250,00 € |
Die Berichtigung unterbleibt, weil auch der absolute Betrag, um den der Vorsteuerabzug für das Kj. 02 zu berichtigen ist, 1 000 € nicht übersteigt (§ 44 Abs. 2 UStDV).
Die Nutzung im Kj. 03 erfolgt insgesamt für zwölf Monate, und zwar insgesamt für vorsteuerunschädliche Ausgangsumsätze. Der prozentuale Anteil der vorsteuerunschädlichen Nutzung im Kj. 03 beträgt somit 100 %. Es ergibt sich eine Differenz im Verhältnis zur beabsichtigten Nutzung von 100 %. Die Vorsteuerkorrektur zu Gunsten beträgt im Kj. 03 3 000 €. Da die Vorsteuerkorrektur für das Kj. 6 000 € nicht übersteigt, ist die Berichtigung des Vorsteuerabzugs im Rahmen der Jahressteuerfestsetzung für das Kj. 03 durchzuführen (§ 44 Abs. 3 UStDV).
13.3. Zeitpunkt der Vorsteuerberichtigung
Wie bereits oben erläutert, wurde durch die Zweite Verordnung zur Änderung steuerlicher Verordnungen vom 2.12.2011 (BGBl I 2011, 2416) u.a. Abs. 3 des § 44 UStDV aufgehoben.
Für WG, die vor dem 1.1.2012 angeschafft oder hergestellt worden sind, ist § 44 Abs. 3 und 4 UStDV in der am 31.12.2011 geltenden Fassung weiterhin anzuwenden (§ 74a Abs. 2 UStDV).
Übersteigt der Betrag, um den der Vorsteuerabzug bei einem WG für das Kj. zu berichtigen ist, nicht 6 000 €, so ist die Berichtigung des Vorsteuerabzugs nach § 15a UStG abweichend von § 18 Abs. 1 und 2 UStG erst im Rahmen der Steuerfestsetzung für den Besteuerungszeitraum durchzuführen, in dem sich die für den ursprünglichen Vorsteuerabzug maßgebenden Verhältnisse geändert haben (§ 44 Abs. 3 Satz 1 UStDV).
Wird das WG während des maßgeblichen Berichtigungszeitraums veräußert oder nach § 3 Abs. 1b UStG geliefert, so ist die Berichtigung des Vorsteuerabzugs für das Kj. der Lieferung und die folgenden Kj. des Berichtigungszeitraums bereits bei der Berechnung der Steuer für den Voranmeldungszeitraum (§ 18 Abs. 1 und 2 UStG) durchzuführen, in dem die Lieferung stattgefunden hat (§ 44 Abs. 3 Satz 2 UStDV). Wird das WG während des maßgeblichen Berichtigungszeitraums veräußert oder nach § 3 Abs. 1b UStG geliefert, so stehen damit die Verhältnisse bis zum Ablauf des Berichtigungszeitraums fest. Daher ist die Berichtigung stets für den Voranmeldungszeitraum durchzuführen, in dem die Veräußerung oder Entnahme stattgefunden hat (§ 44 Abs. 3 UStDV). Hierbei sind die Berichtigungen für das Kj. der Veräußerung oder Entnahme und die für die noch folgenden Kj. des Berichtigungszeitraums gleichzeitig vorzunehmen (Abschn. 15a.11 Abs. 4 UStAE).
Beispiel 31:
Unternehmer A hat im Kj. 07 eine Immobilie fertig gestellt, die, wie in der Investitions- und Bauphase vermutet, zum 1.7.07 zu 40 % steuerpflichtig und zu 60 % steuerfrei vermietet wird. An Vorsteuerbeträgen sind insgesamt 375 000 € angefallen.
Zum 1.1.10 wird das Grundstück unter Option nach § 9 Abs. 3 UStG steuerpflichtig veräußert (beachte § 13b Abs. 2 Nr. 3 UStG). Eine Geschäftsveräußerung nach § 1 Abs. 1a UStG liegt nicht vor.
Lösung 31:
Von den insgesamt angefallenen Vorsteuerbeträgen i.H.v. 375 000 € kann A nach § 15 Abs. 4 UStG insgesamt Vorsteuerbeträge von 40 % = 150 000 € abziehen. Der Berichtigungszeitraum von zehn Jahren läuft vom 1.5.07 bis zum 30.4.17. Nach § 15a Abs. 8 und 9 UStG gilt der steuerpflichtige Verkauf als Verwendung des WG bis zum Ende des Berichtigungszeitraums. Damit ist für den Berichtigungszeitraum von 120 Monaten noch eine Restzeit von (1.1.10 bis 30.4.17) 88 Monaten zu berichtigen. Da die Verwendung bisher zu 40 % steuerpflichtig und somit zum Vorsteuerabzug berechtigt war und der Verkauf als Verwendungsumsatz nach § 15a Abs. 8 und 9 UStG zu 100 % als steuerpflichtige Verwendung anzusehen ist, ergibt sich eine Verwendungsänderung i.H.v. 60 %. Der Berichtigungsbetrag beträgt somit (375 000 € × 88/120 × 60 % =) 165 000 €.
Damit hat der Unternehmer A nach § 44 Abs. 3 UStDV für den Voranmeldungszeitraum Januar 10 einen Vorsteuerberichtigungsbetrag zu seinen Gunsten i.H.v. 165 000 €.
Beispiel 32:
Sachverhalt s. Beispiel 31. Im Kj. 10 findet allerdings kein Verkauf statt. Das Gebäude wird im Jahresdurchschnitt des Kj. 10 zu 55 % für steuerpflichtige Vermietungsumsätze und zu 45 % zu steuerfreien Vermietungsumsätzen verwendet.
Lösung 32:
Nach § 15a Abs. 1 UStG ist für den Veranlagungszeitraum 10 eine Vorsteuerberichtigung durchzuführen, da eine Verwendungsänderung im Vergleich zu den ursprünglichen Verhältnissen für den Vorsteuerabzug von 15 % vorliegt. Die Vorsteuerberichtigung ist nur für das Kj. 10 zu berechnen. Der Berichtigungsbetrag beträgt (375 000 € × 12/120 × 15 %=) 5 625 €. Da die Vorsteuerberichtigung 6 000 € für das Kj. 10 nicht übersteigt, wird die Berichtigung erst in der Jahressteuererklärung durchgeführt (§ 44 Abs. 3 UStDV).
Beispiel 33:
Eine Gewerbeimmobilie mit einer Nutzfläche von 5 000 qm wird in der Investitionsphase und auch ab dem Erstjahr zu 50 % für vorsteuerabzugsberechtigte Umsätze verwendet. Dem Unternehmer wurden insgesamt 900 000 € USt in Rechnung gestellt. In diesem Zusammenhang wurden dem Unternehmer insgesamt 450 000 € Vorsteuern erstattet.
Zum 1.4.10 wird eine Teilfläche von 500 qm nach einem Mieterwechsel nicht mehr steuerfrei, sondern nach Option nach § 9 Abs. 1 und 2 UStG steuerpflichtig vermietet.
Lösung 33:
Ab April 10 werden von dem gesamten Grundstück i.H.v. 5 000 qm jetzt 60 % = 3 000 qm für vorsteuerabzugsberechtigte Umsätze verwendet. Die Nutzungsänderung ist aber auf das gesamte Kj. 10 zu beziehen.
|
3 Monate |
50 % |
Abzugsumsätze |
× 3 Monate = |
150 |
|
9 Monate |
60 % |
Abzugsumsätze |
× 9 Monate = |
540 |
|
12 Monate |
690 |
690 : 12 = 57,5 % Abzugsumsätze. Bezogen auf das gesamte Kj. 10 beträgt die Verwendungsänderung 7,5 % zu Gunsten des Unternehmers. Bei gleich bleibenden Verhältnissen ergibt sich im Kj. 10 eine Vorsteuerberichtigung i.H.v. (900 000 € × 12/120 × 7,5 %=) 6 750 €. Da der Berichtigungsbetrag 6 000 € übersteigt, muss der Unternehmer in den monatlichen USt-Voranmeldungen April bis Dezember 10 jeweils 750 € als Vorsteuerberichtigungsbetrag zu seinen Gunsten geltend machen (§ 44 Abs. 3 UStDV).
Beispiel 34:
Sachverhalt s. Beispiel 33. Zusätzlich findet zum 1.8.10 eine weitere Nutzungsänderung hinsichtlich von 900 qm statt. Diese Teilfläche wird jetzt steuerfrei vermietet, so dass ab dem 1.8.10 insgesamt 2 100 qm für steuerpflichtige Umsätze und 2 900 qm für steuerfreie Umsätze verwendet werden. Dies entspricht einem prozentualen Verhältnis von 42 % für steuerpflichtige und 58 % für steuerfreie Umsätze. Die Nutzungsänderung ist aber auf das gesamte Kj. 10 zu beziehen.
|
3 Monate |
50 % |
Abzugsumsätze |
× 3 Monate = |
150 |
|
4 Monate |
60 % |
Abzugsumsätze |
× 4 Monate = |
240 |
|
5 Monate |
42 % |
Abzugsumsätze |
× 5 Monate = |
210 |
|
12 Monate |
600 |
600 : 12 = 50,0 % Abzugsumsätze. Damit haben sich im Kj. 10 die Verhältnisse, bezogen auf die Verhältnisse für den ursprünglichen Vorsteuerabzug, nicht verändert. Damit hätte der Unternehmer für die Voranmeldungszeiträume April bis Juli 10 keine Vorsteuerberichtigungen zu seinen Gunsten durchführen dürfen. Er muss somit für die betroffenen Voranmeldungszeiträume berichtigte Voranmeldungen abgeben.
Literaturhinweis zu den vorstehenden Beispielen: Radeisen, DStR 2000, 369.
14. Aufzeichnungspflichten
Zu den Aufzeichnungspflichten für die Berichtigung des Vorsteuerabzugs s. die Verwaltungsregelungen in Abschn. 15a.12 UStAE.
15. Auswirkungen der Vorsteuerberichtigung auf das Ertragsteuerrecht
Die Vorsteuerberichtigung führt gem. § 9b Abs. 2 EStG aus Vereinfachungsgründen nicht zur Änderung der Anschaffungs- oder Herstellungskosten. Die Berichtigung zugunsten wirkt sich als Betriebseinnahme, die Berichtigung zuungunsten wirkt sich als Betriebsausgabe aus.
16. Vorsteuerberichtigung im Insolvenzfall
Der BFH hat mit Urteil vom 8.3.2012 (V R 24/11, BStBl II 2012, 466) festgestellt, dass die Insolvenzeröffnung für die Berichtigung nach § 15a UStG ohne Bedeutung ist. Die Eröffnung des Insolvenzverfahrens bewirkt weder tatsächlich noch rechtlich eine Änderung in der Verwendung von WG.
Die Abgrenzung zwischen Masseverbindlichkeiten und Insolvenzforderungen bestimmt sich nach ständiger Rechtsprechung des BFH danach, ob der den Umsatzsteueranspruch begründende Tatbestand nach den steuerrechtlichen Vorschriften bereits vor oder erst nach Insolvenzeröffnung vollständig verwirklicht und damit abgeschlossen ist; nicht maßgeblich ist der Zeitpunkt der Steuerentstehung nach § 13 UStG (→ Insolvenzen und Steuern). Der Berichtigungstatbestand nach § 15a Abs. 1 UStG setzt zusätzlich zu den auf Anschaffungs- und Herstellungskosten entfallenden Vorsteuerbeträgen eine Änderung der für den ursprünglichen Vorsteuerabzug maßgeblichen Verhältnisse voraus. Nach ständiger Rechtsprechung des BFH handelt es sich bei der Vorsteuerberichtigung nach § 15a UStG daher materiell-rechtlich um einen gegenüber dem Vorsteuerabzug gem. § 15 UStG eigenständigen Tatbestand. Der Berichtigungstatbestand des § 15a UStG erschöpft sich somit nicht in der Rückgängigmachung des Vorsteuerabzugs. Hieran ist auch unter der Geltung der InsO festzuhalten.
Im Streitfall V R 24/11 (BStBl II 2012, 466) hat der Insolvenzverwalter das mit Vorsteuerabzug erworbene WG erst nach Eröffnung des Insolvenzverfahrens steuerfrei veräußert. Daher ist erst hierdurch der Berichtigungstatbestand des § 15a UStG verwirklicht worden, so dass es sich bei dem Berichtigungsanspruch um eine Masseverbindlichkeit handelt. Schließlich erfüllte die steuerfreie Veräußerung im Streitfall auch die weiteren Voraussetzungen einer Masseverbindlichkeit i.S.v. § 55 Abs. 1 Nr. 1 InsO, da die Lieferung des WG durch den Insolvenzverwalter zur Verwertung der Masse erfolgte (s.a. Abschn. 15a.2 Abs. 1 Satz 5 UStAE).
17. Überwachen und Erkennen von Fällen mit möglicher Vorsteuerberichtigung nach § 15a UStG
Die OFD Frankfurt hat in einer Verfügung vom 9.8.2011 (S 7316 A – 2 – St 128, LEXinform 5233483) zu den allgemeinen Voraussetzungen und den Rechtsfolgen der Vorsteuerberichtigung nach § 15a UStG Stellung genommen. Eingegangen wird dabei insbesondere auf das Überwachungsverfahren der Finanzverwaltung.
Aus Gründen der Praktikabilität ist es nicht möglich, sämtliche Berichtigungsobjekte zu überwachen, bei denen sich theoretisch die Verhältnisse beim Vorsteuerabzug während des Berichtigungszeitraums ändern könnten. Zumindest bei den folgenden Sachverhalten ist eine Überwachung von Beginn an, d.h. ab dem Zeitpunkt der Inanspruchnahme des Vorsteuerabzugs notwendig:
-
Ein Stpfl. beabsichtigt, ein Grundstück unter Verzicht auf die Steuerfreiheit nach § 4 Nr. 12 Satz 1 Buchst. a UStG steuerpflichtig zu vermieten und ist daher bei Leistungsbezug vorsteuerabzugsberechtigt.
Eine Änderung der Verhältnisse ist möglich durch Rückkehr zur steuerfreien Vermietung nach § 4 Nr. 12 Satz 1 Buchst. a UStG, durch eine steuerfreie Veräußerung oder Entnahme nach § 4 Nr. 9 Buchst. a UStG, durch eine Nutzung zu privaten Wohnzwecken (beachte: nicht bei sog. Seeling-Fällen, s. § 27 Abs. 16 UStG) oder durch eine unentgeltliche Einräumung eines Nießbrauchs.
-
Ein Stpfl. beabsichtigt, steuerpflichtige Vermietungen nach § 4 Nr. 12 Satz 2 UStG auszuüben (z.B. Überlassung von Ferienwohnungen zur kurzfristigen Nutzung) und erhält daher bei Leistungsbezug den Vorsteuerabzug für das Grundstück.
Eine Änderung der Verhältnisse ist möglich durch eine langfristige steuerfreie Vermietung, durch eine steuerfreie Veräußerung oder Entnahme, durch eine Nutzung zu eigenen Wohnzwecken (beachte: nicht bei sog. Seeling-Fällen, s. § 27 Abs. 16 UStG) oder durch eine Einräumung eines Nießbrauchs.
-
Der Stpfl. beabsichtigt, Grundstücke teilweise für eigenbetriebliche Zwecke, die den Vorsteuerabzug nicht ausschließen, und teilweise zur steuerfreien Vermietung zu nutzen.
Eine Änderung der Verhältnisse ist möglich durch eine Änderung der eigenbetrieblichen Tätigkeit, durch die steuerfreie Vermietung, Veräußerung oder Entnahme der zuvor eigenbetrieblich genutzten Grundstücksteile bzw. durch deren Nutzung zu eigenen Wohnzwecken (beachte: nicht bei sog. Seeling-Fällen, s. § 27 Abs. 16 UStG) oder durch eine unentgeltliche Einräumung eines Nießbrauchs.
-
Der Stpfl. (z.B. Wohnungsbauunternehmen, Bauunternehmer, Bank, Versicherung) tätigt steuerpflichtige und steuerfreie, vorsteuerausschließende Umsätze.
Eine Änderung der Verhältnisse ist möglich durch eine Änderung des Vorsteueraufteilungsschlüssels oder durch eine steuerpflichtige Veräußerung oder Entnahme.
In sonstigen Fällen der Inanspruchnahme des Vorsteuerabzugs aus Anschaffungs- oder Herstellungskosten von WG kann von einer gezielten Überwachung zunächst abgesehen werden. Ob der Stpfl. die Berichtigungsvorschriften des § 15a UStG beachtet hat, ist hier grundsätzlich nur zu prüfen, wenn sich dazu ein besonderer Anlass ergibt, z.B.:
-
bei Rechtsänderungen, z.B.
-
bei Einführung von Steuerbefreiungen, die den Vorsteuerabzug ausschließen,
-
zum Vorsteueraufteilungsverhältnis bei der Anschaffung oder Herstellung von Gebäuden,
-
zur Anwendbarkeit des Umsatzschlüssels;
-
-
bei Eingang entsprechenden Insolvenz und Steuern »Kontrollmaterials«, z.B. von
-
Veräußerungsmitteilungen der Grunderwerbsteuerstellen,
-
Mitteilungen über die Eröffnung eines Insolvenzverfahrens,
-
Gewerbeabmeldungen,
-
Mitteilungen über Geschäftsveräußerungen;
-
-
bei sonstigen Feststellungen, die die Verwirklichung eines Tatbestands i.S.d. § 15a UStG als möglich erscheinen lassen, z.B. bei
-
Ausbleiben von USt-Voranmeldungen in Vermietungsfällen (Verkauf des Grundstücks, Entnahme?),
-
wesentlicher Verminderung der steuerpflichtigen Umsätze in Vermietungsfällen in der USt-Voranmeldung (steuerfreier Verkauf/Entnahme, Selbstnutzung?),
-
erstmaliger Angabe oder wesentlicher Erhöhung steuerfreier Umsätze bei den USt-Voranmeldungen (steuerfreie Vermietung nach Mieterwechsel/Rücknahme der Option, steuerfreier Verkauf/Entnahme?),
-
Ausbleiben oder wesentlicher Verminderung der nach § 9 UStG als steuerpflichtig behandelten Umsätze (steuerfreie Vermietung nach Mieterwechsel/Rücknahme der Option, steuerfreier Verkauf/Entnahme, Selbstnutzung?),
-
Veränderung im Anlageverzeichnis mit gleichzeitigem Anstieg der steuerfreien Umsätze bzw. Erlöse aus dem Verkauf von Anlagevermögen (steuerfreier Verkauf/Entnahme?),
-
Übergang von der Regelbesteuerung zur Kleinunternehmerbesteuerung bzw. zur Durchschnittsatzbesteuerung,
-
Verminderung der Mieteinnahmen lt. ESt-Erklärung (Anlage V oder Gewinnermittlung) gegenüber den entsprechenden Einnahmen des Vorjahres (steuerfreier Verkauf/Entnahme, Selbstnutzung?),
-
Bekanntwerden von Nießbrauchsbestellungen.
-
18. Literaturhinweise
Schneider, ABC-Führer Umsatzsteuer (Loseblatt); Dziadkowski, Umsatzsteuerliche Behandlung von Gegenstandsentnahmen (unentgeltlichen Wertabgabe) nach Ablauf des Berichtigungszeitraums, UR 2011, 92; Hammerl u.a., Vorsteuerberichtigung bei verspäteter Zuordnung gemischt genutzter Gebäude, NWB 14/2015, 970; Ramb, Fallstudie zu § 15a UStG, Steuer & Studium 9/2016, 557; Walkenhorst, Berichtigung des Vorsteuerabzugs, UStB 12/2016, 367; Cremer, Die wichtigsten Anwendungsfälle für eine Berichtigung des Vorsteuerabzugs in der Praxis, NWB 39/2020 Beilage 2020, 26; Lippross, Abschied von der »Absichtsbesteuerung« beim Vorsteuerabzug nach § 15 UStG, UR 2020, 918; Nürnberg, Vorsteuerberichtigung nach § 15a UStG, Steuer & Studium 7/2022, 457.
19. Verwandte Lexikonartikel
→ Einlage
→ Grundstücksumsätze, Umsatzsteuer
→ Verein
Redaktioneller Hinweis:
Steuerspar-Tipps, wichtige Fristen und Termine – alles im Blick.
Zum Newsletter anmelden